ISSN: 1885-8031
https://dx.doi.org/10.5209/REVE.80794
Propuesta de clasificación de las Sociedades Cooperativas de Ahorro y Préstamo de México con base en el F-score de Piotroski
Felipe Abelardo Pérez Sosa[1]
y Luis Miguel Cruz Lázaro[2]![]()
Recibido: 24 de marzo de 2021 / Aceptado: 22 de febrero de 2022 / Publicado: 9 de marzo de 2022
Resumen. El objetivo principal de esta investigación es proponer una nueva metodología para la clasificación de las Sociedades Cooperativas de Ahorro y Préstamo (SOCAPS) de México que refleje de manera más eficiente su situación financiera, con la finalidad de que los ahorradores y el organismo supervisor del sector cuenten con información más confiable acerca de su solidez, y, de esta manera, el ahorro de los usuarios de estas entidades se encuentre más protegido. Para ello, se adaptó el F-score de Piotroski (2000) al contexto de las SOCAPS de México, con lo que se evalúan tres áreas de las SOCAPS por medio de ocho indicadores, los cuales, permiten obtener una calificación que refleja la fortaleza financiera de estas instituciones; y, con base en esas calificaciones, segmentarlas de acuerdo con su solidez financiera. Esta metodología se utilizó para analizar y clasificar a 156 SOCAPS de México, y comparar el puntaje de las que mantuvieron sus operaciones durante el periodo de análisis, con el de las que cerraron sus operaciones. De esta forma, se comprobó que las SOCAPS con mayor temporalidad tienen en promedio una calificación mayor que el grupo de SOCAPS que dejó de operar, con lo que puede concluirse que la metodología propuesta es eficaz como criterio de clasificación que sirva para emitir alertas de riesgo, medidas prudenciales e informar a los usuarios sobre la solidez de la institución en la que deposita su patrimonio.
Palabras clave: Ahorro y crédito popular; Crédito cooperativo; Supervisión financiera; Análisis financiero; Información financiera.
Claves Econlit: G20; G21; G28; M10.
[en] Proposal for the classification on the Mexican Cooperative Financial Institutions based on Piotroski's F-score
Abstract. The main objective of this research is to propose a new methodology for the classification of the Cooperative Savings and Loan Societies (SOCAPS) of Mexico that more efficiently reflects their financial situation, in order that savers and the sector's supervisory body have more reliable information about their soundness, and, in this way, the savings of the users of these entities is more protected. To do this, Piotroski (2000) F-score was adapted to the context of the SOCAPS in Mexico, thus evaluating three areas of the SOCAPS through eight indicators, which allow obtaining a rating that reflects the financial strength of these institutions; and, based on those ratings, segment them according to their financial strength. This methodology was used to analyze and classify 156 SOCAPS from Mexico, and compare the score of those that maintained their operations during the analysis period, with those that closed their operations. In this way, it was found that the SOCAPS with longer periods of time have on average a higher rating than the SOCAPS group that stopped operating, with which it can be concluded that the proposed methodology is effective as a classification criterion that serves to issue risk alerts, prudential measures and inform users about the soundness of the institution in which they deposit their assets.
Keywords: Savings and popular credit; Cooperative credit; Financial supervision; Financial analysis; Financial information.
Sumario. 1. Introducción. 2. Marco teórico. 3. Metodología. 4. Resultados. 5. Conclusiones. 6. Referencias bibliográficas.
Cómo citar. Pérez Sosa, F.A.; Cruz Lázaro, L.M. (2022) Propuesta de clasificación de las Sociedades Cooperativas de Ahorro y Préstamo de México con base en el F-score de Piotroski. REVESCO. Revista de Estudios Cooperativos, vol. 140, e80794. https://dx.doi.org/10.5209/reve.80794.
1. Introducción
Las Sociedades Cooperativas de Ahorro y Préstamo (SOCAPS) son entidades que tienen como principal actividad captar el ahorro de sus socios y utilizar este recurso para otorgar préstamos entre ellos. Estas entidades participan en el desarrollo económico y el combate a la pobreza, ya que, al regirse según los principios cooperativos, buscan contribuir de manera positiva en las localidades en donde operan; aunque, al mismo tiempo, requieren alcanzar objetivos financieros que permitan su supervivencia (García-Gutierréz, 2000; Sabaté, Sabi y Saladrigues, 2000; Gómez-Limón, Casquet y Atance, 2003; Marín y Mari, 2006; Sanchis y Campos, 2007, 2018; Belmonte y Plaza, 2008; Seguí-Mas y Server, 2010; Pozuelo, Carmona y Martínez, 2012; Pavón, 2016; Figueroa, Godínez, Espinosa y Ramírez, 2016; Silva y Ramos, 2017; Campos, 2017; Sanchis y Pascual, 2017; Sanchis y Rodríguez 2018; Ruiz, 2018).
Esta dualidad
entre perseguir un objeto social y estar obligadas a cumplir con requerimientos
financieros, provoca la necesidad de adaptar al contexto de las SOCAPS ciertos
términos de eficiencia financiera que sean distintos a los de la banca,
reconociendo que las SOCAPS son organizaciones singulares y que tienen
características intangibles particulares. Lo anterior, ya lo asume la Comisión
Nacional Bancaria y de Valores (CNBV), al publicar y dar seguimiento a los
indicadores que utiliza para supervisar y analizar financieramente a las
SOCAPS, como: índice de morosidad (
);
el índice de cobertura (
);
y el Nivel de Capitalización
.
Sin embargo, el mismo órgano supervisor reconoce las limitaciones y las
características intangibles particulares que tienen las SOCAPS, para fines de
supervisión (García-Gutierréz, 2000; Sabaté et al., 2000; Gómez-Limón et al.,
2003; Marín y Mari, 2006; Sanchis y Campos, 2007, 2018; Belmonte y Plaza, 2008;
Seguí-Mas y Server, 2010; Pozuelo et al., 2012; Sanchis y Pascual, 2017;
Sanchis y Rodríguez 2018; CNBV, 2021 a b).
Para esta tarea, la CNBV, emplea dos clasificaciones que le permiten vigilar y diagnosticar el estado financiero de las SOCAPS. La primera de ellas es señalada en la Ley para Regular las Actividades de las Sociedades Cooperativas de Ahorro y Préstamo (LRASCAP), y clasifica a las SOCAPS en cuatro grupos, con base en el valor de sus activos. Esta clasificación influye directamente en los servicios y operaciones que las SOCAPS pueden ofrecer y realizar, además de funcionar como criterio para informar a los socios actuales o futuros de una SOCAP acerca de la fortaleza financiera de la institución y del riesgo que corren sus ahorros. De esta manera, esta clasificación permite distinguir a las SOCAPS con fortaleza financiera de aquellas que no la tienen; ejemplo de esto, son las SOCAPS que no pertenecen a alguno de los cuatro niveles de clasificación y que se conocen como SOCAPS no autorizadas, las cuales, son las que tienen una mayor debilidad financiera y, por consiguiente, son en las que los ahorros de sus socios corren más riesgo (Pérez y Lara, 2016; Pavón, 2016; Figueroa et al., 2016; Campos, 2017; Añorve, Agatón y Cruz, 2018; LRASCAP, 2019).
La segunda
clasificación usada por la CNBV para supervisar a las SOCAPS de México se basa
en el
,
el cual, tiene una mayor relevancia para fines regulatorios. De tal forma, las
SOCAPS de nivel uno, dos, tres y cuatro, se subclasifican en otros cuatro
niveles basados en el NICAP; el cual, indica si una SOCAP está preparada
para afrontar pérdidas ante eventos inesperados. Asimismo, la CNBV emplea esta
clasificación para emitir alertas tempranas y medidas preventivas, las cuales,
a su vez, se dividen en medidas correctivas mínimas y medidas correctivas
especiales adicionales. Las primeras son aplicadas a todas las SOCAPS que estén
en las categorías dos, tres y cuatro, mientras que, para aplicar las medidas
correctivas especiales adicionales, la CNBV toma en consideración la categoría
y otros elementos adicionales, como, la situación financiera integral de la
SOCAP (CNBV, 2021 b).
Si bien, las dos clasificaciones usadas por la CNBV poseen fortalezas, como la facilidad de aplicarse y de comprenderse, también tienen limitaciones. Por ejemplo, la primera solo toma en consideración el valor de los activos (LRASCAP, 2019), dejando de lado otras variables, como el origen de sus fuentes de financiamiento; mientras que la clasificación basada en el NICAP solamente emplea dos variables, por lo que descarta aspectos relevantes de las SOCAPS, como las fuentes de los fondos y la eficiencia operativa (CNBV, 2021 b).
A fin de corregir estas limitantes, se han realizado diversas propuestas para diagnosticar y supervisar las operaciones de las cooperativas dedicadas al ahorro y préstamos, destacando los modelos Capital, Asset Quality, Management, Earnings y Liquidity (CAMEL) y PERLAS. A pesar de que estas propuestas se han elaborado tomando en consideración las características particulares de las SOCAPS, también adolecen de capturar completamente la realidad de las cooperativas y su contexto, en aspectos como: la productividad, el alcance, la profundidad y la competitividad de los activos (Altamirano, Cruz, Villalba e Ipiales, 2018).
En este sentido, una estrategia de análisis financiero que ha tenido éxito al medir la fortaleza financiera y, que se ha destacado por su facilidad de aplicación y comprensión, es el F-score, propuesto por Piotroski (2000). Esta ha sido usada, revisada y comprobada con éxito por distintos autores, principalmente para analizar empresas en los mercados financieros desarrollados. El F-score de Piotroski (2000), permite separar a las empresas que tienen una gran fortaleza financiera de las que no la tienen. Para ello, analiza nueve indicadores que examinan tres áreas de las empresas: rentabilidad, apalancamiento y, liquidez y eficiencia operativa. Esta metodología de análisis financiero asigna una calificación a cada indicador, con lo cual, se conforma la calificación del F-score; en el que, si la empresa tiene un puntaje cercano a nueve (que es la calificación máxima que puede obtener una empresa), significa que la entidad analizada tiene una mayor solidez financiera; y, en caso de que se acerque a cero, significa que su sostenibilidad financiera está en mayor riesgo (Piotroski, 2000; Hyde, 2013; Dorantes, 2013; Kim y Lee, 2014; Eremenko, 2017; Chakraborty, 2019; Jeong y Kim, 2019).
Ante las limitaciones de los criterios usados actualmente para clasificar y supervisar a las SOCAPS, se hace necesario contar con una metodología que permita clasificarlas con base en la fortaleza financiera de la institución, para lo cual, se requiere un sistema de análisis adecuado para este tipo de instituciones, que comprenda varias áreas de las SOCAPS, y sea de fácil comprensión y aplicación; con el objeto de dar mayor seguridad a los usuarios.
Debido a lo anterior, se plantea como objetivo principal de esta investigación proponer una nueva metodología para la clasificación de las Sociedades Cooperativas de Ahorro y Préstamo (SOCAPS) de México basada en el F-score de Piotroski (2000), que refleje de manera más eficiente su situación financiera, con la finalidad de que los ahorradores y el organismo supervisor del sector cuenten con información más confiable acerca de su solidez, y, de esta manera, el ahorro de los usuarios de estas entidades se encuentre más protegido. Para lo cual, esta investigación se estructuró de la siguiente manera: en el apartado dos se presentará el marco teórico que expondrá los temas más importantes de la investigación; en la parte tres se mostrará la metodología empleada en esta investigación; en la parte cuatro, se presentarán los resultados y se realizará una discusión teórica de estos; por último, en la sección cinco se expondrán las conclusiones más relevantes a las cuales se llegó en la investigación.
2. Marco teórico
2.1. Las SOCAPS
Las Sociedades Cooperativas de Ahorro y Préstamo (SOCAPS) de México son entidades que tienen como principal actividad captar el ahorro de sus socios y utilizar este recurso para otorgar préstamos entre ellos. Estas entidades pertenecen al sector social de la economía mexicana y, al financiar actividades productivas y promover la inclusión financiera, contribuyen al desarrollo económico de las regiones en donde operan. Una de las características que distingue a las SOCAPS es que suelen operar en lugares en donde otras entidades del sistema financiero mexicano, como los bancos, no lo hacen; atendiendo a las personas con menores recursos y que han sido desatendidas por otras instituciones financieras (Pavón, 2016; Campos, 2017; Villegas, Ortega y Cornejo, 2017; Lara, Pérez y Hurtado, 2017; Añorve et al., 2018; Ruiz, 2018; Díaz-Peña, 2019; LGSC, 2019; LRASCAP, 2019).
Además de prestar servicios de ahorro y préstamos entre sus socios, algunas de las SOCAPS ofrecen otros servicios financieros, como: envío de remesas, microseguros y financiamiento para viviendas. También, se diferencian de otras instituciones financieras porque su administración se basa en los principios cooperativos, como la gestión democrática y la adhesión voluntaria y abierta de sus socios. En este sentido, una particularidad de las SOCAPS es la asamblea de socios, que es la que toma las principales decisiones de la institución. Esta asamblea está conformada por todos los socios de la entidad y cada uno tiene un voto, es decir: un socio un voto (Andrews, 2015; Bardswick et al, 2017; Añorve et al., 2018; Díaz-Peña, 2019).
2.1.1. Antecedentes
Los principales antecedentes de las SOCAPS son las cajas populares o cajas de ahorro, que comenzaron a operar en México en la década de 1950. En un inicio, estas entidades fueron promovidas por las parroquias y operaban sin legislación y sin alguna figura jurídica que las respaldara, por lo cual, adoptaron distintas denominaciones para referirse a sí mismas. Estas cajas, tuvieron un importante crecimiento y desarrollo, siendo destacable su organización colectiva, ejemplo de esto es la creación de la Confederación Mexicana de Cajas Populares (CMCP) (Villegas et al., 2017; Añorve et al., 2018; Ruiz, 2018; Díaz-Peña, 2019; Pérez y Lara, 2016; Pavón, 2016; Campos, 2017; BANXICO, 2015; Figueroa et al., 2016; Silva y Ramos, 2017).
Para el año 2020, las SOCAPS habían consolidado su posición y ya tenían presencia en todo el país. Para este año, las SOCAPS tenían en México 2,174 sucursales lo que representa un 13% del total de sucursales que las diversas instituciones financieras tienen en México, siendo el segundo sector financiero con mayor número de sucursales, solo superado por la banca múltiple que tiene en el mismo año 12,181 sucursales que equivalen a un 75 % del total. En cuanto a cajeros automáticos, las SOCAPS cuentan con 646, que equivalen al 1.1 % del total en México, mientras que la banca múltiple es tienen 57,937, equivalentes al 98 % del total (CNBV, 2021 c).
En cuanto al número de cuentas de captación, en las SOCAPS asciende a 15 millones, que representa el 11% del total de contratos para cuentas de captación, siendo el segundo sector financiero con mayor número de cuentas de captación, solo superada por la banca múltiple que tuvo 105.2 millones de contratos para cuentas de captación equivalente a un ochenta por ciento del total. Por su parte, en las tarjetas de débito, las SOCAPS ocuparon un tercer lugar en el año 2020 con 0.3 millones de contratos de tarjetas de débito que equivalen a un 0.2% del total, donde, la banca múltiple ocupo el primer lugar con 120 millones de contratos de tarjeta de débito que es igual a un 85% del total. Con respecto al número de créditos a personas físicas, las SOCAPS ocuparon el segundo puesto con un total para el año 2020 de 2.5 millones de créditos, equivalente a un 4% del total, únicamente superada por la banca múltiple que tuvo 51.3 millones de créditos dados que equivalen a un 93% del total (CNBV, 2021 c). En la Figura 1, se muestran las gráficas de los datos comentados.
Figura. 1. Gráficas de la presencia de las SOCAPS en México para el año 2020.
|
(a) Número de sucursales en el año 2020. |
(b) Número de cajeros automáticos |
|
|
|
|
(c) Número de cuentas de captación |
(d) Tarjetas de débito |
|
|
|
|
(e) Número de créditos a personas físicas |
|
|
|
|
Fuente: Elaboración propia con base en CNBV (2021 c).
2.1.2. Normatividad
El primer intento por darles una adecuada legislación a las operaciones de las SOCAPS fue la creación de la Ley General de Sociedades Cooperativas (LGSC), en 1994; y, posteriormente, el desarrollo de la Ley de Ahorro y Crédito Popular (LACP), en 2001. Sin embargo, fue hasta 2009 cuando las SOCAPS consiguieron una ley especial para ellas, separándolas de otros tipos de organizaciones como las cajas de ahorro: la Ley para Regular las Actividades de las Sociedades Cooperativas de Ahorro y Préstamo (LRASCAP); la cual, las rige complementariamente con la LGSC y fue reformada en 2014, que, entre otras cosas, les permite la contratación de terceros para ofrecer sus servicios financieros (como empresas de tecnologías para distribuir sus servicios); con el objeto de ampliar su cobertura y ofrecer servicios financieros de calidad a sus socios (BANXICO, 2015; Pavón, 2016; Pérez y Lara, 2016; Figueroa et al., 2016; Campos, 2017; Lara et al., 2017; Silva y Ramos, 2017; Villegas et al., 2017; Añorve et al., 2018; Ruiz, 2018; Díaz-Peña, 2019; LRASCAP, 2019; Cruz y Pérez, 2020 a).
Algunas de las aportaciones de la LRASCAP son, que establece que la autoridad reguladora del sector es la Comisión Nacional Bancaria y de Valores (CNBV), y que clasifica a las SOCAPS en cuatro niveles, de acuerdo con el monto de sus activos; la cual, influye directamente en los servicios y operaciones que las SOCAPS pueden ofrecer y realizar, y sirve como criterio para informar a los socios actuales o futuros de una SOCAP acerca de la fortaleza financiera de la institución y del riesgo que corren sus ahorros (Pérez y Lara, 2016; Figueroa et al., 2016; Pavón, 2016; Campos, 2017; Añorve et al., 2018; LRASCAP, 2019).
Esta clasificación permite distinguir a las SOCAPS con fortaleza financiera de aquellas que no la tienen; como es el caso de las SOCAPS que no pertenecen a alguno de los cuatro niveles de clasificación, las cuales, se conocen como SOCAPS no autorizadas y pueden tener algunos de los siguientes estatus: básicas, en proceso de autorización, en proceso de consolidación, impedidas para captar y otras circunstancias. Estas SOCAPS no autorizadas son las que tienen una gran debilidad financiera y son en las que los ahorros de sus socios corren más riesgo, ya que, aunado a su debilidad financiera, carecen de mecanismos de protección al ahorro (Pérez y Lara, 2016; Figueroa et al., 2016; Pavón, 2016; Campos, 2017; Añorve et al., 2018; LRASCAP, 2019).
Esta
clasificación se complementa con la publicación de otros indicadores
financieros por parte de la CNBV, como: índice de morosidad (
);
el índice de cobertura (
);
el coeficiente de liquidez; el
;
el
y
el nivel de capitalización (NICAP). Siendo este último el que tiene una
mayor relevancia para fines regulatorios, ya que las SOCAPS con nivel uno, dos,
tres y cuatro, cuentan, a su vez, con una sub-clasificación basada en el NICAP;
el cual, indica si una SOCAP está preparada para afrontar pérdidas ante eventos
inesperados (CNBV, 2021 b).
Otra normatividad relevante para las SOCAPS son los acuerdos de Basilea III, en donde se señala que, para el caso de cooperativas financieras, las reglas, principios y códigos de mejores prácticas deben ser adaptadas a su estructura jurídica y constitución. Algunas de las reglas, principios y códigos que señala Basilea III son: que las instituciones financieras aumenten la cantidad y la calidad de capital que disponen, que mejoren la cobertura que tienen para hacer frente a diversos riesgos, que los requisitos para exponerse a ciertos riegos sean más exigentes, que las instituciones financieras mantengan un capital mínimo del 8% de los activos ponderados por riesgo, usar el coeficiente de apalancamiento como medida auxiliar para cuantificar el riesgo, y disponer de un colchón de capital mínimo requerido (Basilea III, 2017).
2.1.3. Clasificación de las SOCAPS
La CNBV clasifica a las SOCAPS que están autorizadas para operar en cuatro niveles, basado en el monto de sus activos. Esta clasificación no solo impacta en los servicios que la SOCAP puede ofrecer y realizar, sino que también sirve para proteger los ahorros de los futuros socios, debido a que permite conocer la situación financiera de la SOCAP. Especial mención merecen las SOCAPS que no están clasificadas en ninguno de los cuatro niveles, las cuales tienen el estatus de no autorizadas. Es así como, si una persona quiere volverse socia de alguna SOCAP no autorizada, el futuro socio debe estar consciente de que sus ahorros corren un riesgo mayor que al volverse socio de una SOCAP de nivel uno, dos, tres o cuatro. Esto, porque las SOCAPS no autorizadas, tienen una gran debilidad financiera y carecen de mecanismos de protección para los ahorros (Pérez y Lara, 2016; Figueroa et al., 2016; Pavón, 2016; Campos, 2017; Añorve et al., 2018; LRASCAP, 2019).
Los cuatro niveles de clasificación de las SOCAPS se definen en el artículo 18 de la LRASCAP (2019), en donde se especifica que es la CNBV quien expedirá las disposiciones generales para cada nivel, también definirá las operaciones autorizadas para cada nivel, así como los límites y requisitos de cada uno. Asimismo, en el mismo artículo se establece que la asignación de los niveles de operación se debe efectuar con base en el valor de los activos de cada entidad, la cual, actualmente se estratifica como se muestra en la Tabla 1; dejando abierta la posibilidad de que la CNBV modifique los criterios de la clasificación de los niveles, considerando las capacidades técnicas y operativas de las SOCAPS. En la Tabla 1, se presenta la clasificación de las SOCAPS basado en los montos de los activos, especificados en el artículo 18 de la LRASCAP (2019).
Tabla. 1. Clasificación de las SOCAPS.
|
Nivel de SOCAPS |
Monto de los activos |
|
Uno |
El valor de sus activos es igual o menor que 10 millones de UDIS. |
|
Dos |
Igual o menor que cincuenta millones de UDIS, pero, mayor a 10 millones de UDIS. |
|
Tres |
Un valor mayor a cincuenta millones de UDIS y menor o igual a 250 millones de UDIS. |
|
Cuatro |
El valor de sus activos superan los 250 millones de UDIS. |
Fuente: Elaboración propia con base en la LRASCAP (2019). Unidades de inversión (UDIS), su valor al 25 de enero de 2021 es 6.632 pesos mexicanos (BANXICO, 2021).
En la Tabla 1, se muestra que las SOCAPS nivel 1 son aquellas en las que el valor de sus activos es igual o menor que 10 millones de UDIS; las SOCAPS nivel 2, son aquellas cuyos activos deben ser igual o menor que cincuenta millones de UDIS, pero, mayor a 10 millones de UDIS; las SOCAPS nivel 3, son aquellas en los que sus activos tienen un valor mayor a cincuenta millones de UDIS y menor o igual a 250 millones de UDIS; por último, las de nivel cuatro, son aquellas que el valor de sus activos superan los 250 millones de UDIS (LRASCAP, 2019).
Por otra parte, en el artículo 19 de la misma Ley, se enumeran las operaciones que pueden llevar a cabo las SOCAPS de acuerdo al nivel en el que se encuentran (mostrados en la Tabla 2). Por mencionar algunas, las de nivel uno, pueden, entre otras cosas: a) Recibir depósitos de dinero a la vista, de ahorro, a plazo, retirables en días preestablecidos y retirables con previo aviso (LRASCAP, 2019: 12); y, b) Recibir préstamos y créditos de entidades financieras nacionales o extranjeras, organismos internacionales, instituciones integrantes de la Administración Pública Federal o Estatal, fideicomisos públicos, así como proveedores nacionales y extranjeros (LRASCAP, 2019: 12). Las de nivel dos, de acuerdo con el mismo artículo, en su fracción dos, inciso a, pueden realizar las mismas operaciones que las SOCAPS de nivel uno, más realizar operaciones de factoraje financiero con sus Socios o por cuenta de éstos (LRASCAP, 2019: 13). En este mismo sentido, las SOCAPS de nivel tres pueden realizar todas las actividades de las SOCAPS de nivel uno y dos, y otras actividades, como prestar servicios de caja y tesorería (LRASCAP, 2019: 13). Con respecto a las SOCAPS de nivel cuatro, estas pueden realizar todas las actividades de operación que hacen las de nivel uno, dos y tres, pero también otras actividades, como expedir tarjetas de crédito con base en contratos de apertura de crédito en cuenta corriente a sus Socios (LRASCAP, 2019: 14). En la Tabla 2 se presentan todas las actividades que pueden realizar las SOCAPS de acuerdo al nivel que pertenecen.
Tabla. 2. Actividades que pueden realizar las SOCAPS de acuerdo con el nivel al que pertenecen.
|
Actividades |
Nivel uno |
Nivel dos |
Nivel tres |
Nivel cuatro |
|
Recibir depósitos de dinero a la vista, de ahorro, a plazo, retirables en días preestablecidos y retirables con previo aviso. |
X |
X |
X |
X |
|
Recibir préstamos y créditos de entidades financieras nacionales o extranjeras, organismos internacionales, instituciones integrantes de la Administración Pública Federal o Estatal, fideicomisos públicos, así como proveedores nacionales y extranjeros |
X |
X |
X |
X |
|
Expedir y operar tarjetas de débito y tarjetas recargables |
X |
X |
X |
X |
|
Recibir los apoyos del Comité de Protección al Ahorro Cooperativo, en términos del Artículo 55 de esta Ley |
X |
X |
X |
X |
|
Otorgar su garantía en términos del Artículo 55 de esta Ley. |
X |
X |
X |
X |
|
Otorgar préstamos o créditos a sus Socios |
X |
X |
X |
X |
|
Otorgar créditos o préstamos de carácter laboral a sus trabajadores |
X |
X |
X |
X |
|
Otorgar a otras Sociedades Cooperativas de Ahorro y Préstamo, previa aprobación del Comité Técnico, préstamos de liquidez, sujetándose a los límites y condiciones que mediante disposiciones de carácter general establezca la Comisión |
X |
X |
X |
X |
|
Descontar, dar en garantía o negociar títulos de crédito, y afectar los derechos provenientes de los contratos de financiamiento que realicen con sus Socios, en términos de lo dispuesto por el Artículo 21 de la presente Ley. |
X |
X |
X |
X |
|
Constituir depósitos a la vista o a plazo en instituciones de crédito. |
X |
X |
X |
X |
|
Realizar inversiones en valores gubernamentales, bancarios y de sociedades de inversión en instrumentos de deuda. |
X |
X |
X |
X |
|
Recibir o emitir órdenes de pago y transferencias. |
X |
X |
X |
X |
|
Fungir como receptor de pago de servicios por cuenta de terceros, siempre que lo anterior no implique para la Sociedad Cooperativa de Ahorro y Préstamo la aceptación de obligaciones directas o contingentes |
X |
X |
X |
X |
|
Realizar la compra venta de divisas en ventanilla por cuenta propia. |
X |
X |
X |
X |
|
Distribuir seguros que se formalicen a través de contratos de adhesión, por cuenta de alguna institución de seguros o Sociedad mutualista de seguros, debidamente autorizada de conformidad con la Ley General de Instituciones y Sociedades Mutualistas de Seguros y sujetándose a lo establecido en el Artículo 41 de la referida Ley. |
X |
X |
X |
X |
|
Distribuir fianzas, en términos de las disposiciones aplicables a dichas operaciones. |
X |
X |
X |
X |
|
Llevar a cabo la distribución y pago de productos, servicios y programas gubernamentales. |
X |
X |
X |
X |
|
Celebrar como arrendatarias, contratos de arrendamiento financiero sobre equipos de cómputo, transporte y demás que sean necesarios para el cumplimiento de su objeto social, y adquirir los bienes que sean objeto de tales contratos. |
X |
X |
X |
X |
|
Celebrar contratos de arrendamiento sobre bienes muebles e inmuebles para la consecución de su objeto. |
X |
X |
X |
X |
|
Realizar inversiones permanentes en otras sociedades, siempre y cuando les presten servicios auxiliares, complementarios o de tipo inmobiliario. |
X |
X |
X |
X |
|
Adquirir los bienes muebles e inmuebles necesarios para la realización de su objeto y enajenarlos cuando corresponda. |
X |
X |
X |
X |
|
Recibir donativos. |
X |
X |
X |
X |
|
Aceptar mandatos y comisiones de entidades financieras, relacionados con su objeto. |
X |
X |
X |
X |
|
Las demás operaciones necesarias para la realización de su objeto social. |
X |
X |
X |
X |
|
Realizar operaciones de factoraje financiero con sus Socios o por cuenta de éstos |
|
X |
X |
X |
|
Prestar servicios de caja de seguridad |
|
X |
X |
X |
|
Ofrecer el servicio de abono y descuento en nómina |
|
X |
X |
X |
|
Realizar la compra venta de divisas en ventanilla por cuenta propia o de terceros |
|
X |
X |
X |
|
Celebrar contratos de arrendamiento financiero con sus Socios |
|
|
X |
X |
|
Prestar servicios de caja y tesorería. |
|
|
X |
X |
|
Asumir obligaciones por cuenta de terceros, con base en créditos concedidos, a través del otorgamiento de aceptaciones, endoso o aval de títulos de crédito. |
|
|
|
X |
|
Expedir tarjetas de crédito con base en contratos de apertura de crédito en cuenta corriente, a sus Socios. |
|
|
|
X |
|
Otorgar descuentos de toda clase, reembolsables a plazos congruentes con los de las operaciones pasivas que celebren. |
|
|
|
X |
Fuente: Elaboración propia con base en la LRASCAP (2019).
En la Tabla 2, se aprecia que conforme una SOCAP tiene más activos y, por ende, sube de nivel, esta accede a poder prestar más servicios. Asimismo, esta clasificación basada en el valor de los activos, excluye otras variables como el nivel de endeudamiento o el origen de los recursos, información valiosa para los socios o futuros socios. Por otra parte, sirve para mostrar la fortaleza financiera de las SOCAPS, permitiendo separar aquellas SOCAPS que son más riesgosas para sus clientes (las de nivel básico), de las que tienen una fortaleza financiera y que, además, tienen acceso a fondos de protección para los ahorros de los clientes. Esto ayuda a los futuros socios tener un criterio de selección. Asimismo, permite al socio identificar, de entre aquellas que están autorizadas, cuáles cuentan con mayores recursos, y, por consiguiente, un grado mayor de seguridad y fortaleza financiera (Pérez y Lara, 2016; Pavón, 2016; Figueroa et al., 2016; Campos, 2017; Añorve et al., 2018; LRASCAP, 2019). En este contexto, no hay que perder de vista que la base de socios de las SOCAPS suele encontrarse entre los sectores más vulnerables de la población, lo que vuelve aún más importante el brindarles un nivel de seguridad adecuado (Villegas et al., 2017; Lara et al., 2017; Ruiz, 2018; Díaz-Peña, 2019; LGSC, 2019; LRASCAP, 2019).
2.1.4. Clasificación de la CNBV por medio del NICAP
De forma complementaria a la clasificación de las SOCAPS de acuerdo con su nivel de activos, la CNBV (2021 b) utiliza una medida para supervisar y dividir en categorías a las SOCAPS de estos niveles llamado Nivel de Capitalización (NICAP), el cual, se calcula como se muestra en la Ecuación 1.
|
|
(1) |
De esta manera, de acuerdo con la CNBV (2021 b), las SOCAPS que
pertenecen al nivel I, II, III y IV, son sub-divididas en cuatro categorías, de
acuerdo con su nivel de
.
En este sentido, el capital mínimo que una SOCAP debe mantener para cumplir con
la normatividad es del 100 %; aunque, para evitar posibles medidas preventivas,
el
debe
ser superior al 150 %. Se debe señalar que el umbral del 100 % se estableció
debido a las restricciones de las SOCAPS para incrementar su capital (entre
ellas, que no emiten acciones y la dificultad de exigir a sus socios un
incremento en el valor del certificado de aportación por medio de una asamblea
general); de tal forma, la clasificación de las SOCAPS con base en el NICAP
es como se muestra en la Tabla 3.
Tabla. 3. Categorías en que la CNBV divide a las SOCAPS de los cuatro niveles.
|
Categorías |
Nivel de capitalización |
|
Cumple o no con el requerimiento mínimo |
|
1 |
>=150 % |
|
Si |
|
2 |
<150>=100 % |
|
Si |
|
3 |
<100>=50 % |
|
No |
|
4 |
<50 % |
|
No |
Fuente: Elaboración propia con base en la CNBV (2021 b).
En la Tabla 3,
se aprecia que las categorías uno y dos cumplen con el requerimiento mínimo del
exigido
por la CNBV; sin embargo, a las SOCAPS nivel dos se les emite una alerta
temprana con el objeto de implementar acciones preventivas. Por su parte, las
SOCAPS en niveles tres y cuatro, al estar por debajo del 100 % del
,
significa que se encuentran en una posición difícil y provoca que la CNBV emite
alertas tempranas y, además, emplee medidas preventivas (CNBV, 2021 b).
Acerca de las alertas tempranas y las medidas preventivas,
la CNBV (2021 b) indica que solo se emitirán alertas tempranas a las SOCAPS de
las categorías dos, tres y cuatro. Asimismo, las medidas preventivas se dividen
en dos, que son: medidas correctivas mínimas y medidas correctivas especiales
adicionales. Las primeras serán aplicadas a todas las SOCAPS que estén en las
categorías dos, tres y cuatro, mientras que para aplicar las medidas
correctivas especiales adicionales, la CNBV toma en consideración la categoría
y otros elementos adicionales, como: la situación financiera integral de la
SOCAP; el acatamiento del marco regulatorio; la trayectoria del
de
la institución y de los principales indicadores que muestren el nivel de
estabilidad y solvencia de la misma; la calidad de la información, tanto
financiera como contable, que haya presentado la SOCAP; el cumplimiento en la
entrega de esta información; y, el cumplimiento y calidad en la entrega de la
información que la SOCAP está obligada a proporcionar a la CNBV para establecer
su categoría (CNBV, 2021 b).
Algunas de las medidas correctivas mínimas aplicadas a las
SOCAPS que estén en el nivel dos son: comunicar al Consejo de Administración la
categoría en que fue clasificada y las causas que condujeron al deterioro del NICAP
y evitar llevar a cabo operaciones que lleven a la SOCAP a ser clasificada en
una categoría inferior. Mientras que, algunos ejemplos de las medidas
especiales adicionales que se podrían aplicar a las SOCAPS que se encuentran en
esta categoría, son: determinar las acciones concretas que se llevaran a cabo
con el fin de evitar el deterioro de su
;
y, contratar servicios de auditores externos u otros terceros que estén
especializados para realizar auditorías especiales de cuestiones específicas
(CNBV, 2021 b).
Por su parte, a las SOCAPS que están en la categoría tres se le aplicarán todas las medidas correctivas mínimas de la categoría dos, más otras como: suspender las aportaciones que se realizan al fondo de obra social, interrumpir el pago de excedentes o cualquier mecanismo que involucre una transferencia de beneficios patrimoniales a los socios, y pedir permiso a la CNBV para realizar nuevas inversiones en activos no financieros. Por su parte, algunos ejemplos de las medidas especiales adicionales que podrían emplearse de ser necesario a las SOCAPS de esta categoría son: restringir el aumento de los activos de riesgo de la SOCAP; invertir al menos el 50 % de la captación de nuevos pasivos en valores gubernamentales; disminuir los gastos en promoción y administración y otros gastos; suplir funcionarios, miembros del Consejo de Administración y del Consejo de Vigilancia o auditores externos; y, realizar todas las acciones posibles que puedan contribuir a disminuir la exposición a riesgos surgidos por la celebración de operaciones que se aparten de manera significativa de las políticas y operaciones habituales de las SOCAPS y que, a juicio de la CNBV, generen un alto riesgo de mercado (CNBV, 2021 b).
Un caso especial son las SOCAPS que se ubican en la categoría cuatro, ya que, para ellas, las medidas correctivas mínimas y las medidas especiales adicionales son las mismas. En esta situación, la CNBV podrá solicitar la destitución del director o gerente general y del Consejo de Administración, para lo cual, tendrá que informar al Comité de Protección al Ahorro Cooperativo y al Comité de Supervisión Auxiliar. Asimismo, el Comité de Protección al Ahorro Cooperativo solicitará a la SOCAP que se convoque a una Asamblea General extraordinaria de socios para comunicarles de la situación en la que se encuentra la entidad, y en su caso, proceder al nombramiento de las personas que se encargarán de la administración de la SOCAP, así como a efectuar la selección de alguno de los mecanismos señalados en el artículo 85 de la LRASCAP. Estos mecanismos son: escisión, fusión, otras que contribuya a disminuir el riesgo de insolvencia o quebranto, disolución y liquidación, así como concurso mercantil en términos de la LGSC y de las bases constitutivas (CNBV, 2021 b).
2.2. La dimensión financiera en las SOCAPS
La importancia de asegurar la sostenibilidad financiera de las SOCAPS se deriva de su participación en el desarrollo económico y el combate a la pobreza; ya que, al regirse según los principios cooperativos, buscan contribuir de manera positiva en las localidades en donde operan, pero, al mismo tiempo, requieren perseguir objetivos financieros que permitan su supervivencia (García-Gutierréz, 2000; Sabaté et al., 2000; Gómez-Limón et al., 2003; Marín y Mari, 2006; Sanchis y Campos, 2007, 2018; Belmonte y Plaza, 2008; Seguí-Mas y Server, 2010; Pozuelo et al., 2012; Figueroa et al., 2016; Pavón, 2016; Campos, 2017; Silva y Ramos, 2017; Sanchis y Pascual, 2017; Ruiz, 2018; Sanchis y Rodríguez 2018).
Así, resulta evidente que las SOCAPS se distinguen de otras instituciones financieras por atender aquellos sectores excluidos por las instituciones financieras tradicionales. Es así como, en el caso de México, estas instituciones toman relevancia por ser promotoras de la inclusión financiera y del desarrollo económico (Figueroa et al., 2016; Pavón, 2016; Campos, 2017; Silva y Ramos, 2017; Ruiz, 2018). Sin embargo, al ser intermediarios pertenecientes al sistema financiero mexicano, las SOCAPS están sujetas a ordenamientos en materia financiera, similares a los de la banca.
Esta dualidad
entre perseguir un objeto social y, al mismo tiempo, estar obligadas a cumplir
con requerimientos financieros, lleva a la necesidad de adaptar a la situación
propia de las SOCAPS ciertos conceptos de eficiencia financiera que sean
distintos a los de la banca, reconociendo que las SOCAPS son organizaciones
singulares y que tienen características intangibles particulares. Lo anterior,
ya lo asume la CNBV al publicar y dar seguimiento a los indicadores adaptados
que utiliza para supervisar y analizar financieramente a las SOCAPS, como: el
,
el
,
el
y
el NICAP. Sin embargo, el mismo órgano supervisor reconoce las
limitaciones y las características intangibles particulares que tienen las
SOCAPS (García-Gutierréz, 2000; Sabaté et al., 2000; Gómez-Limón et al., 2003;
Marín y Mari, 2006; Sanchis y Campos, 2007, 2018; Belmonte y Plaza, 2008;
Seguí-Mas y Server, 2010; Pozuelo et al., 2012; Figueroa et al., 2016; Pavón,
2016; Campos, 2017; Silva y Ramos, 2017; Sanchis y Pascual, 2017; Ruiz, 2018;
Sanchis y Rodríguez 2018; CNBV, 2021 a b).
Es así que, derivado de las particularidades de las SOCAPS, es pertinente tomar en consideración ciertos elementos únicos de estas organizaciones. Por ejemplo, que la adopción de los principios cooperativos tiene implicaciones económico-contables, particularmente en temas como la libre adhesión y baja voluntaria de los socios, la participación económica de los socios, y, el compromiso en la educación y promoción cooperativa (Pozuelo et al., 2012). A esto, se suman las restricciones que enfrentan las SOCAPS en cuanto a sus fuentes de financiamiento ocasionadas por su figura jurídica y leyes especiales, limitando su crecimiento y la cantidad y calidad de los servicios financieros que pueden ofrecer (Pérez y Lara, 2016; Lara et al., 2017; Añorve et al., 2018; LRASCAP, 2019; Cruz y Pérez, 2020 b; CNBV, 2021 b).
Estas restricciones normativas y compromisos sociales representan desafíos importantes para que las SOCAPS mantengan su sostenibilidad financiera y, así, estar en posibilidad de cumplir con su objetivo social; especialmente ante la competitividad de los mercados en donde operan, de manera que las SOCAPS tienen que hallar la forma de armonizar sus objetivos sociales con los empresariales. Todo ello, de manera adicional a los riesgos económicos-financieros a los que está expuesta cualquier entidad financiera sometida a las condiciones del mercado (Sabaté et al., 2000; García-Gutierréz, 2000; Gómez-Limón et al., 2003; Marí, 2006; Sanchis y Campos, 2007, 2018; Belmonte y Plaza, 2008; Istillarte, Laguado y Borjas, 2008; Seguí-Mas y Server, 2010; Pozuelo et al., 2012; Pérez y Lara, 2016; Lara et al., 2017; Campos, 2017; Silva y Ramos, 2017; Sanchis y Pascual, 2017; Añorve et al., 2018; Ruiz, 2018; Sanchis y Rodríguez 2018; LRASCAP, 2019; Cruz y Pérez, 2020 b).
2.2.1. Problemas financieros en las SOCAPS
Las SOCAPS en México han enfrentado crisis financieras, tanto de liquidez, como de solvencia, ocasionadas por malas decisiones y prácticas realizadas por sus administradores. Un ejemplo es lo ocurrido en el año 2000, cuando algunos grupos empresariales que solo buscaban el lucro se aprovecharon de una regulación inadecuada, lo que condujo a muchas cooperativas de ahorro y préstamos a tener dificultades de liquidez y solvencia. Esta situación llevó a que numerosas cooperativas de ahorro y préstamos desaparecieran junto con los ahorros de sus socios (Simón, Villegas y Ortega, 2008; Lara y Urbiola, 2009; Rojas, 2012; Figueroa y Magaña, 2018).
El gobierno de México reaccionó creando en el año 2000 la Ley del Fideicomiso que Administrará el Fondo para el Fortalecimiento de Sociedades y Cooperativas de Ahorro y Préstamo y de Apoyo a sus Ahorradores (FIPAGO), y, la Ley de Ahorro y Crédito Popular (LACP), en 2001. Con lo que trató de prevenir situaciones de insolvencia o falta de liquidez en las instituciones de ahorro y crédito, así como el abuso de grupos empresariales; con el objeto de cuidar y proteger los ahorros de los socios de este tipo de instituciones, al evitar la quiebra de las SOCAPS por medio de un marco regulatorio adecuado y la creación de mecanismos de protección al ahorro de sus socios (Simón et al., 2008; Lara y Urbiola, 2009; Rojas, 2012; Figueroa y Magaña, 2018).
No obstante, en 2014 las SOCAPS se vieron envueltas en otra crisis, en la que cerca de quince mil socios del estado de Oaxaca perdieron sus ahorros debido a la quiebra de varias SOCAPS. Por este motivo, el gobierno mexicano reformó la LRASCAP el 28 de abril de 2014, para armonizarla con la Ley FIPAGO. Con esta acción, se buscó fortalecer, beneficiar y apoyar a las SOCAPS y a sus socios, al poder usar los instrumentos que tiene Ley FIPAGO en las SOCAPS y así evitar futuras quiebras (Rodríguez y Dorantes, 2016; LRASCAP, 2019).
2.2.2. El análisis financiero en las SOCAPS
La realidad dual de las SOCAPS hace que se les demande un eficiente desempeño empresarial, a fin de estar en posibilidades de cumplir con su objetivo social, lo que hace necesario que estas entidades cuenten con instrumentos de análisis financieros adecuados para su situación particular. En este sentido, se han realizado estudios financieros en cooperativas que ha permitido llegar a varias conclusiones relevantes para estas instituciones. Entre ellos, se ha detectado inconvenientes con la calidad de la información que generan, concretamente, se ha observado que información importante no se cuantifica. También, que los sistemas de diagnósticos existentes no toman en consideración toda la información relevante, que se explica por la falta de información, omisiones y que la información contable de las cooperativas se basa en principios originalmente creados para empresas capitalistas (García-Gutiérrez, 2000; Marí, 2006; Gómez-Limón et al., 2003; Marín y Mari, 2006; Sanchis y Campos, 2007, 2018; Belmonte y Plaza, 2008; Istillarte et al., 2008; Pozuelo et al., 2012; Pavón, 2016; Cabaleiro e Iglesias, 2016; Villegas et al., 2017; Campos, 2017; Lara et al., 2017; Sanchis y Pascual, 2017; Añorve et al., 2018; Ruiz, 2018; Altamirano et al., 2018; Sanchis y Rodríguez 2018; Díaz-Peña, 2019; LGSC, 2019; LRASCAP, 2019).
Lo anterior, provoca que los sistemas de análisis financiero no puedan llevar a cabo una evaluación completa de una cooperativa, por lo que se han propuesto distintos sistemas que tomen en consideración las particularidades e información relevante de estas instituciones, de una manera más eficaz; con la finalidad de poder realizar un diagnóstico financiero más completo y adecuado a sus condiciones particulares. Algunos de estos métodos se basan en otros ya existentes, empleando distintas ratios; mientras que otros se enfocan en estudiar variables específicas, como: la solvencia, la rentabilidad, el endeudamiento, la presión fiscal y actividad (Montegut, Sabaté y Clop, 2002; Gómez-Limón et al., 2003; Sanchis y Campos, 2007; Istillarte et al., 2008; Belmonte y Plaza, 2008; Pozuelo et al., 2012; Sanchis y Pascual, 2017; Altamirano et al., 2018 Cruz y Pérez, 2020 b).
Algunos sistemas de análisis financieros que se han propuesto para las cooperativas son los modelos: Capital, Asset Quality, Management, Earnings y Liquidity (CAMEL), COLAC y PERLAS. Sin embargo, estos modelos siguen presentando algunas limitaciones para capturar completamente la realidad de las cooperativas y su contexto. Algunos de los aspectos que no toman en consideración estos análisis y, que son importantes para las cooperativas, son: la productividad, el alcance, la profundidad y la competitividad de los activos. Estos aspectos son relevantes para las cooperativas por dos razones, principalmente: la cantidad de socios de este tipo de instituciones y los servicios que ofrecen (Altamirano et al., 2018). A continuación, se describen brevemente cada una de estas metodologías.
El modelo de análisis CAMEL se enfoca en detectar la vulnerabilidad financiera de una empresa. Consiste en analizar cinco áreas principales de la calidad financiera intrínseca de las instituciones financieras: adecuación de capital, calidad de los activos, gestión administrativa, ganancias y liquidez. Es así, como este modelo emplea un análisis de tipo microeconómico para entidades financieras en un momento exacto, es decir, es un análisis estático. Este método usado en instituciones financieras ha demostrado su eficacia al identificar aquellas que se encuentran en una situación no sólida (Altamirano et al., 2018).
El método PERLAS fue creado en 1990 por el Consejo Mundial de Cooperativas de Ahorro y Crédito (WOCCU por sus siglas en ingles). Este es un sistema de monitoreo con el que se puede evaluar el desempeño financiero de una cooperativa, como las SOCAPS, y, con ello, garantizar su sostenibilidad financiera. El método PERLAS, consta de 45 indicadores, los cuales están clasificados en seis categorías, que son: protección, estructura financiera eficaz, calidad de los activos, tasas de rendimiento y costos, liquidez y señales de crecimiento. De esta manera, cada una de estas áreas evalúa aspectos claves de las operaciones financieras de las cooperativas, con lo que es posible mandar una señal a los miembros del consejo, en caso de que se presente un riesgo (Altamirano et al., 2018).
El modelo COLAC consiste en un cuadro de mando conformado tanto de indicadores financieros, como no financieros. Tiene como fin disminuir los riesgos de mercado a los que se enfrentan las cooperativas de ahorro y préstamos tomando en cuenta los aspectos relacionados con el desarrollo financiero. De esta manera, el cuadro de mando busca equilibrar las operaciones que permitan aumentar la rentabilidad y maximizar la calidad de los servicios que ofrecen las SOCAPS a sus socios. Esta estrategia de análisis permite obtener un diagnóstico a través de indicadores financieros que exhiban su estabilidad ante distintos factores que influyen en su operación. El modelo COLAC también considera los factores externos que afectan las variables financieras de las SOCAPS, por lo que se compone por cinco grupos, que son: competitividad cooperativa, operaciones y resultados, liquidez y apalancamiento, administración y control, y, crecimiento y tecnología. Algunos ejemplos de los indicadores que están dentro de cada grupo son la penetración del mercado y la eficiencia administrativa (De Sárraga y Spalding, 2002; Altamirano et al., 2018).
Una cuarta propuesta es la que realizó Alfaro (1999), con el patrocinio el centro de políticas del INCAE y el apoyo de la Fundación Ford; la cual, es una alternativa para evaluar el desempeño de las Instituciones Financieras (IFD`s). Esta metodología plantea un cambio en la visión acerca de las organizaciones colectivas, en la que, en lugar de ver a las instituciones como un medio para alcanzar un fin, se opta por verlas como organizaciones que luchan para obtener metas específicas y sobrevivir como unidad social. Es así, que este modelo de análisis contempla cinco aspectos claves de las organizaciones, los cuales son: la amplitud de servicios de crédito, amplitud de intermediación financiera, profundidad, calidad de alcance y tasa de interés efectiva.
Algunas de las críticas que han recibido estas propuestas son: que no se adaptan completamente a las particularidades de las cooperativas como las SOCAPS y que cada uno de estos modelos miden cosas que otros omiten, por ejemplo, el modelo COLAC no permite medir ciertos riesgos que sí lo hacen el método CAMEL y el PERLAS. Esta situación provoca que los modelos no puedan llevar a cabo una evaluación completa de una cooperativa como las SOCAPS (Altamirano et al., 2018).
Algunos estudios que han destacado la importancia de la dimensión financiera en las cooperativas son: García-Gutiérrez (2000), quien señala que el riesgo financiero en las cooperativas se traslada para ser económico; Montegut et al., (2002), observaron que las cooperativas productoras de aceite de oliva inscritas en la denominación de origen protegida (DOPG) Les Garrigues Lleida tienen un reducido volumen de actividad y una baja capacidad de crecimiento ocasionados por la falta de liquidez, exceso de apalancamiento y baja capacidad de generar beneficios, y que la financiación de corto plazo representa en ellas un porcentaje elevado en el conjunto de fondos ajenos; Belmonte y Plaza (2008), quienes proponen una nueva metodología para el estudio de la eficiencia en el sector de cooperativas de crédito español basándose en el Análisis Envolvente de Datos, con lo que establecen un indicador que permite analizar cómo las entidades aguantan una estructura de costos distinta en diversos escenarios; y, Altamirano et al., (2018), quienes crean un modelo de diagnóstico financiero basado en las metodologías CAMEL, PERLAS y COLAC, conformado por 76 indicadores distribuidos en diez categorías. Esta metodología permite evaluar el desempeño financiero y los riesgos en las cooperativas de ahorro y crédito en Ecuador, al minimizar los costos operativos. Adicionalmente, este modelo se utiliza para crear un ranking de las cooperativas en Ecuador.
En este punto,
se debe recordar que la CNBV emplea distintas razones financieras para
monitorear a las SOCAPS de México, como: el
,
el
,
el coeficiente de liquidez, el
,
el
,
y, particularmente, el Nivel de Capitalización (NICAP), que es el índice
que emplea la CNBV para supervisar y monitorear a estas instituciones. De
acuerdo con la CNBV, este índice le permite medir la fortaleza financiera de
las SOCAPS y clasificarlas en cuatro grupos, de manera que, dependiendo del
grupo en el que se sitúe la SOCAP, la CNBV podrá tomar ciertas medidas
preventivas (CNBV, 2021 b).
Por último, un ejemplo de un estudio de análisis financiero elaborado para el caso de las SOCAPS de México, fue el elaborado por Cruz y Pérez, (2020 b). Quienes analizaron la estructura de capital de una muestra conformada por 34 SOCAPS de 160 que reportan la CNBV de México. Para su análisis adaptaron un modelo de análisis de estructura de capital para determinar si estas SOCAPS obedecen o no a la teoría del orden jerárquico. De manera específica, adaptaron la propuesta por Mongrut, Fuenzalida, Pezo y Teply, (2010) basado en el modelo de Shyam-Sunders y Myers (1999) (citados por los autores). Los resultados de los autores indican que hay algunas SOCAPS de México que obedecen la teoría del orden jerárquico, lo cual señala que tienen una preferencia u orden en sus fuentes de financiamiento y que este tipo de instituciones se financian principalmente de los ahorros y el cobro de interés por los préstamos otorgados a sus socios. Lo que, de acuerdo con los autores, las protege de distintos riesgos financieros como un exceso de apalancamiento, pero limita su crecimiento. Asimismo, identificaron que hay otro tipo de SOCAPS que su principal fuente de ingresos son los préstamos, lo cual, las pone en diversos riesgos financieros.
2.3. F-score Piotroski
El F-score, propuesto por Piotroski (2000), es una estrategia de análisis financiero que permite medir la fortaleza financiera de una empresa utilizando sus estados financieros. Esta estrategia ha sido usada, revisada y comprobada con éxito por distintos autores, principalmente para analizar empresas en los mercados financieros desarrollados (Piotroski, 2000; Dorantes, 2013; Hyde, 2013; Kim y Lee, 2014; Krauss, Krüger y Beerstecher, 2015; Eremenko, 2017; Chakraborty, 2019; Jeong y Kim, 2019; Jiang, Jin y Tang, 2020).
Para el diseño de esta herramienta, Piotroski (2000) analizó datos de empresas que cotizan en el mercado de valores de EUA durante el periodo de 1976 a 1996. El autor empleó el F-score para identificar las que tuvieran la mayor fortaleza financiera y utilizó los resultados del análisis como parte de una estrategia de inversión en los mercados de capitales, con lo que comprobó que las empresas que obtuvieron una calificación alta en el F-score, también mostraron un comportamiento financiero más sólido (Piotroski, 2000; Hyde, 2013; Dorantes, 2013; Kim y Lee, 2014; Eremenko, 2017; Jeong y Kim, 2019). En México, el puntaje F-score fue utilizado con éxito por Dorantes (2013), quien lo empleó para identificar a las empresas con mayor fortaleza financiera en la Bolsa Mexicana de Valores, a fin de seleccionar activos de inversión en el mercado de capitales, con base en criterios de análisis fundamental.
Metodológicamente, el F-score se centra en estudiar tres aspectos de la empresa que son: rentabilidad, apalancamiento y, liquidez y eficiencia operativa; de los cuales, se obtienen nueve señales fundamentales, a las que se le asigna un punto si cumplen con la condición establecida, o cero, en caso contrario. De tal forma, conforme la calificación del F-score se acerque más al nueve (que es la calificación máxima que puede obtener una empresa), significa que la entidad analizada tiene una mayor solidez financiera; y, en caso de que se acerque a cero, significa que su sostenibilidad financiera está en mayor riesgo (Piotroski, 2000; Hyde, 2013; Dorantes, 2013; Kim y Lee, 2014; Eremenko, 2017; Chakraborty, 2019; Jeong y Kim, 2019).
Las señales
relacionadas con la rentabilidad son las se encuentran relacionadas con la
capacidad que la empresa tiene para generar fondos internamente. Para esta área
se analizan cuatro variables: Return On Assets
;
el Cash Flow From Operation
;
la variación del
;
y,
.
El autor define el
como
ingresos netos antes de partidas extraordinarias, en este sentido, si la
empresa tiene un
positivo
al comienzo del año, la empresa tiene una calificación de uno y cero si es
negativa. Por otra parte, el
que
es el flujo de efectivo de las operaciones de acuerdo con el autor, si es
positivo al comienzo del año, la calificación es de uno y cero en caso
contrario. Con respecto a la
que
es el
del
año actual menos el
del
año anterior, si el
es
mayor este año en comparación con el año anterior, se le da la calificación de
uno y cero si es menor. Por último,
,
en este sentido, esta tiene una calificación de uno si el flujo de efectivo
es
mayor que el
,
cero en caso contrario (Piotroski, 2000).
Con relación a
las variables de apalancamiento, liquidez y fuentes de fondos, estas tienen
como fin evaluar la estructura de capital de la empresa y su capacidad para
poder cumplir con sus obligaciones futuras surgidas de su deuda. La primera de
ellas es la variable
,
la cual, es la relación entre el cambio histórico de la deuda a largo plazo con
los activos totales promedio de la empresa analizada; la condición de esta es
que, si el índice de la deuda a largo plazo de la empresa disminuyó con
respecto al año anterior, se le da una calificación de uno y cero en caso
contrario. La segunda variable de este rubro es
,
que es el cambio que hay en el índice actual de activos corrientes a pasivos
corrientes entre el año actual con el anterior; es así, que este rubro obtiene
una calificación de uno si la liquidez de la organización mejora y cero en caso
de no hacerlo. La última variable de esta área es el
,
la cual analiza la emisión de acciones comunes, con la que, si la empresa no
emitió acciones comunes durante el periodo de análisis tendrá una calificación
de uno, o cero, en caso de que lo haya hecho (Piotroski, 2000).
Finalmente, en
cuanto a las variables de eficiencia operativa o desempeño financiero, se
encuentran:
y
.
Con respecto a
es
el índice del margen bruto actual de la empresa (que está ajustado por las
ventas totales) a la cual, se le resta el índice de margen bruto del año
anterior; en este caso, se le da el valor de uno si esta diferencia es positiva
y cero si es negativa. La segunda variable de este rubro es
,
que es definido como el índice de rotación de activos del año actual de la
empresa (ventas totales escaladas al comienzo de los activos totales del año)
menos el índice de rotación de activos del año anterior; la condición, es que
se le da el valor de uno si es positiva y cero en caso contrario (Piotroski,
2000). De manera que, en total, son nueve indicadores los que califica el
F-Score de Piotroski, las cuales, se muestran en la Tabla 4, junto con sus
fórmulas y descripciones.
Tabla. 4. Los nueve indicadores del F-score de Piotroski a las SOCAPS.
|
Número |
Indicador |
Definición |
Calculo del indicador |
Evaluación |
|
1 |
|
Utilidad neta antes de partidas extraordinarias del ejercicio anterior a la formación de la cartera escalada por activos totales al inicio del año t. |
|
Uno si es positivo o cero si es negativo. |
|
2 |
|
Flujo de efectivo de las operaciones o flujo de caja operativo. Flujo de efectivo de las operaciones escalado por activos totales al comienzo del año t. |
|
Uno si es positivo o cero si es negativo. |
|
3 |
|
Cambio en el ROA anual para el año anterior a la formación de la cartera. |
El |
Uno si es positivo o cero si es negativo. |
|
4 |
|
El ingreso neto del año en curso antes de partidas extraordinarias menos el flujo de efectivo de las operaciones, escalado por activos totales al comienzo del año |
Comparar el cash-flow operativo con el ROA (CFO contra ROA). |
Uno si CFO> ROA o cero en caso contrario. |
|
5 |
|
La relación entre el cambio histórico de la deuda a largo plazo con los activos totales promedio de la empresa. Comparar la deuda de largo plazo del año analizado con la del año pasado. Cambio en la razón deuda-activos de la empresa entre el final del año t y el año t-1. |
La relación deuda-activos se define como la deuda total a largo plazo de la empresa (incluida la parte de la deuda a largo plazo clasificada como corriente) escalada por los activos totales promedio. |
Uno si la deuda a largo plazo disminuyo con respecto al año anterior o cero en caso contrario. |
|
6 |
|
El cambio que hay en el índice actual de activos corrientes a pasivos corrientes entre el año actual con el anterior. Cambio en la razón corriente de la empresa entre el final del año t y el año t-1. La razón corriente se define como el activo corriente total dividido por el pasivo corriente total. |
Comparar el índice de liquidez de la empresa del año uno con el del año pasado (Índice de liquidez = Activo corriente / Pasivo corriente). |
Uno si el índice de liquidez mejora o cero en caso contrario |
|
7 |
|
Analiza la emisión de acciones comunes |
Analizar la emisión de acciones comunes y determinar si emitió nuevas o no. |
Uno si la empresa no emitió acciones comunes o cero si lo hizo. |
|
8 |
|
Índice del margen bruto actual de la empresa (que está ajustado por las ventas totales) a la cual, se le resta el índice de margen bruto del año anterior. |
Margen bruto (ventas netas menos costo del bien vendido) para el año anterior a la formación de la cartera, escalado por las ventas netas del año, menos el margen bruto de la empresa (escalado por ventas netas) del año t-1. |
Uno si es positivo o cero si es negativo. |
|
9 |
|
El índice de rotación de activos del año actual de la empresa (ventas totales escaladas al comienzo de los activos totales del año) menos el índice de rotación de activos del año anterior. Cambio en el índice de rotación de activos de la empresa entre el final del año t y el año t-1. |
Índice de rotación de activos del año actual de la empresa menos el índice de rotación de activos del año anterior. Donde el índice de rotación de activos = venta netas/ total de activos promedio. |
Uno si es positivo o cero si es negativo. |
Fuente: Elaboración propia con base en Piotroski, 2000.
Una vez obtenidas estas nueve variables y asignadas sus respectivas calificaciones, estas se suman, como aparecen en la Ecuación 2, con lo que se obtiene el puntaje o calificación F-score de la empresa analizada, que, como ya se explicó, indica una mayor fortaleza financiera al acercarse a nueve, y lo contrario si se acerca a cero (Piotroski, 2000; Dorantes, 2013).
|
|
(2) |
Donde:
Una vez obtenido el puntaje o calificación F-score, se puede clasificar a las empresas de acuerdo con su fortaleza financiera. De esta forma, una empresa tiene una mayor fortaleza financiera al acercarse a nueve, y lo contrario si se acerca a cero. Esto permite distinguir a las empresas que tienen un grado mayor de fortaleza financiera de aquellas que no la tienen (Piotroski, 2000; Dorantes, 2013; Hyde, 2013; Kim y Lee, 2014; Krauss et al., 2015; Eremenko, 2017; Chakraborty, 2019; Jeong y Kim, 2019; Jiang et al., 2020).
3. Metodología
El objetivo de este trabajo es proponer una nueva metodología para la clasificación de las Sociedades Cooperativas de Ahorro y Préstamo (SOCAPS) de México que refleje de manera más eficiente su situación financiera, con la finalidad de que los ahorradores y el organismo supervisor del sector cuenten con información más confiable acerca de su solidez, y, de esta manera, el ahorro de los usuarios de estas entidades se encuentre más protegido; para lo cual, se retoma y se adapta la metodología F-score de Piotroski al contexto de las SOCAPS de México.
Dado que el F-score es un indicador de fácil comprensión y aplicación, y permite clasificar a las empresas de acuerdo con su nivel de fortaleza financiera, se vuelve una importante herramienta que, al adaptarse al contexto que enfrentan las SOCAPS, permite realizar un diagnóstico financiero más preciso, así como evaluar a las SOCAPS de todos los niveles de supervisión (Piotroski, 2000; Hyde, 2013; Kim y Lee, 2014; Krauss et al., 2015; Eremenko, 2017; Chakraborty, 2019; Jeong y Kim, 2019; Jiang et al., 2020). Es así, que esta adaptación tendrá que considerar las características especiales y las restricciones normativas que enfrentan las SOCAPS, como el sujetarse a los principios cooperativos y a la LRASCAP, para que, de esta forma, se logre evaluar la seguridad de los ahorros de sus socios, al mismo tiempo que se asume como condición que la SOCAP analizada está cumpliendo con sus principios y objetivo social (Sabaté et al., 2000; García-Gutierréz, 2000; Gómez-Limón et al., 2003; Marí, 2006; Sanchis y Campos, 2007, 2018; Belmonte y Plaza, 2008; Istillarte et al., 2008; Seguí-Mas y Server, 2010; Pozuelo et al., 2012; Pérez y Lara, 2016; Lara et al., 2017; Silva y Ramos, 2017; Campos, 2017; Añorve et al., 2018; Ruiz, 2018; LRASCAP, 2019; Cruz y Pérez, 2020 b).
Esta metodología proporcionará un puntaje que puede ser usado para informar de la situación financiera a los socios de las SOCAPS; y, de esa manera, clasificarlas conforme a su nivel de fortaleza financiera; además de brindar elementos para una mejor gestión de las SOCAPS por parte de sus administradores. En contraste con los métodos de clasificación llevados a cabo actualmente por la CNBV (2021 b), que se basan en el NICAP y, complementariamente, reportan algunas razones financieras; la propuesta de este trabajo busca brindar una óptica más completa, al examinar las nueve señales fundamentales propuestas por Piotroski (2000), las cuales, se dividen en tres aspectos: rentabilidad; apalancamiento, liquidez y fuentes de fondos; y, liquidez y eficiencia operativa. Naturalmente, la metodología y algunos criterios utilizados por Piotroski (2000) deberán adaptarse a las características propias de las SOCAPS; quienes, por ejemplo, no emiten acciones, lo cual, es uno de los insumos requeridos para construir el F-score en su versión original.
Para ello, la metodología empleada en el presente trabajo consiste en: 1) proponer un indicador para diagnosticar la fortaleza financiera de las SOCAPS mexicanas, con base en una adaptación del F-score a las características normativas y operativas de estas entidades; 2) diseñar un criterio de clasificación para las SOCAPS, con base en la adaptación propuesta; 3) clasificar a las SOCAPS autorizadas de México, basado en la metodología propuesta; 4) realizar una revisión histórica de la supervivencia y mortandad de las SOCAPS en México, para identificar dos grupos de SOCAPS, que son: a) el que se mantuvo en operación durante el periodo analizado y b) el de SOCAPS que haya cerrado sus actividades; y, 5) analizar y comparar, de forma descriptiva y por medio de pruebas de hipótesis los puntajes de ambos grupos, para ver si son coherentes con las nuevas clasificaciones propuestas y determinar sus características, a fin de identificar posibles factores que incidan en la supervivencia y la mortandad de las SOCAPS. De esta manera, podrá evaluarse la efectividad del uso de un indicador basado en el F-score, para diagnosticar la solidez financiera de las SOCAPS, prevenir posibles quebrantos, y, por lo tanto, proteger de manera más eficaz el ahorro de sus socios y clientes.
3.1. Propuesta de un indicador para medir la fortaleza financiera de las SOCAPS con base en el F-score de Piotroski
La propuesta metodológica para clasificar a las SOCAPS de México se basa en el puntaje que se obtendrá de la adaptación del F-score de Piotroski (2000). Por ello, se requiere adecuar dicho modelo a las particularidades de estas instituciones, como se expone en la Tabla 4 y en la Ecuación 2. Por ejemplo, en la metodología original de Piotroski (2000), la emisión de acciones es uno de los insumos requeridos para la elaboración del indicador, pero, como lo señala la legislación mexicana, las SOCAPS no tienen permitido emitir acciones (LRASCAP, 2019). En la Tabla 5 se exhibe la forma cómo se adaptarán los criterios propuestos por Piotroski (2000) a las características de las SOCAPS mexicanas.
Tabla. 5. Adaptación de los indicadores del F-score de Piotroski a las SOCAPS (para análisis anual).
|
Número |
Indicador |
Indicador adaptado a la SOCAP |
Calculo del indicador adaptado (fórmula y procedimiento) |
Calificación del indicador |
|
1 |
|
|
|
Si el ROA es positivo es uno, cero en otro caso. |
|
2 |
|
|
|
Si el CFO es positivo es uno, cero en otro caso. |
|
3 |
|
|
Al |
Si es la diferencia es positiva es uno, cero en otro caso. |
|
4 |
|
|
CFO contra ROA |
Si el CFO>ROA, es uno, cero en otro caso. |
|
5 |
|
|
Depósitos a plazo + cuentas sin movimiento + Préstamos bancarios y de otros organismos + Otras cuentas por pagar + crédito diferidos y cobros anticipados. Comparar el resultado del año actual con el anterior. |
Si la deuda a largo plazo del año es menor que la del año anterior es uno, cero en otro caso. |
|
6 |
|
|
Comparar el resultado del índice de liquidez del año actual con el
anterior. |
Si el índice de liquidez mejora es uno, cero en caso contrario. |
|
7 |
|
|
Al resultado del año actual se le resta el anterior. Índice de margen bruto= (ingresos por intereses-gasto por intereses) /ingresos por intereses. |
Si la diferencia es positiva es uno, cero en otro caso. |
|
8 |
|
|
Al índice de rotación del año actual se le resta el del año anterior. Índice de rotación de activos = ingresos por intereses / total de activos. |
Uno si la diferencia es positiva, cero en otro caso. |
Fuente: Elaboración propia con base en Piotroski (2000), LRASCAP (2019) y CNBV (2021 a b).
En la Tabla 5 se aprecia que el
sistema de análisis financiero del F-score de Piotroski (2000) adaptado a las
SOCAPS, está conformado por ocho indicadores. Esto, porque el indicador que
evalúa la emisión de acciones
fue
omitido. De esta manera, el sistema de análisis adaptado a las SOCAPS dará una
calificación que estará entre cero y ocho; de manera que, si la SOCAP tiene un
puntaje de ocho (calificación máxima) indicara que esta tiene una gran
fortaleza financiera, mientras que si tiene cero (mínimo puntaje), significa
que dicha institución tiene una gran debilidad financiera. Una vez calificados
los ocho indicadores, los puntajes conseguidos se sustituyen en la Ecuación 3,
para obtener la calificación final de la SOCAP evaluada.
|
|
(3) |
Donde:
Este puntaje final refleja la solidez financiera de la SOCAP analizada, de manera que una SOCAP tiene una mayor fortaleza financiera al acercarse a una calificación de ocho (la máxima que puede tener); y, lo contrario si se acerca a cero. Se debe agregar que este análisis comprende tres áreas de las SOCAPS: a) rentabilidad, b) apalancamiento, liquidez y fuentes de fondos; y, c) liquidez y eficiencia operativa.
3.2. Criterio de clasificación
La calificación obtenida por medio de la adaptación del F-score de Piotroski (2000) es el indicador que se usará para clasificar a todas las SOCAPS de México registradas ante la CNBV (2021 a b). De esta forma, las SOCAPS se agruparán con base en su calificación, lo que representa su nivel de fortaleza financiera. En este sentido, el grupo conformado por SOCAPS que tienen calificaciones de ocho (la máxima calificación), es el grupo que tiene mayor fortaleza financiera, en comparación al grupo que tiene solo SOCAPS con calificaciones de cero (la calificación más baja).
Para aplicar el criterio de clasificación se utilizará la información que reporta la CNBV (2021 a b) para 156 SOCAPS pertenecientes a los niveles 1, 2, 3 y 4. Asimismo, la información financiera será deflactada usando el Índice Nacional de Precios al Consumidor (INPC), el cual, fue extraído del Instituto Nacional de Estadística y Geografía (INEGI, 2021), para que el análisis se haga sobre datos reales. El periodo que se examinará es de 2010 a 2019 (tomando año base 2010); por lo que se obtendrá por cada SOCAP nueve calificaciones correspondientes a los años de 2011 a 2019; o menos, para los casos en los que las SOCAPS dejaron de publicar su información, por razones como que cerraron, perdieron su nivel, o son de reciente creación.
3.3. Revisión histórica de la supervivencia y mortandad de los grupos de SOCAPS de México y su análisis estadístico
Como parte de la metodología, se clasificarán y analizarán dos grupos de SOCAPS: a) las que han mantenido su autorización para operar y, por lo tanto, pertenecen a alguno de los cuatro niveles de la clasificación basada en sus activos; y, b) las que perdieron su autorización para operar, por lo cual, ya no pertenecen a alguno de los cuatro niveles de la clasificación de la CNBV, y, por lo tanto, ya no están autorizadas a ofrecer servicios financieros a sus socios. De esta forma, para efectos de esta investigación, el hecho de que una SOCAP haya dejado de publicar su información se asumirá como una señal negativa y, por lo tanto, de mortandad.
Una vez que se hayan identificado a ambos grupos, se
procederá a determinar el puntaje que obtuvo cada uno, con base en la
adaptación del F-score de Piostroski; con lo cual, se hará un comparativo con
el fin de determinar si los resultados concuerdan con las características
correspondientes a la propuesta metodológica de clasificación. Naturalmente, se
espera que el grupo de SOCAPS que mantienen sus operaciones tengan
calificaciones más altas, en comparación a las que cerraron. Para determinar si
el grupo de SOCAPS que mantuvo sus operaciones tiene calificaciones más altas
que el grupo de SOCAPS que cerro, primero se realizará un análisis por medio de
estadística descriptiva y en una segunda etapa, se aplicará una prueba de
hipótesis
para
comparar medias.
Para la prueba de hipótesis, se utilizarán las
calificaciones promedio totales de los grupos que se están comparando. De esta
forma, se determinará si la diferencia que hay, entre la calificación promedio
del grupo de SOCAPS que mantuvo sus operaciones por más tiempo, con el puntaje
promedio del grupo de SOCAPS que cerraron son estadísticamente significativas;
y, si la calificación promedio de las SOCAPS que mantuvieron sus operaciones
son estadísticamente más altas que la del grupo de SOCAPS que cerraron. El
procedimiento utilizado es el mostrado por Newbold et al., (2008), quienes
señalan que esta prueba de hipótesis, es para dos medias, poblaciones
independientes y con varianzas desconocidas. Asimismo, indican que el primer
paso es plantear la hipótesis nula
y
la hipótesis alternativa
.
Estas se muestran en la Ecuación 4.
|
|
(4) |
Donde:
En la Ecuación 4 se observa que la
indica
que la diferencia entre la calificación promedio de las SOCAPS que mantienen
sus operaciones y las que cerraron es significativa, y que el puntaje promedio
del grupo de SOCAPS que cerraron es mayor que la calificación promedio de las
SOCAPS que mantuvieron sus operaciones. En este sentido, de acuerdo con el
planteamiento, se espera rechazar la hipótesis nula y aceptar la alternativa,
lo que significaría que la diferencia entre las calificaciones promedio de las
SOCAPS que mantuvieron sus operaciones y las que cerraron es estadísticamente
significativa; y, además, señalaría que la calificación promedio del grupo de
SOCAPS que mantuvo sus operaciones es mayor que las que cerraron. Para aceptar
o rechazar las hipótesis planteadas, de acuerdo con Newbold et al., (2008), se
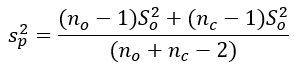
procede a calcular un estimador agrupado común de la varianza poblacional. Este
se estima de acuerdo con la Ecuación 5.
|
|
(5) |
Donde:
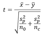
La Ecuación 5 es la que se utiliza para obtener el
,
el cual, se emplea para obtener el estadístico
de
contraste. Para obtener este estadístico se emplea la Ecuación 6 extraída de Newbold
et al., (2008).
|
|
(6) |
Donde:
![]()
.
Una vez obtenido el estadístico
de
contraste, se compara con el valor
crítico
que corresponde a un valor
=
0.05, es decir, del 5 % (es una prueba de una cola) y con grados de libertad
igual a
.
Una vez obtenido el valor
crítico,
se procede a comparar ambos valores de acuerdo con el criterio de decisión
mostrado en la Ecuación 7, el cual, de acuerdo con Newbold et al., (2008),
sirve para aceptar o rechazar la hipótesis nula y la alternativa.
|
|
(7) |
4. Resultados
En la Figura 2, se puede apreciar el número de SOCAPS calificadas por año. En este sentido, se puede apreciar que en el año 2011 (año base 2010) solo se pudieron calificar 50 SOCAPS y este número fue aumentando, debido a que, comenzaron a operar más SOCAPS posterior a esta fecha, lo que ocasiona que se puedan calificar más. También, se observa que para el año 2019 solamente se calificaron 151 SOCAPS, esto porque para este año ya habían cerrado operaciones cinco SOCAPS.
Figura. 2. SOCAPS calificadas por año.

Fuente: Elaboración propia con base en CNBV (2021 a b).
Las 156 SOCAPS que se pudieron analizar, fueron calificadas y clasificadas basándose en el procedimiento descrito en la metodología. Es importante resaltar, que hay años donde hay más SOCAPS que se pudieron calificar (como se aprecia en la Figura 2), por lo cual, no todos los años hay la misma cantidad de SOCAPS evaluadas. De esta manera, por cada año que opero cada SOCAP, se obtuvo una calificación y posteriormente se clasificó a las SOCAPS basándose en su puntaje. En la Figura 3, se presenta una gráfica donde se muestran la clasificación de las SOCAPS por año.
Figura. 3. Gráfica de las SOCAPS clasificadas por año.

Fuente: Elaboración propia.
En la Figura 3, se aprecian las SOCAPS clasificadas cada año basado el puntaje que obtuvieron. En este sentido, en el periodo de 2011 al 2014, el grupo más numeroso es el de las SOCAPS que tuvieron una calificación de cuatro. Por otra parte, en el año 2015 el grupo más numeroso es el de las SOCAPS con calificación de 3 con 37 de ellas. Por otro lado, del año 2016 al 2018, el grupo más numeroso fue el que tuvo un puntaje de cinco. En el año 2019, hay dos grupos que empatan con 40 SOCAPS que es el de la calificación de cuatro y cinco. Algo a resaltar, es que solo hasta el año 2019 una SOCAP consiguió una calificación de ocho (la máxima posible).
4.1. Comparación entre las SOCAPS que cerraron y las que mantuvieron sus operaciones por medio de estadística descriptiva
A continuación, se compararon a las SOCAPS que mantuvieron sus operaciones (46) y las que cerraron durante el periodo de análisis (5). De esta forma, en la Figura 4 se presentan las gráficas de la media, la mediana y, los valores máximos y mínimos de ambos grupos.
Figura. 4. Gráficas de las calificaciones históricas de los grupos de SOCAPS que mantuvieron sus operaciones y de las que cerraron.
|
(a) Calificaciones promedio |
(b) Valores máximos |
|
|
|
|
(c) Valores mínimos |
(d) Medianas |
|
|
|
Fuente: Elaboración propia.
En la Figura 4, se muestra en la gráfica (a) que el grupo de SOCAPS que mantuvo sus operaciones tienen calificaciones promedias más altos que el grupo de SOCAPS que cerró operaciones; esto sucede en todos los años que este último grupo opero (de 2011 a 2017). Asimismo, se debe resaltar que, en el año 2013, la diferencia fue mínima (0.04). Esta superioridad en las calificaciones se repite en los valores máximos (gráfica b); y en la mediana (gráfica d), donde se ve que en todos los años (con excepción del año 2013), la mediana del grupo de SOCAPS que mantuvo operaciones fue más alto. En los valores mínimos (gráfica c), no se aprecia que un grupo domine. Ahora, en la Tabla 6, se presentan las medidas de dispersión de los dos grupos por año.
Tabla. 6. Medidas de dispersión por año del grupo de SOCAPS que mantuvo operaciones y que cerro.
|
Varianza de las calificaciones del grupo de SOCAPS que mantuvo operaciones |
Varianza de las calificaciones del grupo de SOCAPS que cerro |
Coeficiente de variación del grupo de SOCAPS que mantuvo operaciones |
Coeficiente de variación del grupo de SOCAPS que cerro |
Desviación estándar del grupo de SOCAPS que mantuvo operaciones |
Desviación estándar del grupo de SOCAPS que cerro |
|
|
2011 |
1.70 |
4.67 |
31% |
36% |
1.30 |
2.16 |
|
2012 |
2.38 |
4.25 |
41% |
52% |
1.54 |
2.06 |
|
2013 |
2.04 |
2.00 |
35% |
28% |
1.43 |
1.41 |
|
2014 |
1.79 |
6.67 |
31% |
43% |
1.34 |
2.58 |
|
2015 |
1.63 |
0.92 |
36% |
32% |
1.28 |
0.96 |
|
2016 |
1.03 |
0.67 |
25% |
20% |
1.02 |
0.82 |
|
2017 |
1.77 |
3.00 |
30% |
35% |
1.33 |
1.73 |
|
2018 |
1.01 |
22% |
1.00 |
|||
|
2019 |
1.58 |
29% |
1.26 |
Fuente: Elaboración propia.
En la Tabla 6, se aprecian las medidas de dispersión de ambos grupos. En estas se observa que para los dos grupos no hay una gran dispersión entre las calificaciones de las SOCAPS que conforman a cada grupo. Debido a lo anterior, las calificaciones promedio de los dos grupos que se están comparando exhibidas en la Figura 4 (gráfica a) son representativas. Por lo cual, se sustenta que las calificaciones de las SOCAPS que mantuvo operaciones son más altas que las que cerraron. Continuando con el análisis comparativo, se presenta la Tabla 7, en la cual se muestra la calificación total promedio de todas las SOCAPS analizadas, el puntaje total promedio obtenido por el grupo de SOCAPS que mantuvieron operaciones y la calificación promedio del grupo conformado por las SOCAPS que cerraron operaciones.
Tabla. 7. Promedios de calificación de las SOCAPS analizadas.
|
Promedio general de todas las SOCAPS |
Promedio de las SOCAPS que mantuvieron operaciones |
Promedio de las SOCAPS que cerraron |
|
3.98 |
4.16 |
2.85 |
Fuente: Elaboración propia.
En la Tabla 7, se puede apreciar que la calificación promedio general de todas las SOCAPS fue de 3.98. Por su parte, el grupo de SOCAPS que mantuvieron operaciones tiene un promedio por encima de este, siendo de 4.16; mientras que el grupo de SOCAPS que cerraron operaciones fue de 2.85, es decir, está por debajo del promedio general de todas las SOCAPS. Ahora, en la Figura 5, se presenta un gráfico donde se muestran los puntajes promedio de los ocho indicadores que se evalúan para conseguir la calificación de las SOCAPS. Esto para los dos grupos que se están comparando.
Figura. 5. Calificaciones promedio de los indicadores que conforman el puntaje final de los grupos que se están comparando.

Fuente: Elaboración propia.
En la Figura 5, se presentan las
calificaciones promedio de los ocho indicadores de los dos grupos que se están
comparando. Aquí se puede observar que en el grupo de indicadores de
rentabilidad (
y
las
SOCAPS que mantuvieron operaciones, tienen mayor fortaleza que su contraparte
que son las que cerraron operaciones. Esto mismo sucede en los indicadores de liquidez
y eficiencia operativa (
y
,
ya que las SOCAPS que mantuvieron sus operaciones, tiene calificaciones
promedio mayores que las que cerraron operaciones. Por último, en el área de apalancamiento,
liquidez y fuentes de fondos (
y
),
el grupo de las SOCAPS que cerraron tienen una calificación mayor en el
indicador
en
comparación con las que mantuvieron operaciones; pero, en el indicador
,
las SOCAPS que mantuvieron operaciones, tienen en promedio una mayor
calificación que el del grupo que cerraron.
4.2. Prueba de hipótesis
Cómo se indicó en la metodología, se realizó una prueba de
hipótesis para dos medias, poblaciones independientes y con varianzas
desconocidas. Las hipótesis nula (
)
y alternativa
se muestran en la Ecuación 8.
|
|
(8) |
Es importante señalar que, para esta prueba, el grupo de SOCAPS que
cerraron tiene 28 observaciones (son cinco SOCAPS, pero cada una con su propia
temporalidad); mientras que de las que operaron se tienen 414 observaciones (46
SOCAPS, cada una con 9 datos). Asimismo, que las medias que se están usando es
de todas las SOCAPS que pertenecen a cada grupo. Ahora, de acuerdo con lo
señalado en la metodología, se obtuvo el valor del estimador agrupado común de
la varianza poblacional (
),
el cual, tuvo un valor de 1.789. Este valor se utilizó para obtener el valor del
estadístico
de
contraste que obtuvo un valor de 4.994. Una vez conseguido este valor, se
procedió a compararlo con el valor
crítico.
Todos estos valores se exhiben en la Tabla 8, junto con el criterio de
decisión.
Tabla. 8. Valores de la prueba de hipótesis para comparar las medias de las SOCAPS que mantuvieron operaciones y las que cerraron.
|
Valor t de contraste |
Valor t crítico positivo (con
|
Criterio de decisión |
Hipótesis aceptada |
|
4.994 |
1.648 |
|
|
Fuente: Elaboración propia.
En la Tabla 8, se aprecia que el
valor
crítico
es menor que el estadístico
de
contraste, entonces, existen pruebas suficientes para rechazar la hipótesis
nula
y
aceptar la alternativa (
.
Por lo cual, hay razones suficientes para señalar que la diferencia entre las
medias es estadísticamente significativa; y, que la calificación promedio de
las que mantuvieron operaciones es mayor que las que cerraron. Lo anterior,
sustenta lo observado en la sección de estadística descriptiva, de esta manera,
se confirma que las SOCAPS que mantuvieron sus operaciones tiene mayores
calificaciones que aquellas SOCAPS que cerraron durante el periodo de análisis.
4.3. Discusión teórica de los resultados
Las autoridades reguladoras de las SOCAPS de México, utilizan dos clasificaciones para supervisarlas. Por un lado, la CNBV clasifica en cuatro niveles a las SOCAPS de México basándose en el valor de sus activos. Esta influye en los servicios que cada institución ofrece y, también, sirve como mecanismo para proteger los ahorros de sus socios, ya que permite conocer la situación financiera de la SOCAP. Sin embargo, esta clasificación no se aplica a las SOCAPS no autorizadas; instituciones que presentan una gran debilidad financiera y que no pueden acceder a algunos de los mecanismos de protección de ahorro de los que gozan las SOCAPS de los cuatro niveles. Por lo anterior, los ahorros de los socios de estas SOCAPS están expuestos a mayores riesgos (Pérez y Lara, 2016; Pavón, 2016; Figueroa et al., 2016; Campos, 2017; Añorve et al., 2018; LRASCAP, 2019).
Por otra parte, la CNBV también emplea otra clasificación para supervisar a las SOCAPS de los cuatro niveles autorizados para operar. Esta clasificación se basa en el Nivel de Capitalización (NICAP), el cual, es un indicador que para estimarse se utilizan las variables: capital neto y requerimientos total de capital por riesgos. Con base en este indicador, la CNBV clasifica a las SOCAPS de los cuatro niveles en cuatro grupos. Asimismo, lo utiliza para emitir alertas tempranas y medidas preventivas a las SOCAPS de las categorías dos, tres y cuatro; las cuales, se dividen en: medidas correctivas mínimas y medidas correctivas especiales adicionales (CNBV, 2021 b).
Aunque estas dos clasificaciones tienen fortalezas, como la facilidad de aplicarse y de comprenderse, tienen limitaciones. Por un lado, la primera de estas se basa solo en el nivel de los activos (LRASCAP, 2019), lo cual, deja de lado algunas variables, como el origen del capital con el que financian sus activos y, además, excluye a las SOCAPS no autorizadas. Por otra parte, la segunda clasificación, aunque toma otras variables y se desarrolló tomando en consideración las características particulares de las SOCAPS, sigue presentando limitaciones, como dejar de lado las de nivel básico y que toma solo dos variables, descartando otras como las fuentes de los fondos y la eficiencia operativa (CNBV, 2021 b).
Por eso, se propone un nuevo tipo de clasificación más completo basado en una adaptación del F-score de Piotroski (2000) para las SOCAPS de México. Por medio de esta adaptación del F-score, se obtendrá una calificación que va de cero a ocho. Donde cero es la calificación más baja que la SOCAP puede tener y que refleja una gran debilidad financiera; y, ocho el máximo puntaje que una de estas instituciones pueden tener. Usando esta calificación que refleja la fortaleza financiera de la SOCAPS, se pueden clasificar a las SOCAPS de los cuatro niveles y las de nivel básico. Con esta adaptación se clasificarían a las SOCAPS en nueve niveles que van de cero a ocho.
Una de las ventajas de esta metodología, es que al usar
esta adaptación se estaría realizando un análisis más completo en comparación a
los empleados actualmente. Esto porque la adaptación del F-score de Piotroski
al igual que su versión original, estaría analizando tres áreas de las SOCAPS,
que son: rentabilidad; apalancamiento, liquidez y fuentes de fondos; y,
liquidez y eficiencia operativa. De esta forma, las señales de rentabilidad que
se analizan son: Return On Assets
;
el Cash Flow From Operation
;
la variación de la
;
y,
.
Con relación a las variables que estudian el apalancamiento, la liquidez y las
fuentes de fondos, están
y
.
Finalmente, en cuanto a las variables que examinan la liquidez y la eficiencia
operativa o desempeño financiero, se encuentran:
y
.
De esta manera, al aplicar la metodología propuesta para clasificar a las SOCAPS de México se encontró que, de las 156 SOCAPS evaluadas, cinco cerraron operaciones en el periodo de estudio. La metodología permitió clasificar a la muestra del análisis en nueve grupos, los cuales, permitieron detectar algunos grupos de interés para analizar. En esta línea, de estos grupos de SOCAPS detectados, dos se analizaron a profundidad y se compararon, que son: las SOCAPS que mantuvieron sus operaciones durante el periodo de análisis y las SOCAPS que cerraron. Esto permitió determinar que las SOCAPS del primer grupo tienen en todos los años mayores calificaciones promedio (es decir, mayor fortaleza financiera), que el grupo de las SOCAPS que cerraron. Esto se repitió con los valores máximos y en las medianas (en la mediana, solo en el año 2013, fue mayor la del grupo de SOCAPS que cerro).
Por otra parte, las medidas de tendencia central de los dos grupos que se están comparando, señalan que las medias analizadas son válidas y representativas, debido a que las calificaciones de ambos grupos no están tan dispersas. Lo que sustenta el análisis realizado a estas. De esta forma, se procedió a comparar la calificación promedio del grupo de SOCAPS que mantuvieron sus operaciones con el puntaje promedio del grupo de SOCAPS que cerró. Con lo que se encontró que el grupo de SOCAPS que mantuvo operaciones obtuvo una calificación promedio de 4.16, mientras que el grupo de las SOCAPS que cerraron fue de 2.85. Asimismo, estas dos calificaciones promedio se compararon con el puntaje promedio global de todas las SOCAPS; los resultados mostraron que el grupo conformado por SOCAPS que mantuvieron sus operaciones, está por encima del promedio global de todas las SOCAPS, el cual fue de 3.98; mientras que el grupo de SOCAPS que cerró está por debajo de este promedio.
Continuando con el análisis descriptivo, al comparar los
promedios de los ocho indicares que conforman la calificación, se encontró que
las SOCAPS que se mantuvieron en operación tienen mayores calificaciones en los
indicadores de rentabilidad y, de liquidez y eficiencia operativa o desempeño
financiero. Sin embargo, en el indicador de apalancamiento, liquidez y fuentes
de fondos se observó que el grupo de SOCAPS que cerró tiene en promedio mayores
calificaciones en uno de los dos indicadores (en el otro indicador de esta
área, tienen menor puntaje que las SOCAPS que mantuvieron sus operaciones).
Esto es resultado, de que las SOCAPS que cerraron habían logrado mejorar su
deuda a largo plazo (
,
pero, al no tener un sólido desempeño en las áreas de rentabilidad y, de
liquidez y eficiencia operativa, no tuvieron la solvencia requerida para
continuar operando.
Para sustentar los hallazgos y el análisis realizado por medio de la estadística descriptiva, se realizó una prueba de hipótesis para comparar las medias totales de los dos grupos analizados. Los resultados señalan que sí hay una diferencia estadísticamente significativa entre las medias de los dos grupos, y, se confirmó que el promedio de las SOCAPS que mantuvieron sus operaciones es más alto que el grupo de SOCAPS que cerraron. Es decir, se encontró evidencia estadística suficiente para señalar que el grupo de SOCAPS que ha mantenido sus operaciones por más tiempo, tienen calificaciones más altas que aquellas SOCAPS que cerraron. De esta manera, se confirma y sustenta los resultados mostrados y, el análisis realizado.
Es así que, la metodología propuesta en esta investigación permitió realizar un diagnóstico financiero de tres áreas de las SOCAPS y, con base en esto, clasificarlas; algo que los actuales métodos para supervisar y clasificar a las SOCAPS no hacen, ya que se basan solo en una variable o un área, excluyendo otras. En este sentido, la metodología propuesta señala que aquellas SOCAPS que han permanecido operando han logrado manejar de forma exitosa dos de las tres áreas que se analizaron (la única área donde solo destacaron en un indicador de los dos que se analizan es la de apalancamiento, liquidez y fuentes de fondos); esto se ve reflejado en que el grupo de SOCAPS que mantuvieron sus operaciones tienen calificaciones más altas. Lo anterior, muestra que la metodología propuesta permitió detectar las áreas de debilidad de las SOCAPS analizadas, así como las características de las SOCAPS que mantuvieron sus operaciones con mayor temporalidad.
En este punto se debe destacar que las SOCAPS analizadas pertenecen a los cuatro niveles en los que se clasifican las SOCAPS; es decir, son de las SOCAPS autorizadas y que, además, son las que tienen mayor fortaleza financiera en comparación con las de nivel básico. Por lo cual, quedaron excluidas estas últimas, que se caracterizan por tener una menor fortaleza financiera (Figueroa et al., 2016; Pérez y Lara, 2016; Pavón, 2016; Campos, 2017; Añorve et al., 2018; LRASCAP, 2019; CNBV 2021 a b).
Es así que, los resultados obtenidos muestran que, al usar la metodología propuesta para clasificar a las SOCAPS, se puede realizar también un diagnóstico financiero más completo de las SOCAPS que los que se obtienen por los métodos usados actualmente por la CNBV (2021 b). Esto último coincide con lo encontrado por diversas investigaciones, que han concluido entre otras cosas que, los sistemas de diagnósticos existentes no toman en consideración toda la información relevante, que se explica por la falta de información y omisiones (García-Gutierréz, 2000; Gómez-Limón et al., 2003; Marí, 2006; Marín y Mari, 2006; Sanchis y Campos, 2007; Istillarte et al., 2008; Belmonte y Plaza, 2008; Pozuelo et al., 2012; Pavón, 2016; Cabaleiro e Iglesias, 2016; Campos, 2017; Villegas et al., 2017; Lara et al., 2017; Altamirano et al., 2018; Añorve et al., 2018; Ruiz, 2018; Díaz-Peña, 2019; LGSC, 2019; LRASCAP, 2019).
5. Conclusiones
El objetivo de esta investigación fue proponer una nueva metodología para la clasificación de las Sociedades Cooperativas de Ahorro y Préstamo (SOCAPS) de México que refleje de manera más eficiente su situación financiera, con la finalidad de que los ahorradores y el organismo supervisor del sector cuenten con información más confiable acerca de su solidez, y, de esta manera, el ahorro de los usuarios de estas entidades se encuentre más protegido. Para este fin, se desarrolló una metodología para clasificar a las SOCAPS de México. Esta metodología se basa en una adaptación que se realizó del F-score de Piotroski al contexto de las SOCAPS de México. Esta propuesta califica a la SOCAP evaluada de cero a ocho, donde cero, es el nivel más bajo (señalando una mayor debilidad financiera) y ocho indica una gran fortaleza financiera (la máxima calificación que la SOCAP puede tener). Una ventaja de esta propuesta en comparación a la que utiliza la CNBV (2021 b), es que no se basa en un solo indicador, sino que la propuesta examina ocho indicadores que abarcan tres áreas de las SOCAPS, que son: rentabilidad; apalancamiento, liquidez y fuentes de fondos; y, liquidez y eficiencia operativa.
Con esta metodología, se procedió a clasificar en nueve grupos a las 156 SOCAPS que se pudieron analizar. La clasificación por año mostró que solo una SOCAP en el año 2019 obtuvo una calificación de ocho (la máxima posible). Una vez clasificadas las SOCAPS con base en la adaptación del F-score de Piotroski, se identificaron dos grupos de interés para validar esta propuesta: SOCAPS que operaron de 2010 a 2019 y las que cerraron operaciones. Es importante añadir, que el año 2010 es el año base, por lo cual, se calificaron únicamente de 2011 a 2019.
De la comparación se obtuvo que año con año, la calificación promedio del grupo de SOCAPS que mantuvieron sus operaciones, fue superior al de las SOCAPS que cerraron. Esto también se encontró con los valores máximos obtenido año con año. También, al comparar la calificación promedio (de todos los años y de todas las SOCAPS que conforman cada grupo) de todas las SOCAPS, con las que mantuvieron sus operaciones y, con las que cerraron. Se halló que el grupo de SOCAPS que mantuvo sus operaciones está por encima del promedio total, mientras que del grupo de SOCAPS que cerraron, está por debajo del promedio total.
Asimismo, los resultados de aplicar la metodología propuesta y analizar los promedios de los ocho indicadores, permitieron determinar que el grupo de SOCAPS que mantuvieron operaciones tienen un mejor desempeño en las áreas de rentabilidad y de desempeño financiero en comparación con las que cerraron. Mientras que, en uno de los dos indicadores de apalancamiento (deuda a largo plazo), las SOCAPS que cerraron mostraron mejor desempeño. Por otra parte, en el indicador del índice de liquidez, que está dentro del área que examina el apalancamiento, las SOCAPS que cerraron tienen un menor desempeño que las que mantuvieron sus operaciones.
Lo anterior, se sustentó por medio de una prueba de hipótesis para comparar medias. Los resultados de esta prueba señalan que si hay diferencias estadísticamente significativas entre la media del grupo de SOCAPS que mantuvieron sus operaciones y del grupo de SOCAPS que cerraron. Asimismo, que las calificaciones del grupo de SOCAPS que mantuvieron sus operaciones es más alto que el grupo de SOCAPS que cerro. De esta manera, se confirmó el análisis realizado por medio de la estadística descriptiva a estos grupos.
De tal forma, los resultados muestran que la metodología propuesta para clasificar a las SOCAPS que se basa en medir la fortaleza financiera funciona mediante la evaluación de tres áreas relacionadas con su situación financiera. Asimismo, esta metodología sirve para detectar focos rojos y prevenir la quiebra o el cierre de las SOCAPS que terminaría por afectar a sus socios. Con base en lo expuesto, se concluye que se alcanzó el objetivo planteado.
Algunas limitaciones del estudio son que la metodología propuesta de clasificación solo se basa no contempla las características cualitativas, que permitan evaluar la dimensión social de las SOCAPS, entre ellas, medir el cumplimiento del fin social o de los principios cooperativos de las SOCAPS. Una forma de hacerlo, es complementar la metodología propuesta por medio de los balances sociales cooperativos, que contribuyan a que se tome en cuenta esta dimensión de la SOCAP. Otra limitación de la investigación, es que únicamente se examinaron las SOCAPS autorizadas para operar, lo que deja de lado las de nivel básico.
Por último, se sugiere utilizar la metodología propuesta en las SOCAPS de nivel básico, ya que, en este estudio, quedaron excluidas por falta de información; así como identificar las posibles medidas prudenciales que puedan asociarse a cada calificación, con fines de supervisión y garantizar la sostenibilidad del sector.
6. Referencias bibliográficas
Alfaro, L. N. (1999) Sostenibilidad y alcance en instituciones financieras de desarrollo para la micro y pequeña empresa: un modelo aplicado a tres casos de estudio. San José, Costa Rica: INCAE, Centro de Políticas.
Altamirano Salazar, A., Cruz Guevara, M., Villalba Villavicencio, N., e Ipiales Paredes, K. (2018) Modelo de diagnóstico para medir el desempeño financiero en las cooperativas de ahorro y crédito del Ecuador. Revista de Investigación en Modelos Financieros, Vol. 1, pp. 124-146. ISSN: 2250-687X, o, ISSN: 2250-6861.
Andrews, A. M. (2015) Investigación sobre Capital Cooperativo. Madison, WI: Alianza Cooperativa Internacional.
Añorve Fonseca, N. N., Agatón Lorenzo, D., y Cruz Vicente, M. Á. (2018) Opción financiera, la presencia de las sociedades cooperativas de ahorro y préstamo en el estado de Guerrero, 2015-2017. Dinámica económica y procesos de innovación en el desarrollo regional A.C, NA. ISBN UNAM: 978-607-30-0000-0.
Banco de México (2015) El sistema financiero mexicano, Cátedra Banco de México. México: Banco de México.
Banco de México (2021) Índices de Precios al Consumidor y UDIS, Valores de UDIS. México. Fecha de consulta: 31 de enero de 2021. Extraído de: https://www.banxico.org.mx/SieInternet/consultarDirectorioInternetAction.do?sector=8&accion=consultarCuadro&idCuadro=CP150&locale=es.
Bardswick, K., Suee, T., Ting, Ch., Roelants, B., Lowery, F., Hampel, B., Schatz, W., Kuijpers, A., Groeneveld, H., Bancel, J., Hunt, P., Ombado, G., Shadbolt, N., y Duncan, A. (2017) The Capital Conundrum for Co-operatives. Brussels-Belgium: International Co-operative Alliance.
Basilea III (2017) Basilea III: Marco regulador global para reforzar los bancos y sistemas bancarios. 2017. Basilea, Suiza: Banco de pagos internacionales. Comité de Supervisión Bancaria de Basilea. ISBN: 92-9131-571-0 o 92-9197-571-0.
Belmonte Ureña, L. J., y Plaza Úbeda, J. A. (2008) Análisis de la eficiencia en las cooperativas de crédito en España. Una propuesta metodológica basada en el análisis envolvente de datos (DEA). CIRIEC-España, Revista de Economía Pública, Social y Cooperativa, Nº 63, pp. 113-133. ISSN: 0213-8093.
Cabaleiro Casal, M. J., e Iglesias Malvido, C. (2016) La utilidad del excedente para el análisis de la información financiera en las sociedades cooperativas. REVESCO. Revista de Estudios Cooperativos, Tercer Cuatrimestre, Nº 122, pp. 34-58. DOI: http://dx.doi.org/10.5209/REVE.52985.
Campos, P. (2017) Inclusión financiera de pequeños productores rurales: estudio de caso en México. Ciudad de México: Naciones Unidas, Comisión Económica para América Latina y el Caribe (CEPAL).
Chakraborty, A. (2019) Impact of F score on p/e ratio: a study on indian pharma companies. Asia Pacific Journal of Research, Vol. 1, pp. 67-84. ISSN: 2320-5504, o, ISSN: 2347-4793.
Cobián Puebla, A., y Campos López, S. E. (2020) Una aproximación a los factores sociales en la elaboración del balance social en el sector cooperativo de ahorro y préstamo mexicano. Revista Visión Contable, Nº 21, pp. 102-119. ISSN: 2539-0104.
Comisión Nacional Bancaria y de Valores (2021 a) Portafolio de información, Estados financieros: condensados. México. Fecha de consulta: 27 de enero de 2021, 6:44 pm. Extraído de: http://portafoliodeinformacion.cnbv.gob.mx/eacp1/Paginas/sc_infosituacion.aspx.
Comisión Nacional Bancaria y de Valores (2021 b) Portafolio de información, Información de capitalización, Información de capitalización y alertas tempranas: sociedades cooperativas de ahorro y préstamo. México. Fecha de consulta: 27 de enero de 2021, 6:44 pm. Extraído de: http://portafoliodeinformacion.cnbv.gob.mx/eacp1/Paginas/sc_alertas.aspx.
Comisión Nacional Bancaria y de Valores (2021 c) Panorama anual de inclusión financiera con datos al cierre de 2020. México: Comisión Nacional Bancaria y de Valores (CNVB).
Cruz Lázaro, L.M.; Pérez Sosa, F.A. (2020) Análisis del impacto de las reformas financieras de 2014 en las sociedades cooperativas de ahorro y préstamo de México. REVESCO. Revista de Estudios Cooperativos, vol. 135, e69190. https://dx.doi.org/10.5209/reve.69190.
Cruz Lázaro, L.M.; Pérez Sosa, F.A. (2020) Evaluación de la estructura de capital de las Sociedades Cooperativas de Ahorro y Préstamo de México. REVESCO. Revista de Estudios Cooperativos, vol. 136, e71858. https://dx.doi.org/10.5209/reve.71858.
De Sárraga, A., y Spalding, C. (2002) Disciplinas financieras para Cooperativas de Ahorro y Crédito. Panamá: Confederación Latinoamericana de Cooperativas de Ahorro y Crédito. ISBN: 978-9962-8828-1-7.
Díaz-Peña, L. (2019) Responsabilidad social en las cooperativas financieras: casos Caja Popular Mexicana y Caja Depac Poblana. Gestión y estrategia, Nº 56, pp. 51-72. ISSN: 1606-8459.
Dorantes Dosamantes, C. A. (2013) The Relevance of Using Accounting Fundamentals in the Mexican Stock Market. Journal of Economics, Finance and Administrative Science, Vol. 18, pp. 2-10. DOI: https://doi.org/10.1016/S2077-1886(13)70024-6.
Eremenko, E., (2017) Quantitative Fundamentals. Application of Piotroski F-Score on non-US markets. WorldQuant University, pp. 1-18. SSRN: https://ssrn.com/abstract=3262154, y, DOI: http://dx.doi.org/10.2139/ssrn.3262154.
Figueroa Hernández, E., Godínez Montoya, L., Espinosa Torres, L., y Ramírez Abarca, O. (2016) Las Sociedades de ahorro y crédito popular de México. ECORFAN Matemáticas Aplicadas a la Economía, Vol. 1, pp. 144-156. ISBN: 978-607-8324-63-7.
Figueroa, L., y Magaña, D. (2018) Las sociedades cooperativas de ahorro y préstamo en México, la teoría de la empresa alternativa, social y pluralista (stakeholder). Alegatos, Nº 99, pp. 269-286.
García-Gutierréz Fernández, C. (2000) Análisis de la solvencia y del riesgo económico-financiero de la sociedad cooperativa. El riesgo sobre la rentabilidad de los socios. REVESCO. Revista de Estudios Cooperativos, Nº 72, pp. 51-86. ISSN: 1135-6618.
Gómez-Limón Rodríguez, J. A., Casquet Morate, E., y Atance Muñiz, I. I. (2003) Análisis económico-financiero de las cooperativas agrarias en Castilla y León. CIRIEC-España, Revista de Economía Pública, Social y Cooperativa, Nº 46, pp. 151-189.
Hyde, C. (2013) An Emerging Markets Analysis of the Piotroski F Score. Metisq Capital, pp. 1-20. SSRN: https://ssrn.com/abstract=2274516, y, DOI: http://dx.doi.org/10.2139/ssrn.2274516.
Instituto Nacional de Estadística y Geografía (2021) Índice Nacional de Precios al Consumidor (INPC). México. Fecha de consulta: febrero de 2021. Extraído de https://www.inegi.org.mx/app/tabulados/default.aspx?nc=ca55_2018.
Istillarte, L., Laguado, S., y Borjas, C. (2008) Administración del Capital de Trabajo en Cooperativas Hoteleras en Venezuela. Un Caso de Estudio. MULTICIENCIAS, Vol. 8, Nº 2, pp. 183-189. ISSN: 1317-2255.
Jeong, Taegyu y Kim, Kyuhyong (2019) Effectiveness of F-SCORE on the Loser Following Online Portfolio Strategy in the Korean Value Stocks Portfolio. American Journal of Theoretical and Applied Business, Vol. 5, Nº 1, pp. 1-13. DOI: 10.11648/j.ajtab.20190501.11.
Jiang, F., Jin, F., y Tang, G. (2020) Dissecting the effectiveness of firm financial strength in predicting Chinese stock market. Finance Research Letters, enero 2020, Vol. 32, pp. 1-6. DOI: https://doi.org/10.1016/j.frl.2019.101332.
Kim, S., y Lee, C. (2014) Implementability of trading strategies based on accounting information: Piotroski (2000) revisited. European Accounting Review, Vol. 23, pp. 553-558. DOI: https://doi.org/10.1080/09638180.2014.921217.
Krauss, C., Krüger, T., y Beerstecher, D. (2015) The Piotroski F-Score: A fundamental value strategy revisited from an investor's perspective. IWQW Discussion Papers, No. 13/2015, Friedrich-Alexander-Universität Erlangen-Nürnberg, Institut für Wirtschaftspolitik und Quantitative Wirtschaftsforschung (IWQW), Nürnberg, pp.1-36. ISSN: 1867-6707.
Lara Gómez, G., Pérez Sosa, F. A., y Hurtado Maldonado, J. (2017) Finanzas Populares en México. Primera edición. México: Fontamara.
Lara Gómez, G., y Rico Hernández, A. (2011) La contribución de las cooperativas de ahorro y crédito al desarrollo local en Querétaro, México. REVESCO. Revista de Estudios Cooperativos, Tercer Cuatrimestre, Nº 106, pp. 121-149. ISSN: 1885-8031, y, DOI: https://doi.org/10.5209/rev_REVE.2011.v106.37376.
Lara Gómez, G., y Urbiola Solís, A. E. (2009) Estrategias de perennidad en una cooperativa de ahorro y préstamo. Segundo Foro UAM para el estudio de la micro, pequeña y mediana empresa, México, Distrito Federal, pp. 1-25.
Ley General de Sociedades Cooperativas (2019) Diario Oficial de la Federación, H. Congreso de la Unión. Recuperado de http://www.diputados.gob.mx/LeyesBiblio/pdf/143_190118.pdf.
Ley para Regular las Actividades de las Sociedades Cooperativas de Ahorro y Préstamo (2019) Diario Oficial de la Federación, H. Congreso de la Unión.
Marí Vidal, S. (2006) Efectos de la aplicación de la CNNNF 2 en las cooperativas. Un estudio empírico en dos cooperativas citrícolas de la Comunidad Valenciana a través del análisis económico - financiero. REVESCO. Revista de Estudios Cooperativos, Segundo Cuatrimestre, Nº 89, pp. 84-107.
Marín Sánchez, M. y Mari Vidal, S. (2006) Análisis de la información económico-financiera generada por el Fondo de Educación y Promoción Cooperativa en el marco de las Normas Internacionales de Información Financiera. XX Congreso Anual de AEDEM. Palma de Mallorca, 5 a 7 de junio 2006, pp. 745-755.
Mongrut, S., Fuenzalida, D., Pezo, G., y Teply, Z. (2010) Explorando teorías de estructura de capital en Latinoamérica. Cuadernos de administración, Vol. 23, Nº 41, pp. 163-184. ISSN: 0120-3592.
Montegut, Y., Sabaté, P., y Clop, M. (2002) Análisis económico-financiero de las cooperativas agrarias productoras de aceite de oliva de la «D.O. Garrigues» (Lleida, España). Investigación agraria. Producción y protección vegetales, Vol. 17, Nº 3, pp. 423-440.
Newbold, P., Carlson, W. y Thorne, B. (2008) Estadística para administración y Economía. Sexta edición. Madrid, España: Pearson Educación.
Pavón Cuéllar, L. I. (2016) Inclusión financiera de las pymes en el Ecuador y México. Naciones Unidas, Santiago: Publicación de las Naciones Unidas, CEPAL. ISSN: 1564-4197.
Pérez Sosa, F. A., y Lara Gómez, G. (2016) Retos y oportunidades del Sector Financiero Popular (SFP) en México: un enfoque desde la economía social. CIRIEC, XVI Congreso de Investigadores en Economía Social y Cooperativa. Economía Social: crecimiento económico y bienestar, pp. 1-21.
Piotroski, J. D. (2000) Value Investing: The Use of Historical Financial Statement Information to Separate Winners from Losers. Journal of Accounting Research, Vol. 38, pp.1-41. DOI: https://doi.org/10.2307/2672906.
Pozuelo Campillo, J., Carmona Ibáñez, P., y Martínez Vargas, J. (2012) Las sociedades cooperativas y las empresas capitalistas en la Comunidad Valenciana: análisis comparado de su estructura económica y financiera. CIRIEC-España, Revista de Economía Pública, Social y Cooperativa, Nº 74, pp. 117-147. ISSN: 0213-8093.
Rodríguez, A., y Dorantes, P. M. (2016) La reciente reforma financiera en México: Transformaciones y perspectivas. ECONOMÍAunam, Vol. 13, Nº 37, pp. 89-106. ISSN:1665-952x.
Rojas Herrera, J. J. (2012) Cooperativas de ahorro y préstamo en México De la ausencia al exceso de regulación. Revista MBS, Nº 2, pp. 67-86. ISSN 2253-9549.
Ruiz Aguilar, M. A. (2018) Entidades de fomento y financiamiento para el desarrollo económico en México, 2010: un análisis del sector. UNIVERSCIENCIA, Nº 49, pp. 87-100. ISSN: 1665-6830.
Sabaté Prats, P., Sabi Marcamo, X., y Saladrigues Solé, R. (2000) Cooperativas versus sociedades mercantiles. El sector frutero en Lleida. CIRIEC-España, Revista de Economía Pública, Social y Cooperativa, Nº 34, pp. 51-70. ISSN: 0213-8093.
Sanchis Palacio, J. R., y Campos Climent, V. (2007) La Dirección Estratégica en la Economía Social: utilización de herramientas de análisis estratégico en las Cooperativas. CIRIEC-España, Revista de Economía Pública, Social y Cooperativa, Nº 59, pp. 237-258. ISSN: 0213-8093.
Sanchis Palacio, J. R., y Pascual García, E. (2017) Banca ética y banca cooperativa. Un análisis comparativo a través del estudio de Caixa Popular y de Fiare Banca Ética. REVESCO. Revista de Estudios Cooperativos, Nº 124, pp. 152-174. DOI: 10.5209/REVE.54921.
Sanchis, J. R., y Campos Climent, V. (2018) Economía del Bien Común y finanzas éticas. CIRIEC-España, Revista de Economía Pública, Social y Cooperativa, Nº 59, pp. 241-264. DOI: 10.7203/CIRIEC-E.93.11012.
Sanchis, J. R., y Rodríguez, S. (2018) Responsabilidad social empresarial en banca. Su aplicación al caso de la banca cooperativa. REVESCO. Revista de Estudios Cooperativos, Primer Cuatrimestre, Nº 127, pp. 204-227. DOI: 10.5209/REVE.59771.
Seguí-Mas, E., y Server Izquierdo, R. J. (2010) Caracterización del Business capital de las cooperativas de crédito a través del análisis DELPHI. REVESCO. Revista de Estudios Cooperativos, Tercer Cuatrimestre, Nº 103, pp. 101-122. ISSN: 1885-8031.
Shyam-Sunder, L., y Myers, S. C. (1999) Testing static tradeoff against pecking order models of capital structure. Journal of financial economics, Vol. 51, Nº 2, pp. 219-244. DOI. https://doi.org/10.1016/S0304-405X(98)00051-8.
Silva, A., y Ramos, C. (2017) La importancia del Sector de las Finanzas Populares en México y la viabilidad de su transformación 2017. México: Universidad Anahuac.
Simón Domínguez, N., Villegas Hernández, E., y Ortega Ochoa, R. M. (2008) Viabilidad de las cooperativas de ahorro y préstamo, el caso del sistema coopera. Denarius, Nº 16, pp. 79-108.
Villegas Hernández, E., Ortega Ochoa, R. M., y Cornejo López, R. A. (2017) Las coberturas cambiarias como medio para reducir el riesgo cambiario y reducir el costo de financiamiento para la MiPYME. XV Coloquio Internacional de Análisis Organizacional, Quince años de compartir en nuestros congresos el conocimiento del análisis organizacional. Las Organizaciones en América Latina y Los Nuevos Entornos Internacionales. ¿Qué alternativas construir para el desarrollo territorial y regional?, 25 al 27 de octubre de 2017, pp. 1-32.
[1] Escuela de Negocios del Tecnológico de Monterrey, México.
Dirección de correo electrónico: f.perez@tec.mx.
[2] Universidad Autónoma de Querétaro, México.
Dirección de correo electrónico: corintio29@hotmail.com.