ISSN: 1885-8031
https://dx.doi.org/10.5209/REVE.71858
Evaluación de la estructura de capital de las Sociedades Cooperativas de Ahorro y Préstamo de México
Luis Miguel Cruz Lázaro[1]
y Felipe Abelardo Pérez Sosa[2]![]()
Recibido: 25 de mayo de 2020 / Aceptado: 8 de junio de 2020 / Publicado: 16 de noviembre de 2020
Resumen. El objetivo del trabajo es determinar si las Sociedades Cooperativas de Ahorro y Préstamo de México (SOCAPS) obedecen a la teoría de la jerarquización financiera, cómo toman sus decisiones de financiamiento y cuáles son las posibles consecuencias de ello. Para este fin, se propuso un modelo hipotético, basado en la teoría de la jerarquización financiera y tomando en consideración las restricciones que tienen las SOCAPS; el cual, se contrastó con las decisiones de financiamiento de una muestra de 34 Sociedades Cooperativas de Ahorro y Préstamo de México, a través de la interpretación de las betas estandarizadas obtenidas mediante el análisis de regresión múltiple. De esta forma, se hallaron en las SOCAPS once distintos criterios de financiamiento, de los cuales, uno obedece a la teoría de la jerarquización. Asimismo, se encontró que la fuente de financiamiento principal de las SOCAPS son los fondos internos, seguida de los préstamos bancarios y de otros organismos. Con esto, se concluyó que los criterios de financiamiento de las entidades analizadas las protege de varios riesgos, como el exceso de apalancamiento, pero, al mismo tiempo, limitan sus posibilidades de crecimiento.
Palabras clave: Fuentes de financiamiento; Teoría del orden jerárquico; Decisiones de financiamiento; Ahorro y crédito popular; Crédito cooperativo.
Claves Econlit: G32; G21; G29; G51.
[en] Evaluation of the capital structure of the Cooperative Societies of Savings and Loans of Mexico
Abstract. The aim of this work is to determine whether or not the Cooperative Savings and Loan Societies of Mexico (SOCAPS) obey the theory of financial hierarchy, how they make their financing decisions and what are the possible consequences of this. To this end, a hypothetical model was proposed, based on the theory of financial hierarchy and taking into account the restrictions that SOCAPS have; this model was compared with the financing decisions of a sample of 34 Cooperative Savings and Loan Societies of Mexico, through the interpretation of the standardized betas obtained with the multiple regression analysis. Thus, eleven different financing criteria were found in the SOCAPS, of which one obeys the hierarchical theory. Likewise, it was found that the main source of financing for SOCAPS is internal funds, followed by bank loans and loans from other organizations. With this, it was concluded that the financing criteria of the analyzed entities protects them from many risks, such as excess leverage, but, at the same time, they limit their growth possibilities.
Keywords: Financing sources; Hierarchical order theory; Financing decisions; Savings and popular credit; Cooperative credit.
Sumario. 1. Introducción. 2. Marco teórico. 3. Metodología. 4. Resultados. 5. Conclusiones. 6. Referencias bibliográficas.
Cómo citar. Cruz Lázaro, L.M.; Pérez Sosa, F.A. (2020) Evaluación de la estructura de capital de las Sociedades Cooperativas de Ahorro y Préstamo de México. REVESCO. Revista de Estudios Cooperativos, vol. 136, e71858. https://dx.doi.org/10.5209/reve.71858.
1. Introducción
La administración de los recursos financieros de las cooperativas es un asunto de alta relevancia, especialmente para las dedicadas a brindar servicios de ahorro y préstamo, ya que es lo que sostiene sus operaciones. Es así, que cuando el financiamiento es insuficiente, a causa de restricciones legales o por las mismas prácticas de las cooperativas, estas pueden dejar de crecer, o incluso cerrar (Andrews, 2015). De esta forma, las sociedades cooperativas se encuentran limitadas en cuanto a sus opciones de financiamiento, ya que su actividad consiste en la búsqueda de un objetivo social y se basan en una serie de principios y regulaciones particulares.
Ejemplo de ello es que en las cooperativas cada socio tiene derecho a un voto, sin importar la aportación que haya realizado la persona; esto es, que cada uno influye en las decisiones referentes a la administración de los recursos de la cooperativa, entre ellas, qué hacer con los excedentes contables. También, que cada socio tiene una relación especial con la cooperativa, ya sea como cliente o proveedor de recursos (Cabaleiro e Iglesias, 2016; Dow, 2003; García-Gutierréz, 2000; Zubiaurre et al., 2016; Gómez y Miranda, 2006; González y Lamorou, 2016; Gómez, 2003; Andrews, 2015; Mateos, 2010; Pozuelo et al., 2012; Masa et al., 2016; Bel y Fernández, 2002). Esto ha dado como resultado a que las cooperativas sean organizaciones con la capacidad de cambiar la vida de millones de personas que se encuentran en situaciones de pobreza; al alentar el emprendimiento a través de actividades económicas y sociales que ayudan al desarrollo de las economías locales; así como en la generación de empleo y riqueza (Lara, 2018; Chamú y Torres, 2018; Añorve et al., 2018).
De tal forma, uno de los retos a los que se enfrentan las cooperativas son las restricciones en el acceso a un mayor financiamiento; ocasionadas, en parte, a las características propias de las cooperativas y a su normatividad (Zubiaurre et al., 2016; Gómez y Miranda, 2006; González y Lamorou, 2016; Gómez, 2003; Masa et al., 2016). Lo cual, incide en sus opciones de financiamiento y en las decisiones que las sociedades cooperativas deben tomar para encontrar la mejor mezcla de opciones de financiación, es decir, su estructura óptima de capital.
Sobre las decisiones de financiamiento que influyen en la estructura de capital, existen dos propuestas teóricas que surgen del estudio de las empresas capitalistas: la teoría del orden jerárquico y la teoría del Trade off. La primera, propone que una empresa prioriza sus fuentes de financiamiento, siendo su principal fuente los fondos internos; posteriormente, la contratación de deuda; y, en última instancia, la emisión de acciones. Por su parte, la teoría del Trade off, postula que una empresa busca un balance entre sus beneficios y el costo de la deuda (Jensen y Meckling, 1976; Herrera-Echeverri, 2018; Mongrut et al., 2010; Arias et al., 2009; Fama y French, 2002; Berumen et al., 2012; Zambrano y Acuña, 2011; Vargas y Castellanos, 2014).
Dentro de los estudios que se han realizado a partir de estas propuestas, se encuentra el determinar cuál de estas dos teorías presentadas es la que predomina en las empresas de los países que pertenecen al G-7; así como estudios que realizan comparaciones entre los países del G-7 y los de América Latina, para identificar si existen diferencias en la aplicación de los modelos; así como investigaciones entre los países de la región de América Latina, con el objeto de establecer las diferencias que hay entre estos respecto a la adopción de los dos modelos; y, de esta forma, tratar de establecer los factores que intervienen en la decisión de la estructura de capital (Valcacer et al., 2017; Rajan y Zingales, 1995; Atkin y Glen 1992; Mongrut et al., 2010; Pérez et al., 2019; Handoo y Sharma, 2014; Ramírez y Castillo, 2016; Ramli et al., 2019; Gaytán et al., 2016). La importancia de estos estudios es que permiten clasificar y determinar los riesgos financieros a los que se exponen las empresas, como resultado de sus decisiones de financiamiento y apalancamiento (Gaytán et al., 2016; Herrera-Echeverri, 2018; Berumen et al., 2012; González y Lamorou, 2016).
En este sentido, se han encontrado y documentado las distintas problemáticas que tienen las sociedades cooperativas en varias partes del mundo para la obtención de recursos con el fin de financiar sus operaciones, entre los que se encuentran: que en comparación con sus competidores, la rentabilidad que ofrecen las sociedades cooperativas no es tan atractiva; que cualquier forma de financiación se debe adherir a los principios cooperativos; y, las limitaciones surgidas de su figura jurídica. Estas complicaciones para la obtención de recursos financieros se pueden englobar en dos corrientes: por un lado, los obstáculos para obtener recursos propios; y, por otro, sus dificultades para operar y conseguir recursos de los mercados de capitales. Es por ello, que en los diversos países donde existen figuras jurídicas del cooperativismo, los gobiernos proponen diversos mecanismos o instrumentos que permitan a las sociedades cooperativas obtener recursos para sus operaciones. Asimismo, diversos investigadores han propuesto instrumentos que ayuden a las cooperativas a financiarse y, en algunas ocasiones, los gobiernos han tratado de implementar estas iniciativas. Algunos ejemplos de estas propuestas son los títulos participativos, los títulos subordinados a reembolso, los certificados cooperativos de inversión y las partes sociales (Gómez y Miranda, 2006; Gómez, 2003; Andrews, 2015; Bel y Fernández, 2002).
En cuanto a México, existen distintos tipos de sociedades cooperativas, cada una con sus propias particularidades. Una de ellas, que son el objeto del presente trabajo, son las Sociedades Cooperativas de Ahorro y Préstamos (SOCAPS), las cuales, tienen una ley especial que las regula como entidades que forman parte del sistema financiero mexicano (la Ley para Regular las Actividades de las Sociedades Cooperativas de Ahorro y Préstamo o LRASCAP), en adición a la Ley General de Sociedades Cooperativas (LGSC). Derivado de lo anterior, esta figura jurídica tiene restricciones legales, tanto en sus fuentes de financiamiento como en la forma en que se administra y opera (Lara et al., 2017; Lara y Rico, 2011; Izquierdo, 2015, 2016; LGSC, 2019; LRASCAP, 2019; Conde, 2016; Lara, 2018; Torres y Cano, 2019; Añorve et al., 2018).
Ejemplo de lo anterior, es que las SOCAPS, de acuerdo con la LGSC en su artículo 33, son cooperativas que tienen como principal objetivo llevar a cabo actividades de ahorro y préstamos. Pero, como lo señala la LRASCAP, esta actividad está limitada a realizarla solo entre sus socios; es decir, solo puede captar ahorros y prestarlos, pero solo entre los miembros de la misma cooperativa y no a personas externas (Izquierdo, 2015, 2016; LGSC, 2019; Lara, 2018; Chamú y Torres, 2018; Torres y Cano, 2019; Añorve et al., 2018; Lara et al., 2017; LRASCAP, 2019; Conde, 2016).
A pesar de estas restricciones, la SOCAPS de México han demostrado ser un mecanismo importante para la creación de oportunidades, incentivar la economía y promover la inclusión financiera. También, son un instrumento que sirve para el desarrollo de las comunidades en donde opera. Se debe añadir que una SOCAP en buen estado y que cuente con un buen gobierno, es capaz de ofrecer a sus socios seguridad en sus ahorros y en sus depósitos; también, servicios y productos financieros de calidad de forma sostenida, permanente y diseñadas de acuerdo con las condiciones de sus socios, de forma competitiva y en términos favorables (Torres y Villaseñor, 2017; Lara, 2018; Torres y Cano, 2019; Chamú y Torres, 2018; Añorve et al., 2018; Izquierdo, 2015, 2016; LGSC, 2019; Lara y Rico, 2011; Lara et al., 2017).
De esta forma, una manera de abordar y evaluar las fuentes de financiamiento que tienen y utilizan las SOCAPS, es a partir de estudiar su estructura de capital. Con base en esta evaluación, se podrá determinar como emplean estas sociedades cooperativas sus distintas fuentes de financiamiento, los retos a los que se enfrentan, los efectos que tienen las restricciones al momento de financiarse y los riesgos a los que se exponen. De manera particular, la teoría del orden jerárquico permitirá identificar las jerarquías que las SOCAPS tienen en sus fuentes de financiamiento y las implicaciones que tienen para estas sociedades cooperativas. Ejemplo de ello, se puede establecer si estas se exponen a ciertos riesgos, como el exceso de apalancamiento.
Debido a lo anterior, se propone como objetivo principal de la investigación, determinar si las Sociedades Cooperativas de Ahorro y Préstamo de México (SOCAPS) obedecen a la teoría de la jerarquización financiera, cómo toman sus decisiones de financiamiento y cuáles son las posibles consecuencias de ello. Por lo cual, esta investigación se estructuró de la siguiente manera: en la parte dos se desarrollará un marco teórico que expondrá los temas más relevantes de la investigación; en la parte tres se mostrara la metodología empleada en esta investigación; en la parte cuatro, se exhibirán los resultados y se realizará una discusión teórica de los mismos; por último, en la sección cinco se expondrán las conclusiones más relevantes a las cuales se llegó en la investigación.
2. Marco teórico
2.1. Estructura de capital
El tema de la estructura de capital ha sido analizado de manera profunda, pero, a pesar de esto, la discusión todavía persiste y no se ha llegado a un consenso en varios temas. Lo anterior lo han destacado autores como Berumen et al., (2012), Gaytán et al., (2016) y Herrera-Echeverri, (2018).
En la línea de investigación de este tema, se sitúan como principales referentes a Modigliani y Miller (1958). Estos autores desarrollaron un modelo el cual fue conocido como MM, con el que establecieron que el valor de la empresa no está en función de la estructura de capital (se debe añadir, que el modelo MM parte de varios supuestos de los cuales, el más importante es que la empresa se encuentra en un mercado perfecto). A partir de esta propuesta, se abrieron varias líneas de investigación en las cuales el modelo fue analizado, se crearon críticas y contrapuestas. En este sentido, Stiglitz (1969) considera que la teoría propuesta es válida, pero realizó varias críticas al modelo, entre ellas que no considera la bancarrota de las empresas y de manera particular, el supuesto de mercado perfecto.
Por su parte Modigliani y Miller (1963) y Miller (1977), también continuaron desarrollando esta línea de investigación y realizaron varias propuestas que complementaron al modelo original MM. Entre las propuestas que añadieron, se encuentran los escudos fiscales, los cuales son mecanismos que hacen que el costo de financiamiento sea menor. Es así, que se ha ampliado este campo de estudio. En este sentido, uno de los modelos que se ha considerado más exitoso es el llamado modelo del Trade off, que fue desarrollado a partir de la propuesta de los escudos fiscales. Este modelo señala que una empresa hallará su punto óptimo de estructura de capital, el cual tendrá un equilibrio entre los costos generados por la deuda y los beneficios (Jensen y Meckling, 1976; Herrera-Echeverri, 2018; Mongrut et al., 2010; Arias et al., 2009; Fama y French, 2002).
En contrapropuesta al modelo de Trade off, surgió otro modelo conocido como de orden jerárquico, que tiene como precursores los trabajos de Myers (1984) y Myers y Majluf (1984). Estos autores se basaron en la asimetría de la información. El modelo de orden jerárquico apunta a que una empresa va a priorizar las fuentes de financiamiento, siendo la principal sus fondos internos, posteriormente la contratación de deuda y, en última instancia, la emisión de acciones (Jensen y Meckling, 1976; Herrera-Echeverri, 2018; Mongrut et al., 2010; Arias et al., 2009; Fama y French, 2002; Berumen et al., 2012; Zambrano y Acuña, 2011; Vargas y Castellanos, 2014).
Es así, que las principales líneas de investigación que hay en la estructura de capital se basan en los dos modelos mencionados (Berumen et al., 2012; Zambrano y Acuña, 2011). Estos dos modelos se diferencian en que la teoría del orden jerárquico presupone que no existe un punto óptimo de financiamiento que cause un equilibrio entre los costos provocados por la deuda y los beneficios, como lo sugiere el modelo de Trade off; por el contrario, el modelo de orden jerárquico se basa en que la empresa incrementara sus inversiones usando una jerarquía en sus fuentes de financiamiento (basado en sus preferencias) (Fama y French, 2002; Vargas y Castellanos, 2014).
Las líneas de investigación de la estructura de capital han dado resultados diferentes. Por ejemplo, Atkin y Glen (1992) hallaron que en los países desarrollados el modelo de orden jerárquico es el que predomina; por otro lado, Valcacer et al., (2017) y Rajan y Zingales (1995), dicen que es el modelo de trade off. Otro ejemplo, sucede en los estudios realizados a los países emergentes, donde hay quienes señalan que estos países obedecen al modelo del orden jerárquico, en esta corriente se hallan Booth et al., (2002) y Valcacer et al., (2017); en cambio, hay quienes argumentan que el modelo predominante es el trade off, en esta línea se hallan autores como Atkin y Glen (1992), Mongrut et al., (2010) y Pérez et al., (2019).
Algunos estudios realizados para empresas de México y otros países de Latinoamérica son los realizados por Mongrut et al., (2010), Booth et al., (2002), Pérez et al., (2019), Gaytán et al., (2016), Foster y Young (2013), y Berumen et al., (2012). Es importante señalar que en algunos estudios se han hallado cosas interesantes como el de Booth et al., (2002), quienes establecieron que la nacionalidad de las empresas analizadas no es un factor que influye en la estructura de capital de las empresas y que entre más rentabilidad tenga una empresa su grado de apalancamiento es menor, sin importar la forma en que defina la estructura de capital. Además, es relevante señalar que la mayoría de los trabajos se realizan sobre empresas capitalistas o que cotizan en las diferentes bolsas de valores del mundo.
En este sentido, la mayoría de los estudios relacionados con la estructura de capital se orientan a las grandes empresas, dejando de un lado a otras. Lo que provoca que no se haya abordado de forma exhaustiva el estudio de la estructura de capital de las sociedades cooperativas, a pesar de que al hacerlo se podría obtener importantes conclusiones que podrían beneficiar a las cooperativas. Un estudio que abordó este tema fue el elaborado por Lajara-Camilleri y Mateos-Ronco (2012), quienes estudiaron la estructura de capital de las cooperativas agrarias de España, en específico si estas obedecían el modelo de orden jerárquico. Encontrando evidencia de que este tipo de cooperativas si obedecen a este modelo.
2.1.1. Modelo de estructura de capital jerarquización financiera
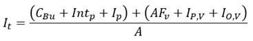
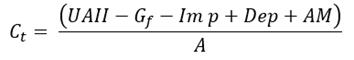
Un modelo con el cual se puede establecer si una empresa obedece a la teoría del orden jerárquico, es el propuesto por Mongrut et al., (2010); el cual, a su vez, se basa en el modelo de Shyam-Sunders y Myers (1999). El modelo expuesto por Mongrut et al., (2010) se muestra en la Ecuación 1.
|
|
(1) |
Donde:
Es importante
añadir que las variables
y
,
se pueden omitir, si el análisis se realiza con empresas de un mismo país.
Cuando sea así, el modelo solo se compone de la variable
.
Esta variable se parte en otras, que son:
que
se refiere a los dividendos pagados por la empresa en el periodo
;
que
contiene las inversiones netas de la empresa en el periodo
;
que
corresponde a la variación neta del capital del trabajo en el periodo
;
que
es la porción corriente de la deuda a largo plazo al inicio del periodo
;
y,
que
son los flujos de fondos generados internamente después de impuestos e intereses
en el periodo
.
De esta manera, quitando del modelo las variables
y
,
y reemplazando la variable
con
las variables que la componen, se crea la Ecuación 2.
|
|
(2) |
En la Ecuación 2, se muestran las variables que componen a
la
.
Como parte del procedimiento del modelo planteado por Mongrut et al., (2010) y
que está basado en el de Shyam-Sunders y Myers (1999). Todas las variables que
conforman a la
se
dividen entre el activo total promedio
,
de esta manera, cada una de las variables divididas entre el activo total
promedio se muestran en las Ecuaciones 3, 4, 5, 6 y 7.
|
|
(3) |
Donde:
|
|
(4) |
Donde:
|
|
(5) |
Donde:
|
|
(6) |
Donde:
|
|
(7) |
Donde:
Una vez
estimadas las Ecuaciones 3, 4, 5, 6 y 7, estás se sustituyen en la Ecuación 2 y
se suman (con excepción de
que
son los flujos de fondos generados internamente después de impuestos e
intereses, ya que esta se resta) con el objeto de obtener la variable
.
Posteriormente, se corre un modelo de regresión lineal y así se obtiene la
Ecuación 8.
|
|
(8) |
Donde:
Una vez
obtenida la Ecuación 8, se puede establecer si la empresa
obedece
o no a la teoría de la jerarquización financiera. Lo anterior, con base en el valor
de la constante y del coeficiente del déficit de la variable
(
)
conseguidos por medio de la regresión lineal y mostradas en la Ecuación 8. Para
confirmar que la empresa estructura su capital empleando la teoría del orden
jerárquico, de acuerdo con Mongrut et al., (2010), el valor de la constante
debe de ser nulo y el valor del coeficiente del déficit de la variable
,
debe ser cercano a uno. La explicación de lo anterior, es que, si el valor del coeficiente
del déficit de la variable
es
igual a uno, esto indica que el déficit de la empresa se encuentra
estrechamente relacionado con el aumento de la deuda, dicho de otra manera,
que, ante un incremento del déficit en las actividades de la empresa, esta
recurrirá a la contratación de deuda basándose en el modelo de jerarquización
financiera.
2.1.2. Modelo de estructura de capital trade off
Por otro lado, para comprobar que una empresa basa su estructura de capital en la teoría del Trade off, Mongrut et al., (2010), basándose en el modelo de Shyam-Sunders y Myers (1999), proponen el modelo que se muestra en la Ecuación 9.
|
|
(9) |
Donde:
Este modelo
tiene como fin analizar la brecha
que
las empresas tienen, entre el óptimo de la deuda en el momento
con
respecto a la deuda total que estas tienen en el periodo
.
Así el modelo permite observar el comportamiento de la empresa, determinando si
esta reacciona generando más deuda y, por lo tanto, tratando de alcanzar un
apalancamiento óptimo. Las variables que conforman la Ecuación 9, son
expresadas y definidas en las Ecuaciones 10 y 11.
|
|
(10) |
Donde:
|
|
(11) |
Donde:
Una vez obtenidos
los valores y realizadas las operaciones, se realiza una regresión lineal. En
este sentido, para establecer si la empresa obedece o no al modelo del Trade
off, el valor
debe
obtener un valor estrictamente mayor a cero o estrictamente menor a uno. De
esta forma, si el valor
de
la brecha es mayor que cero, hay un ajuste dirigido al óptimo de la deuda; por
otro lado, si el valor de
es
menor que uno, hay presencia de costos generados por el ajuste. Dicho de otra
manera, si el valor de
es
más cercano a cero, entonces la empresa se guía por decisiones de la
organización; en cambio, sí el valor
es
próximo a uno, esto significa que hay una influencia de los costos de la deuda
al momento de contraerla, lo que concuerda más con la teoría de la
jerarquización financiera.
2.2. Sociedades Cooperativas y Sociedades Cooperativas de Ahorro y Préstamo (SOCAPS) de México
Como se ha mencionado, en general las sociedades cooperativas de todo tipo y de varias partes del mundo tienen una legislación o ley especial, esto debido a que estas se basan en los principios cooperativos. Lo anterior, provoca que tengan varios tipos de restricciones en sus fuentes de financiamiento, en la forma en que administran sus recursos, y en cómo realizan sus operaciones. Una de las reglas a las que estas entidades están sujetas, es que cada socio tiene un voto, siendo esta la principal diferencia que hay entre una empresa capitalista y una cooperativa. Asimismo, estas sociedades cooperativas son un mecanismo que ayuda a reducir la pobreza, incentivan el desarrollo local y la inclusión financiera (Zubiaurre, et al., 2016; Gómez y Miranda, 2006; González y Lamorou, 2016; Gómez, 2003; Masa et al., 2016; Cabaleiro e Iglesias, 2016; Dow, 2003; García-Gutierréz, 2000; Andrews, 2015; Mateos, 2010; Pozuelo et al., 2012; Bel y Fernández, 2002; Conde, 2016; Añorve et al., 2018).
En este sentido, al igual que en otros países, en México existen distintos tipos de cooperativas. Como se expone en la Ley General de Sociedades Cooperativas (LGSC) en su artículo 21, en donde se menciona que hay tres tipos de sociedades cooperativas en México: cooperativas de consumidores de bienes y/o servicios; cooperativas de productos de bienes y/o servicios; y, sociedades de ahorro y préstamos (LGSC, 2019; Conde, 2016; Lara, 2018; Torres y Cano, 2019; Izquierdo, 2016).
En particular, las Sociedades Cooperativas de Ahorro y Préstamos (SOCAPS) tienen sus antecedentes en las cajas populares, las cuales fueron promovidas por la iglesia católica a mediados del siglo XX. Aunque, es importante mencionar que hubo intentos anteriores de promover instituciones que podrían considerarse antecesoras de las cooperativas de ahorro y préstamos, sin embargo, estas no tuvieron éxito y terminaron por desaparecer. Por ello, hay quienes consideran que no son el principal antecedente de las cooperativas de ahorro y préstamos que operan actualmente en México (Chamú y Torres, 2018; Añorve et al., 2018; Lara y Rico, 2011; Izquierdo, 2015; Lara et al., 2017; Figueroa y Magaña, 2018).
Asimismo, en sus antecedentes, se debe destacar que las legislaciones aplicables a esta figura jurídica son la Ley General de Sociedades Cooperativas (LGSC) y la Ley para Regular las Actividades de las Sociedades Cooperativas de Ahorro y Préstamo (LRASCAP). Mientras que la primera se promulgó en 1994, la segunda fue promulgada en 2009 y sufrió una importante reforma en 2014 (Lara, 2018; Torres y Cano, 2019; Chamú y Torres, 2018; Añorve et al., 2018; Figueroa y Magaña, 2018; Lara, 2012; Medina y Flores, 2015; Lara et al., 2017; Rodríguez y Dorantes, 2016; LRASCAP, 2019; LGSC, 2019).
Es relevante indicar que las SOCAPS de México se han destacado por ser un mecanismo importante para la creación de oportunidades e incentivar la economía. Asimismo, son un instrumento que influye positivamente en el desarrollo de las comunidades donde opera, en la inclusión financiera, en la inserción social y laboral, y que contribuyen a la disminución de la pobreza (Añorve et al., 2018; Lara y Rico, 2011; Lara et al., 2017; Izquierdo, 2016).
2.2.1. Características de las SOCAPS
Las Sociedades Cooperativas de Ahorro y Préstamos (SOCAPS) se regulan por la Ley para Regular las Actividades de las Sociedades Cooperativas de Ahorro y Préstamo (LRASCAP) promulgadas el 13 de agosto de 2009. Lo anterior en concordancia con la Ley General de Sociedades Cooperativas (LGSC). En este sentido las SOCAPS de acuerdo con la LGSC en su artículo 33, son aquellas cooperativas que tienen como fin llevar a cabo actividades de ahorro y préstamos. Definiendo ahorro como la actividad de captar los recursos por medio de los depósitos de ahorros de sus socios; asimismo, establece que el préstamo es la acción de colocar y entregar los recursos obtenidos entre sus mismos socios (Izquierdo, 2015, 2016; LGSC, 2019; Lara, 2018; Chamú y Torres, 2018; Torres y Cano, 2019; Añorve et al., 2018).
La LRASCAP indica que las SOCAPS se deben de conformar con un mínimo de 25 socios, los cuales, harán una contribución para aportar el capital social con el que contará la SOCAP (no hay un límite superior o mínimo para esta aportación y no necesita ser obligatoriamente dinero, puede ser un terreno o un edificio). Por su parte, la sociedad tiene como fin captar los recursos de sus socios y colocarlos entre ellos mismos. Es así, que, del capital social aportado, una SOCAP podrá obtener rendimientos (por medio del interés cobrado a sus socios por los préstamos); por lo cual, la principal fuente de ingresos de una SOCAP es, precisamente, el interés cobrado a sus socios (Lara et al., 2017; LRASCAP, 2019; Conde, 2016; Añorve et al., 2018).
Por otro lado, la LRASCAP expone que las SOCAPS tienen como fin cuatro objetivos: I) Regular, promover y facilitar la captación de fondos o recursos monetarios y su colocación mediante préstamos, créditos u otras operaciones (LRASCAP, 2019: 1); II) Regular, promover y facilitar las actividades y operaciones de estas últimas, su sano y equilibrio desarrollo (LRASCAP, 2019: 1); III. Proteger los intereses de los Socios ahorradores (LRASCAP, 2019: 1); y, IV. Establecer los términos en que el Estado ejercerá las facultades de supervisión, regulación y sanción, en términos de la presente Ley (LRASCAP, 2019: 1) (LRASCAP, 2019; Lara et al., 2017; Lara y Rico, 2011; Figueroa y Magaña, 2018).
Otro punto que se debe destacar es que la LRASCAP establece que hay cuatro niveles en los que se clasifican las SOCAPS y esta es con base en el monto de los activos que tienen. Lo anterior se expone en el artículo 18 de la misma ley. Complementariamente, en el artículo 19 se muestran los servicios y operaciones que pueden prestar cada uno de los cuatro niveles, de manera que no todas las SOCAPS pueden ofrecer los mismos servicios y operaciones (LRASCAP, 2019).
2.2.2. Fuentes de financiamiento y recursos de las SOCAPS
Como cualquier organización, las SOCAPS también deben optimizar el uso de sus recursos disponibles, para una operación más eficiente y garantizar su sostenibilidad. Dentro de estos recursos se encuentran: el capital aportado por sus socios, los pasivos contraídos, las reservas que tenga y los beneficios que se han retenido de ejercicios anteriores con el objeto de autofinanciarse. Respecto a las fuentes de financiamiento de las SOCAPS, estas están limitadas a cuatro, que son: la suscripción de las aportaciones sociales, recursos del gobierno, descuentos de cartera crediticia y el financiamiento por medio de otras entidades del sistema financiero (Lara et al., 2017; LRASCAP, 2019).
La primera fuente de financiamiento que son las aportaciones sociales a las SOCAPS son una fuente que no se limita solo a las aportaciones en el momento en que se constituyen o que dan posteriormente los nuevos socios. Esta también se refiere a otro tipo de contribuciones, los cuales surgen por que las SOCAPS pueden dar certificados para aportaciones de capital de riesgo, con la condición de que deben ser por un tiempo limitado y que se debe estipular el tipo de interés que se pagara por este capital (este es fijado por el consejo administrativo, tomando en consideración las posibilidades financieras que tengan las SOCAPS y basándose en las tasas que cobran los bancos para los depósitos a plazo fijo). Por otro lado, con respecto a la segunda fuente de financiamiento, que son los recursos del gobierno federal, las SOCAPS pueden acceder a los que van dirigidas al sector social de la economía. Para ello, deben cumplir con los requisitos expuestos en las convocatorias emitidas por las diversas secretarias del gobierno federal (Lara et al., 2017; LRASCAP, 2019).
La tercera fuente de financiamiento de las SOCAPS son los descuentos de cartera crediticia. A esta fuente de financiamiento pueden acceder las de nivel I, II, III y IV. Las SOCAPS de estos niveles tienen la opción de ceder o descontar su cartera de crédito con fideicomisos creados por el gobierno federal con el fin de fomentar la economía, con otras SOCAPS de los mismos niveles y con el fondo de protección. Asimismo, las SOCAPS de nivel III y IV tienen la facultad de recibir depósitos de los gobiernos federales, estatales o municipales (Lara et al., 2017; LRASCAP, 2019).
La última fuente de financiamiento es por medio de otras entidades del sistema financiero. En este sentido, la legislación no indica restricciones que eviten que estas puedan obtener recursos de la banca comercial. Pero, es importante mencionar que las SOCAPS tienen prohibido conseguir recursos por medio de los instrumentos que las bancas comerciales pueden colocar en los mercados comerciales. A lo anterior, se debe añadir que las SOCAPS pueden recibir ya sea de personas físicas y morales, públicas o privadas, nacionales o internacionales; donaciones, subsidios, herencias y legados (Lara et al., 2017; LRASCAP, 2019).
Algunas restricciones que tienen las SOCAPS para su financiamiento, son: pueden realizar operaciones con sus socios o con miembros del sistema financiero, con la condición de que estas actividades no tengan como objeto el lucro, lo que les impide ofrecer servicios a personas que no sean sus propios socios; no pueden tener como socios a personas morales; están imposibilitadas a crear grupos empresariales; cuando obtienen resultados positivos, deben informar a la asamblea de socios para que ahí se decida qué hacer con el excedente. En este sentido, también se han identificado el problema de la poca educación financiera de muchos de los socios, que ha llevado a algunas SOCAPS a tomar decisiones equivocadas (Lara et al., 2017; LRASCAP, 2019).
Se debe añadir que, por Ley, las SOCAPS administran y participan en diversos fondos. Uno de ellos es el fondo de reserva, el cual, tiene como objeto el afrontar pérdidas o restituir el capital de trabajo. Este se va conformando en las SOCAPS con el 10 por ciento de los excedentes conseguidos en cada ejercicio social, hasta alcanzar el 10 por ciento de los activos totales de la cooperativa. Otro es el fondo de protección, establecido en el artículo 49 de la LRASCAP, el cual, tiene por objeto la supervisión auxiliar de las SOCAPS para llevar a cabo diversas operaciones preventivas, con la finalidad de evitar los problemas financieros, efectuar evaluaciones que se explican en la ley de las cooperativas de nivel de operaciones básicas, y procurar el cumplimiento de las obligaciones relativas a los depósitos de ahorro de sus socios conforme lo establecido en la Ley. Este fondo se crea con aportaciones del gobierno federal, cuotas de las cooperativas, costo de la supervisión auxiliar, cuotas del seguro de depósito más los intereses moratorios y de los que el fondo adquiera (Lara et al., 2017; LRASCAP, 2019).
2.3. Acuerdos de Basilea III y principios cooperativos su aplicación en las cooperativas de ahorro y préstamos
2.3.1. Acuerdos de Basilea III
Las reglas, principios y códigos de mejores prácticas del sistema financiero mundial se exponen en los acuerdos de Basilea III. Estos principios y códigos también se aplican a las cajas de ahorro y a las cooperativas financieras, tomando en consideración su estructura jurídica y su constitución. Los acuerdos de Basilea III surgen con el fin de fortalecer el sistema financiero a través de la prevención de riesgos y combatir las ineficiencias evidenciadas en la crisis económica de 2008, como son: el exceso de apalancamiento de las instituciones financieras, la degradación de su capital, y sus bajos niveles de liquidez (Basilea III, 2017).
Por consiguiente, algunas de las propuestas de los acuerdos de Basilea III, son: que las instituciones incrementen la cantidad y la calidad de capital disponible, y que mejoren su cobertura para los riesgos a los que se enfrentan. Asimismo, plantea un coeficiente de apalancamiento, el cual, es una medida auxiliar de cuantificación del riesgo y que tiene como fin, advertir el exceso de apalancamiento del sistema bancario. Otra propuesta es el reasignar algunas cuentas que pertenecen al capital, con el objeto de mejorar, transparentar y estandarizar a nivel mundial. También, se dictaminaron otras reglas para elevar los requisitos al exponerse a ciertos riesgos, como con los instrumentos relacionados con los derivados, esto, con el objeto de proteger el capital de las instituciones financieras; y que las instituciones financieras deben de tener en todo momento un capital mínimo del 8 % de los activos ponderados por riesgo (Basilea III, 2017).
Otra cuestión que se aborda en Basilea III, es el tema de mejores prácticas en cuestiones de conservación de capital. Al respecto, se menciona: que las instituciones financieras deben de tener colchones de capital por encima del mínimo requerido; que cuando estos se agoten por alguna situación, deben de recuperarlos por medio de una reducción en las distribuciones discrecionales de los beneficios como el reparto de utilidades; que el colchón de conservación de capital debe ser del 2.5 % y que debe estar conformado por capital ordinario de nivel uno (esto es adicional a los requerimientos anteriores); y que el colchón anticíclico que busca que los bancos puedan seguir operando en cualquier tipo de entorno macroeconómico debe estor conformado por entre el 0 % y el 2.5 % de los activos ponderados por el riesgo (Basilea III, 2017).
2.3.2. Principios cooperativos y su aplicación en las cooperativas de ahorro y préstamos
Los principios cooperativos expuestos por la Alianza Cooperativa Internacional son: asociación voluntaria y abierta; control democrático de los miembros; participación económica de los socios; autonomía e independencia; educación, formación e información; cooperación entre cooperativas; y, sentimiento de comunidad. Estos principios aplican para todo tipo de cooperativas, entre ellas las de ahorro y préstamos. También, se debe añadir que las cooperativas se apoyan en los siguientes valores: autoayuda, autorresponsabilidad, democracia, igualdad, equidad y solidaridad (Bardswick et al., 2017; Andrews, 2015).
Algo relevante es que los dueños de las cooperativas son sus propios miembros, los cuales, también deben gestionar la misma cooperativa. A lo anterior, se debe agregar que indistintamente de que los miembros sean clientes, residentes o empleados, estos tienen el mismo derecho. Es decir, todos tienen un voto al momento de tomar las decisiones de la cooperativa (Bardswick et al., 2017, 2017; Andrews, 2015).
Lo anterior, influye en las fuentes de financiamiento de las diferentes formas de cooperativas que hay en el mundo, entre ellas, las de ahorro y préstamos. De esta forma, las cooperativas de todo el mundo tienen sus propias restricciones para financiar sus operaciones. Por ejemplo, varias cooperativas se financian a través de métodos tradicionales, las cuales están disponibles para todo tipo de empresas. Sin embargo, las cooperativas que intentan acceder a este tipo de financiamiento tienen más restricciones y mayores obstáculos, en comparación con las empresas capitalistas. Entre ellos, un marco jurídico distinto y que deben respetar los principios cooperativos (Andrews, 2015).
En este sentido, al momento de realizar la planificación del capital en el corto plazo, las cooperativas se ven restringidas por el marco jurídico que está vigente en el país. Es importante indicar, que la planificación que hay respecto al capital en una cooperativa, toma en consideración las dimensiones que hay en otras empresas, pero estas también deben basarse y respetar los principios cooperativos (Andrews, 2015).
En esta línea, Andrews (2015) señala que las cooperativas pueden utilizar la estructura de capital basada en los esquemas tradicionales (partes sociales reintegrables e ingresos no distribuidos) o no. Esto porque pueden emplear otros tipos de financiamiento, lo que hace que no necesariamente tengan que tener una estructura de capital tradicional. En este caso, el mismo autor señala que si los socios pueden y desean realizar inversiones adicionales a las cooperativas, estas deben ser atractivas a los socios y, además, respetar el control democrático. En cambio, si se pretende atraer inversionistas no asociados, los instrumentos tienen que ser atractivos para estos y la vez se debe mantener el control de las operaciones de las cooperativas en los socios. Los problemas mencionados se pueden superar por medio de instrumentos de deuda.
2.4. Modelos de estructura de capital y Sociedades Cooperativas de Ahorro y Préstamos (SOCAPS)
Cómo se mencionó, hay dos teorías preponderantes sobre la estructura de capital, estas son: orden jerárquico y Trade off. La primera de ellas dice que una empresa prioriza sus fuentes de financiamiento, poniendo como su principal fuente a los fondos internos, como segunda opción la contratación de deuda y en última instancia la emisión de acciones (Jensen y Meckling, 1976; Herrera-Echeverri, 2018; Mongrut et al., 2010; Arias et al., 2009; Fama y French, 2002; Berumen et al., 2012; Zambrano y Acuña, 2011; Vargas y Castellanos, 2014).
Basándose en la definición anterior; tomando en consideración las limitantes mostradas que tienen las SOCAPS como su marco jurídico y los principios cooperativos; y, los acuerdos de Basilea III. Se puede establecer que la estructura de capital de una SOCAP que obedece a la teoría del orden jerárquico sería: como primera opción de financiamiento la captación de ahorros, esto porque respetaría los principios cooperativos, entre ellos, el control democrático de los socios; los acuerdos de Basilea III, debido a que no se expone a riesgos como el apalancamiento excesivo; y, respeta sus limitaciones jurídicas. Seguido del interés cobrado por sus préstamos a sus socios y, como tercera fuente el capital contribuido, esto por los motivos presentados previamente, ya que ambas son una fuente de financiamiento interna de la SOCAP al igual que la captación de ahorros. Como cuarta fuente, estarían los fondos obtenidos por instituciones como el gobierno y las Organizaciones No Gubernamentales (ONG), ya que, aunque estos son préstamos tienen condiciones favorables para la SOCAP. Esta fuente de financiamiento sigue respetando los principios cooperativos, las limitaciones jurídicas, pero, al ser un préstamo conlleva ciertos riesgos, por ello, esta como cuarta opción. En última instancia, se encontrarían los préstamos y las inversiones privadas, esto porque es la que tiene mayores riesgos, tiene mayores limitaciones para su acceso por las restricciones legales, y además, no encaja en su totalidad con los principios cooperativos (Izquierdo, 2015, 2016; LGSC, 2019; Lara, 2018; Chamú y Torres, 2018; Basilea III, 2017; Andrews, 2015; Bardswick et al., 2017; Lara et al., 2017; LRASCAP, 2019; Conde, 2016; Añorve et al., 2018; Torres y Cano, 2019; Figueroa y Magaña, 2018; Lara, 2012; Medina y Flores, 2015; Rodríguez y Dorantes, 2016).
Por otro lado, se encuentra la teoría del Trade off, la cual se refiere a que una empresa busca un balance entre sus beneficios y el costo de la deuda (Jensen y Meckling, 1976; Herrera-Echeverri, 2018; Mongrut et al., 2010; Arias et al., 2009; Fama y French, 2002; Berumen et al., 2012; Zambrano y Acuña, 2011; Vargas y Castellanos, 2014). Basándose en la definición mostrada, esta teoría de la estructura de capital, también se puede aplicar a una SOCAP. Esto porque si tiene acceso a préstamos con condiciones favorables como del gobierno o de Organizaciones No Gubernamentales (ONG), y de préstamos o inversiones privadas, puede ser beneficioso para la SOCAP. Es decir, tener cierto grado de apalancamiento podría tener beneficios para la SOCAP. Ya que, puede disponer de ventajas fiscales que hagan más atractivo tener cierto grado de apalancamiento o tener acceso a tasas de interés más bajas y, con ello, conceder más préstamos a sus socios. Es decir, la SOCAP puede obtener beneficios por tener cierto grado de deuda y, por lo tanto, puede tener un óptimo de apalancamiento. Lo anterior conduce a que las SOCAPS también podrían estructurar su capital obedeciendo a la teoría del Trade off (Izquierdo, 2015, 2016; LGSC, 2019; Lara, 2018; Chamú y Torres, 2018; Basilea III, 2017; Andrews, 2015; Bardswick et al., 2017; Lara et al., 2017; LRASCAP, 2019; Conde, 2016; Añorve et al., 2018; Torres y Cano, 2019; Figueroa y Magaña, 2018; Lara, 2012; Medina y Flores, 2015; Rodríguez y Dorantes, 2016).
3. Metodología
La metodología de este trabajo tiene como objeto determinar si las Sociedades Cooperativas de Ahorro y Préstamo de México (SOCAPS) obedecen a la teoría de la jerarquización financiera, cómo toman sus decisiones de financiamiento y cuáles son las posibles consecuencias de ello. Para este fin, se toma como referencia el modelo propuesto por Shyam-Sunders y Myers (1999), expuesto por Mongrut et al., (2010); así como la definición de la teoría del orden jerárquico. Con base en estas propuestas, se diseña un modelo de jerarquización financiera adecuado para las SOCAPS de México, ya que estas sociedades tienen distintas restricciones legales, tanto en su forma de operar como de financiarse, que difieren a las de las instituciones financieras tradicionales y las empresas capitalistas. Posteriormente, se realizarán distintos análisis de regresión múltiples con información financiera de las SOCAPS de México, con el fin de identificar sus criterios de financiamiento y compararlos con la jerarquía de financiamiento hipotética, con el objeto de determinar si las decisiones de financiamiento de las SOCAPS en México han obedecido a la teoría del orden jerárquico. A estos resultados se le aplicaron pruebas de hipótesis correspondientes, con el objeto de sustentar su validez.
La información utilizada para este análisis se obtuvo de la Comisión Nacional Bancaria y de Valores (CNBV) de México. Proviene de los balances generales y los estados de resultados que reportaron las SOCAPS, a partir de enero de 2010 a agosto de 2019. La base de datos está conformada por 161 SOCAPS; de las cuales, se encontró que algunas comenzaron a reportar su información en fechas posteriores, mientras que otras dejaron de reportar a la CNBV. De tal forma, solo se usaron para esta investigación 34; lo que representa un 21 % de la población total, abarcando la mayor temporalidad posible. Los datos de las 34 SOCAPS analizadas tienen una frecuencia mensual, dando un total de 116 observaciones. Los datos fueron deflactados utilizando el Índice Nacional de Precios al Consumidor (INPC) de México, empleando como mes base julio de 2018. Por lo tanto, esta investigación es de tipo cuantitativa y de series de tiempo (Ollivier y Thompson, 2017; Levin y Rubin, 2004).
3.1. Modelo propuesto para las SOCAPS
El modelo de análisis que se propone permite determinar si las Sociedades Cooperativas de Ahorro y Préstamo (SOCAPS) obedecen a la teoría del orden jerárquico. Para ello, primero se propondrá una jerarquía de financiamiento hipotética, basada en la teoría de orden jerárquico y considerando las principales fuentes de financiamiento a las cuales las SOCAPS tienen acceso para sostener sus operaciones.
De esta manera, de acuerdo con la teoría del orden jerárquico la primera fuente de financiamiento que usara una empresa son sus fondos internos, de ahí, sigue la contratación de deuda, y, en última instancia, la emisión de acciones (Jensen y Meckling, 1976; Herrera-Echeverri, 2018; Mongrut et al., 2010; Arias et al., 2009; Fama y French, 2002; Berumen et al., 2012; Zambrano y Acuña, 2011; Vargas y Castellanos, 2014). Al momento de adaptar esta definición a las SOCAPS se deben de tomar en consideración las restricciones legales y operativas que estas tienen, entre ellas, que no emiten acciones. De tal forma, se elaboró una propuesta de la jerarquía de financiamiento hipotética para las SOCAPS de México, cuando obedecen a la teoría del orden jerárquico. Esta jerarquía se muestra en la Tabla 1.
Tabla. 1. Indicadores de las SOCAPS para determinar si esta obedece o no a la teoría del orden jerárquico.
|
Variable de acuerdo a la definición |
Indicador de la SOCAP |
Variables propuestas |
Variables reportadas por las SOCAP |
Descripción |
|
Fondos internos |
Fuentes internas de financiamiento de las SOCAPS |
Captación de ahorros
Interés cobrado
Dinero otorgado por los socios de las SOCAPS.
|
Captación tradicional
Ingresos por intereses
Capital contribuido
|
Depósitos de los socios de las SOCAPS.
Ingresos obtenidos por las SOCAPS a través de los préstamos concedidos.
Dinero otorgado por los socios de las SOCAPS. |
|
Contratación de deuda |
Préstamos obtenidos por las SOCAPS de otras instituciones |
Fondos blandos (préstamos del gobierno y Organizaciones no gubernamentales)
Préstamos bancarios.
|
Préstamos bancarios y de otros organismos |
Los préstamos obtenidos por las SOCAPS por otras instituciones financieras. |
|
Emisión de acciones |
Las SOCAPS no pueden emitir acciones |
Inversionistas privados |
No hay |
|
Fuente: Elaboración propia con base en CNBV (2020).
Los indicadores mostrados en la Tabla 1 servirán para comprobar la teoría del orden jerárquico, basados en la definición de la misma. También, en la Tabla 1, se muestran las variables propuestas que conforman cada indicador; las variables reportadas por las SOCAPS, las cuales son las que se emplean en el modelo; y, la respectiva descripción de cada una. Las variables reportadas por las SOCAPS se extrajeron de los balances generales y los estados de resultados que reportaron las SOCAPS a la Comisión Nacional Bancaria y de Valores de México (CNBV). De esta forma, para afirmar que la SOCAP obedece a la teoría del orden jerárquico, esta debe financiarse siguiendo la jerarquía mostrada en la Tabla 1, es decir, primero debe optar por sus fondos internos, que son en orden: la captación tradicional, los ingresos por intereses y el capital contribuido. Seguido de la contratación de deuda, que son los préstamos bancarios y de otros organismos. Asimismo, de acuerdo con el planteamiento teórico que se desarrollara a continuación, todas las variables que conforman a la jerarquía de financiamiento hipotética deben tener un signo positivo en los análisis de regresión efectuados. Es decir, para afirmar que una SOCAP obedece a la teoría del orden jerárquico, debe cumplir con dos condiciones, seguir el orden de la Tabla 1 y que los signos de todas sus fuentes de financiamiento sean positivos.
3.2. Determinación de las jerarquías de las SOCAPS analizadas
Como segunda parte, se realiza un
modelo de regresión múltiple, basado en la Ecuación 12. En esta se aprecia que las
variables que conforman al modelo son las que explican los activos totales de
las SOCAPS (
);
es decir, las variables elegidas y que se encuentran en el modelo, son las
fuentes de financiamiento a las que tienen acceso estas entidades, que sostienen
sus operaciones y que explican el origen de los fondos con los que adquieren
sus activos.
|
|
(12) |
Donde:
.
Con las regresiones realizadas, se obtienen los parámetros betas de las fuentes de financiamiento a las que tienen acceso y que reportan las SOCAPS de México. Estos coeficientes se utilizarán para determinar las betas estandarizadas con el uso del software Minitab 18. Se empleará la opción de dividir entre la desviación estándar, ya que, esta permite la comparación de las variables betas y establecer cuál tiene mayor peso en la explicación de la variable dependiente (activo total). Es decir, permitirá determinar qué valor beta tiene mayor efecto en la variable explicada del modelo (activos totales de las SOCAPS).
De esta
manera, se podrá establecer el peso que tiene cada una en el financiamiento de
los activos totales de las SOCAPS y así determinar las jerarquías que tiene
cada una de las SOCAPS en sus fuentes de financiamiento. Para evaluar que los
modelos y las variables obtenidas de las regresiones sean estadísticamente
significativas, se realizarán las pruebas de hipótesis correspondientes. De tal
forma que, para determinar si el modelo en conjunto explica la variable
dependiente del modelo (la variación del capital), se empleará el coeficiente
de determinación, es decir, el parámetro
,
el cual, debe tener un valor superior a .75 para que el modelo sea
representativo. Otro parámetro que se usará para validar el modelo, será el
valor
de
cada variable, el cual indicara si esa variable es significativa en la explicación
de la variable dependiente del modelo, dicho de otra manera, que la variable es
importante para explicar la variación de los activos totales de las SOCAPS.
Para que la variable sea estadísticamente significativa, deberá tener un valor
menor
a 0.05.
Para ordenar
los valores beta estandarizadas y obtener las jerarquías finales que se van a
analizar de las 34 SOCAPS, se deben de tomar en consideración: los signos de
las variables, los valores
y
que algunas SOCAPS no hacen uso de todas sus fuentes de financiamiento. Es
importante mencionar que los resultados obtenidos de la Ecuación 12 explican la
importancia y el peso que tiene cada una de las fuentes de financiamiento en
los activos de las SOCAPS. Es así, que cuando la variable
,
que representa los activos totales de las SOCAPS, se incrementa debido a que
las SOCAPS expanden sus operaciones, se requieren fuentes de financiamiento
(las variables
,
y
)
que sostengan estas operaciones y costeen la variación de los activos de las
SOCAPS. Con base en lo descrito, se espera que algunas variables del modelo
tengan algún tipo de relación (las cuales, están representadas por los signos
de cada variable).
En la Figura
1, se exponen las relaciones esperadas de las variables
,
y
(fuentes
de financiamiento) con la variable
(activos
totales de las SOCAPS) y las explicaciones de cada relación. Como puede verse, todos
los signos esperados son positivos, esto, debido a que cuando las SOCAPS
incrementan sus operaciones y sus activos, estas requieren fuentes de
financiamiento; por lo cual, al incrementarse las fuentes de financiamiento
(las variables
,
y
),
consecuentemente también aumentan sus activos (
).
Figura. 1. Relación de las variables independientes del modelo con la variable dependiente.

Fuente: Elaboración propia.
Para
determinar las jerarquías de cada una de las 34 SOCAPS, sus fuentes de
financiamiento se ordenan con los siguientes criterios: betas estandarizadas
positivas, betas estandarizadas negativas, y, por último, las fuentes de
financiamiento que no usan (su valor es NA, aunque esta posteriormente se va a
retirar de la jerarquía final que se analiza). Las betas estandarizadas
positivas se ordenen de mayor a menor, al igual que las negativas. Una vez determinada
la jerarquía de la SOCAP, se omitirán las variables cuyos valores
indiquen
que no son significativas y las fuentes de financiamiento que no se usan.
Finalmente, las jerarquías obtenidas se comparan con la jerarquía de
financiamiento hipotética mostrada en la Tabla 1; de esta manera, si las
jerarquías cumplen con este orden y con los signos positivos de las fuentes de
financiamiento, entonces, se puede afirmar que las decisiones de financiamiento
de las SOCAPS en México sí obedecen a la teoría del orden jerárquico.
4. Resultados
Se realizaron 34 regresiones
basadas en la Ecuación 12 y se estimaron las betas estandarizadas. Los valores
del parámetro
o
coeficiente de determinación, de todos los modelos fueron mayores al .90, lo
cual, significa que todos los modelos son estadísticamente significativos. Las
betas estandarizadas se ordenaron de acuerdo con lo que se indicó en la
metodología, es decir: betas estandarizadas positivas (ordenadas de mayor a
menor), betas estandarizadas negativas (ordenadas de mayor a menor) y, por
último, las fuentes de financiamiento que no usan. Estas jerarquías se presentan
en la Tabla 2, en la cual, se indican las variables que tuvieron valores
no
significativos, es decir, mayores a 0.05 y aquellas fuentes de financiamiento
que las SOCAPS no usan. Para obtener las jerarquías finales, se quitarán
aquellas fuentes de financiamiento cuyos valores
indican
que no son significativas (mayores a 0.05) y las que no son usadas.
Tabla. 2. Orden de las fuentes de financiamiento de las 34 SOCAPS.
|
SOCAP |
Primera fuente de financiamiento |
Segunda fuente de financiamiento |
Tercera fuente de financiamiento |
Cuarta fuente de financiamiento |
|
1 |
Captación tradicional |
Ingresos por intereses* |
Capital contribuido* |
Préstamos bancarios y de otros organismos** |
|
2 |
Captación tradicional |
Capital contribuido |
Ingresos por intereses |
Préstamos bancarios y de otros organismos* |
|
3 |
Captación tradicional |
Préstamos bancarios y de otros organismos |
Capital contribuido |
Ingresos por intereses* |
|
4 |
Captación tradicional |
Préstamos bancarios y de otros organismos |
Ingresos por intereses* |
Capital contribuido |
|
5 |
Captación tradicional |
Préstamos bancarios y de otros organismos |
Capital contribuido |
Ingresos por intereses* |
|
6 |
Captación tradicional |
Capital contribuido |
Ingresos por intereses* |
Préstamos bancarios y de otros organismos* |
|
7 |
Captación tradicional |
Préstamos bancarios y de otros organismos |
Ingresos por intereses* |
Capital contribuido |
|
8 |
Captación tradicional |
Ingresos por intereses |
Préstamos bancarios y de otros organismos* |
Capital contribuido |
|
9 |
Captación tradicional |
Préstamos bancarios y de otros organismos |
Capital contribuido |
Ingresos por intereses |
|
10 |
Captación tradicional |
Ingresos por intereses* |
Capital contribuido* |
Préstamos bancarios y de otros organismos** |
|
11 |
Captación tradicional |
Capital contribuido |
Ingresos por intereses* |
Préstamos bancarios y de otros organismos |
|
12 |
Captación tradicional |
Préstamos bancarios y de otros organismos |
Ingresos por intereses* |
Capital contribuido |
|
13 |
Captación tradicional |
Préstamos bancarios y de otros organismos* |
Ingresos por intereses* |
Capital contribuido |
|
14 |
Captación tradicional |
Préstamos bancarios y de otros organismos |
Capital contribuido |
Ingresos por intereses* |
|
15 |
Captación tradicional |
Capital contribuido |
Préstamos bancarios y de otros organismos |
Ingresos por intereses* |
|
16 |
Captación tradicional |
Ingresos por intereses |
Préstamos bancarios y de otros organismos* |
Capital contribuido |
|
17 |
Captación tradicional |
Préstamos bancarios y de otros organismos |
Capital contribuido |
Ingresos por intereses* |
|
18 |
Captación tradicional |
Capital contribuido |
Préstamos bancarios y de otros organismos |
Ingresos por intereses* |
|
19 |
Captación tradicional |
Préstamos bancarios y de otros organismos |
Ingresos por intereses |
Capital contribuido |
|
20 |
Captación tradicional |
Préstamos bancarios y de otros organismos |
Ingresos por intereses* |
Capital contribuido* |
|
21 |
Captación tradicional |
Préstamos bancarios y de otros organismos |
Ingresos por intereses |
Capital contribuido |
|
22 |
Captación tradicional |
Capital contribuido |
Préstamos bancarios y de otros organismos |
Ingresos por intereses* |
|
23 |
Captación tradicional |
Préstamos bancarios y de otros organismos |
Ingresos por intereses* |
Capital contribuido |
|
24 |
Préstamos bancarios y de otros organismos |
Captación tradicional |
Capital contribuido |
Ingresos por intereses |
|
25 |
Captación tradicional |
Ingresos por intereses |
Capital contribuido |
Préstamos bancarios y de otros organismos** |
|
26 |
Capital contribuido |
captación tradicional |
Ingresos por intereses |
Préstamos bancarios y de otros organismos |
|
27 |
Captación tradicional |
Préstamos bancarios y de otros organismos |
Capital contribuido |
Ingresos por intereses* |
|
28 |
Captación tradicional |
Préstamos bancarios y de otros organismos |
Capital contribuido |
Ingresos por intereses* |
|
29 |
Captación tradicional |
Capital contribuido* |
Ingresos por intereses* |
Préstamos bancarios y de otros organismos** |
|
30 |
Captación tradicional |
Capital contribuido |
Préstamos bancarios y de otros organismos |
Ingresos por intereses* |
|
31 |
Captación tradicional |
Ingresos por intereses |
Capital contribuido |
Préstamos bancarios y de otros organismos** |
|
32 |
Captación tradicional |
Capital contribuido |
Ingresos por intereses |
Préstamos bancarios y de otros organismos** |
|
33 |
Captación tradicional |
Capital contribuido* |
Préstamos bancarios y de otros organismos* |
Ingresos por intereses* |
|
34 |
Captación tradicional |
Capital contribuido |
Préstamos bancarios y de otros organismos* |
Ingresos por intereses* |
Fuente: Elaboración propia.
*Valor
>0.05.
** Variables que no usan.
4.1. Análisis y comparación de las jerarquías de las SOCAPS con la teoría del orden jerárquico
Con base en las jerarquías expuestas en la Tabla 2, se obtienen las jerarquías finales que se analizarán. De esta forma, se encontraron en las 34 SOCAPS, once jerarquías. La distribución y descripción de estas se muestran en la Figura 2.
Figura. 2. Distribución de frecuencias de las once jerarquías encontradas de las SOCAPS.

Fuente: Elaboración propia.
En la Figura 2, se muestran las distribuciones de frecuencias de las once jerarquías encontradas en las 34 SOCAPS. En esta se pueden encontrar que la jerarquía A, es la que más usan las SOCAPS de México con diez de ellas, el orden de esta jerarquía es: captación tradicional, préstamos bancarios y de otros organismos, y, capital contribuido. En segundo lugar, está el tipo de jerarquía B y su orden es: captación tradicional, capital contribuido, y, préstamos bancarios y de otros organismos. En tercer lugar, hay dos jerarquías la C (su jerarquía es: captación tradicional); y la D (captación tradicional; ingresos por intereses; y, capital contribuido). Estas once jerarquías de las SOCAPS, se compararon con el modelo de jerarquía de financiamiento hipotético planteado en la Tabla 1, que es: captación tradicional, ingresos por intereses, capital contribuido, y, préstamos bancarios y de otros organismos. Asimismo, se debe recordar que los signos de las fuentes de financiamiento de este modelo hipotético son positivos. Por lo cual, las jerarquías halladas de las SOCAPS deben de cumplir con dos condiciones que son: el orden del modelo hipotético y con los signos positivos de las fuentes de financiamiento. En la Figura 3, se muestran las jerarquías que si obedecen a la teoría del orden jerárquico y cuáles no.
Figura. 3. Jerarquías que obedecen a la teoría del orden jerárquico.

Fuente: Elaboración propia.
En la Figura 3, se aprecia que solo cuatro SOCAPS obedecen a la teoría del orden jerárquico (jerarquía C); en cambio, treinta no la siguen (A, B, D, E, F, G, H, I, J y K). Es importante señalar, que la jerarquía C, que es la que cumple con la teoría orden jerárquico, usa solo sus fondos internos, es decir, no usa los préstamos bancarios y de otros organismos. Lo cual, la protege de varios riesgos como el exceso de apalancamiento o la exposición a las variaciones de las tasas de interés de los préstamos interbancarios. Algo que se debe destacar, son las fuentes de financiamiento más usadas por las SOCAPS, esto se muestra en la Figura 4.
Figura. 4. Fuentes de financiamiento más usadas por las SOCAPS.

Fuente: Elaboración propia.
En la Figura 4, se muestra que la primera fuente de financiamiento más usada de acuerdo con las once jerarquías mostradas en la Figura 1, es la captación tradicional, ya que la usan 32 SOCAPS (jerarquías A, B, C, D, E, F, G, H y K); por otro lado, la segunda fuente de financiamiento que más utilizan las SOCAPS son los préstamos bancarios y de otros organismos, con catorce SOCAPS (jerarquías A, F, H y K); la tercera fuente más empleada es el capital contribuido con 16 SOCAPS (jerarquías A, D, H e I). En este punto, se debe indicar que las SOCAPS que tienen como segunda fuente de financiamiento los préstamos bancarios y de otros organismos, se exponen a ciertos riesgos como el exceso de apalancamiento.
4.2. Discusión teórica de los resultados
En la metodología se propuso un modelo de jerarquía de financiamiento hipotético basado en la teoría del orden jerárquico, este orden es: captación tradicional, ingresos por intereses, capital contribuido y en última instancia, préstamos bancarios y de otros organismos. Todas las fuentes de financiamiento de este modelo, tienen signo positivo. Esta propuesta, se basa en la teoría del orden jerárquico, que apunta a que una empresa va a priorizar sus fuentes de financiamiento. En este sentido, su principal fuente de financiamiento serán sus fondos internos, de ahí seguirá la contratación de deuda y en última instancia será la emisión de acciones (Jensen y Meckling, 1976; Herrera-Echeverri, 2018; Mongrut et al., 2010; Arias et al., 2009; Fama y French, 2002; Berumen et al., 2012; Zambrano y Acuña, 2011; Vargas y Castellanos, 2014). Y en las restricciones que tienen las Sociedades Cooperativas de Ahorro y Préstamo (SOCAPS) de México (Zubiaurre, et al., 2016; Gómez y Miranda, 2006; González y Lamorou, 2016; Gómez, 2003; Masa et al., 2016; Cabaleiro e Iglesias, 2016; Dow, 2003; García-Gutierréz, 2000; Andrews, 2015; Mateos, 2010; Pozuelo et al., 2012; Bel y Fernández, 2002; Conde, 2016; Añorve et al., 2018).
Se debe indicar que la teoría del orden jerárquico conlleva que las empresas al momento de requerir financiamiento tienen ciertas preferencias. Siendo su primera opción usar los fondos internos, es decir, primero recurrirá a disponer de los recursos que la empresa tiene. De necesitar más recursos y ya no tener la opción de usar los recursos internos, recurrirá a la contratación o emisión de deuda. Esta segunda fuente de financiamiento conlleva pedir dinero a personas externas de la empresa y exponerla a riesgos crediticios. En caso de necesitar aún más recursos, la empresa optará por la emisión de acciones. Al respecto, esta tercera fuente de financiamiento implica ceder cierto poder en la toma de decisión de la empresa a nuevas personas. Por ello, se deja cómo última opción en las fuentes de financiamiento. En este sentido, los estudios que se han llevado a cabo sobre este tema se han enfocado en empresas privadas o con fines de lucro. Hallando que esta jerarquía si se cumple en estas (Mongrut et al., 2010; Booth et al., 2002; Pérez et al., 2019; Gaytán et al., 2016; Foster y Young, 2013; Berumen et al., 2012; Jensen y Meckling, 1976; Herrera-Echeverri, 2018; Arias et al., 2009; Fama y French, 2002; Zambrano y Acuña, 2011; Vargas y Castellanos, 2014).
Por lo anterior, como se señaló previamente, se adaptó la definición de la teoría del orden jerárquico a las SOCAPS, con el objeto de comprobar si estas obedecen a esta teoría, pero tomando en consideración las restricciones y condiciones que estas tienen. Una de ellas, es que las SOCAPS tienen como fin llevar a cabo actividades de ahorro y préstamos, es decir, su objetivo es captar los recursos de sus socios y colocarlos, pero, solo entre ellos mismos. Lo anterior, es relevante, ya que solo a partir del capital social creado, una SOCAP pueda obtener rendimientos por medio de los intereses cobrados a través de los préstamos otorgados. De esta manera, la principal fuente de ingresos de las SOCAPS es el interés cobrado a sus socios. Otra restricción importante, es que las SOCAPS pueden realizar operaciones ya sea con sus socios o con miembros del sistema financiero, pero condicionadas a que estas actividades no tengan como objeto el lucro; lo anterior, es un impedimento para ofrecer servicios a personas que no sean socios. Otras limitaciones que tienen es que no pueden tener como socios a personas morales; asimismo, están imposibilitadas a crear grupos empresariales; y que cuando una SOCAP obtiene resultados positivos estos se deben informar a la asamblea de socios, ya que estos son quienes decidirán qué hacer con el excedente (Lara et al., 2017; LRASCAP, 2019; Conde, 2016; Añorve et al., 2018; Izquierdo, 2015, 2016; LGSC, 2019; Lara, 2018; Chamú y Torres, 2018).
Otro problema que tienen las SOCAPS, es que frecuentemente los socios tienen poca educación financiera. Esto es relevante, ya que, como se mencionó, la asamblea de socios es quien toma las decisiones en una SOCAP y en ella, cada socio tiene derecho a un voto, es decir, en la toma de decisiones de una SOCAP cada miembro (socio) es quien decide lo que deberá hacerse, ya que cada voto cuenta. Por último, se debe añadir que, por Ley, las SOCAPS deben participar en la creación de varios fondos como el de reserva. Respecto a los recursos con los que cuentan las SOCAPS, estos son: el capital aportado por sus socios, los pasivos contraídos, las reservas que tenga y los beneficios que se han retenido de ejercicios anteriores con el objeto de autofinanciarse. Siendo su principal fuente de ingresos el interés cobrado a sus socios (Lara et al., 2017; LRASCAP, 2019).
Con base en lo anterior, se planteó un modelo de jerarquía de financiamiento hipotético adaptado a las SOCAPS. El orden de este modelo es: captación tradicional, ingresos por intereses, capital contribuido y en última instancia, préstamos bancarios y de otros organismos. Cómo se indicó previamente, los signos de todas las fuentes de financiamiento del modelo son positivos (Jensen y Meckling, 1976; Herrera-Echeverri, 2018; Mongrut et al., 2010; Arias et al., 2009; Fama y French, 2002; Berumen et al., 2012; Zambrano y Acuña, 2011; Vargas y Castellanos, 2014; Zubiaurre, et al., 2016; Gómez y Miranda, 2006; González y Lamorou, 2016; Gómez, 2003; Masa et al., 2016; Cabaleiro e Iglesias, 2016; Dow, 2003; García-Gutierréz, 2000; Andrews, 2015; Mateos, 2010; Pozuelo et al., 2012; Bel y Fernández, 2002; Conde, 2016; Añorve et al., 2018). De esta manera y como se explicó en la metodología, primero se estimaron las betas estandarizadas, se ordenaron y después se quitaron las fuentes de financiamiento que las SOCAPS no usan y que no son estadísticamente significativas. De esta forma, se obtuvieron las jerarquías que se analizaron de las 34 SOCAPS. Así se halló que hay once tipos de jerarquías en las SOCAPS estudiadas.
De las once jerarquías halladas, solo una cumple con el orden del modelo de jerarquía de financiamiento hipotético y con la condición de que los signos de sus fuentes de financiamiento sean positivos, esta es la jerarquía C. Esta representa el 12 % de la muestra; es decir, son en total cuatro las SOCAPS que obedecen al modelo propuesto. Asimismo, se halló que las SOCAPS que emplean la jerarquía tipo C, que son cuatro, solo usan una fuente de financiamiento que es captación tradicional.
También, en los resultados se encontró que la primera fuente de financiamiento más usada es la captación tradicional, que es utilizada por 32 SOCAPS. La segunda más utilizada, es la de préstamos bancarios y de otros organismos, que es elegida por catorce SOCAPS. Mientras que, la tercera fuente de financiamiento más empleada por estas instituciones es el capital contribuido, que la usan 16 SOCAPS. Asimismo, se halló que la jerarquía que más obedecen las SOCAPS es la de tipo A con diez SOCAPS y que representan el 29 % de la muestra. Está jerarquía solo tiene tres fuentes de financiamiento, que son: captación tradicional, préstamos bancarios y de otros organismos, y, capital contribuido. Se debe resaltar, que esta jerarquía, se expone a ciertos riegos, derivados de usar como segunda fuente de financiamiento a los préstamos bancarios y de otros organismos.
Con base en los resultados y el modelo de jerarquía de financiamiento hipotético, se puede establecer que hay evidencia de que la teoría del orden jerárquico sí se cumple en algunas SOCAPS de México. El hecho de que haya evidencia de que la teoría del orden jerárquico se cumpla, significa que las SOCAPS tienen una preferencia en las fuentes de financiamiento. Esta preferencia es que primero optaran por usar sus fondos internos, los cuales, siguen el siguiente orden: captación tradicional, ingresos por intereses y capital contribuido. Lo cual, es sano, porque son recursos propios de las SOCAPS, asimismo, respetan los principios cooperativos (Andrews, 2015) y los acuerdos de Basilea III (2017).
Como segunda opción, la teoría indica que optaran por usar la contratación de deuda. En este sentido, a pesar de las restricciones que tienen las SOCAPS (algunos instrumentos financieros que no pueden usar), estas tienen alguna forma de pedir prestado a otros tipos de instituciones financieras y al gobierno. Esto implica pedir recursos a otras personas externas a las SOCAPS, y por lo cual, exponerla a ciertos riesgos, como un apalancamiento excesivo. Por otra parte, la teoría indica que como tercera opción de financiamiento usarían la emisión de acciones, pero las SOCAPS no pueden hacerlo.
Algo que se debe de resaltar, es que las cuatro SOCAPS que obedecen a la teoría del orden jerárquico, solo se limitan a usar sus fuentes internas, y no utilizan los préstamos bancarios y de otros organismos. De manera específica, las SOCAPS de tipo C, solo usan una fuente de financiamiento que es la captación tradicional (que es una fuente interna). Es así que, las SOCAPS que utilizan esta jerarquía para su financiamiento se limitan solo a las fuentes internas, no usan la contratación de deuda (los préstamos bancarios y de otros organismos).
De esta forma, al preferir usar solo sus recursos internos para financiar sus activos, estas SOCAPS no se exponen tanto a ciertos riesgos como el exceso de apalancamiento y, además, protegen los ahorros de sus socios/clientes. Pero, por otro lado, conlleva una limitación para su crecimiento y que podría provocar que no pueden ofrecer diversos servicios financieros o dar todos los préstamos requeridos, a todos los clientes que lo soliciten. Esto último, es un problema que se ha encontrado en cooperativas de otros países y que se ha estudiado (Andrews, 2015). Sin embargo, el hecho que cuiden o eviten los préstamos externos los protege de ciertos riesgos como el de un apalancamiento excesivo, lo cual va acorde con los acuerdos de Basilea III (2017). Es así, que las SOCAPS de México que utilizan el modelo de orden jerárquico, si tienen una preferencia al momento de financiar sus activos y esta obedece a la teoría del orden jerárquico. Asimismo, estas SOCAPS se limitan a usar solo sus fondos internos, con lo que respetan los principios cooperativos (Andrews, 2015) y los acuerdos de Basilea III (2017) (no caen en un exceso de apalancamiento); pero, esto conlleva que estén limitadas en su crecimiento y en los servicios financieros que otorgan a sus clientes.
Asimismo, la investigación permitió determinar que hay otros tipos de jerarquía, las cuales, no se adieren a la teoría del orden jerárquico, pero que muestran las preferencias de financiamiento que tienen las SOCAPS. En este sentido, estas SOCAPS tienen otro tipo de implicaciones. Una de ellas, y que más resalta, es que la segunda fuente de financiamiento que más usan estas SOCAPS son los préstamos bancarios y de otros organismos (tipos de jerarquías A, F, H y K), con 14 SOCAPS. Esto las pone en riesgos, si no controlan su nivel de apalancamiento, lo que es señalado en los acuerdos de Basilea III (2017). Asimismo hay un tipo de jerarquía que es la I, que tiene como primera fuente de financiamiento a los préstamos bancarios y de otros organismos. Que lo pone en mayores riesgos en comparación con las otras jerarquías.
5. Conclusiones
El objetivo de esta investigación
determinar si las Sociedades Cooperativas de Ahorro y Préstamo de México (SOCAPS)
obedecen a la teoría de la jerarquización financiera, cómo toman sus decisiones
de financiamiento y cuáles son las posibles consecuencias de ello. Para ello,
se obtuvo una muestra de 34 SOCAPS de México, cada una de estas bases de datos
abarca el periodo de enero de 2010 a agosto de 2019. Posteriormente, con base
en la teoría del orden jerárquico y tomando en consideración las restricciones
que tienen las SOCAPS de México, se propuso un modelo de jerarquía de
financiamiento hipotético. Este modelo es: captación tradicional, ingresos por
intereses, capital contribuido y en última instancia, préstamos bancarios y de
otros organismos. Las tres primeras fuentes de financiamiento son internas y la
última es la contratación de deuda. Asimismo, el signo de cada uno de estas
fuentes de financiamiento es positivo. A continuación, basado en el modelo de jerarquía
de financiamiento hipotético, se realizaron 34 regresiones múltiples (una por
cada SOCAP), para obtener las betas estandarizadas de cada una de las variables
que conforman a los 34 modelos. La variable dependiente de los modelos
analizados son los activos totales de las SOCAPS. Después, se analizaron estos
modelos con el coeficiente de determinación y los valores
de
cada variable, esto con el objeto de establecer que son estadísticamente
significativos y válidos. Los coeficientes de determinación de los 34 modelos
indicaron que son estadísticamente significativos, es decir, son
representativos y válidos.
Para crear las
jerarquías que se examinaron, primero se analizaron el valor y los signos de
las betas estandarizadas, para ordenarlas y establecer la jerarquía de la SOCAP
(para esta primera parte se toma en consideración, las fuentes de
financiamiento que no usan). Para ello, se siguió el siguiente orden: betas
estandarizadas positivas, betas estandarizadas negativas y por último las
fuentes de financiamiento que no se usan. Una vez obtenido el orden de las 34
SOCAPS con lo descrito, se procedió a quitar las betas estandarizadas que tienen
valores
menores
a 0.05, es decir, que no son estadísticamente significativas y las que no usan.
Con esto, se consiguieron las jerarquías finales que se analizaron.
De esta manera, se hallaron once tipos de jerarquías. Estas se contrastaron con el modelo de jerarquía de financiamiento hipotético propuesto y se encontró que una de ellas concuerda con esta. Es decir, respeta el orden del modelo y los signos positivos. Esto indica, que hay una jerarquía que tiene cuatro SOCAPS, que obedecen a la teoría del orden jerárquico (tanto en el orden como en los signos positivos). También, la evidencia encontrada permitió determinar que las SOCAPS que obedecen a la teoría del orden jerárquico propuesta en esta investigación, solo usan sus fuentes internas para financiar sus activos totales. Lo cual, las protege de riesgos como el excesivo apalancamiento, pero, también es una limitante para su crecimiento. De esta forma, la investigación concuerda con lo señalado por otros autores como Andrews (2015), con respecto a que las cooperativas se ven limitadas en sus fuentes de financiamiento y por ello, en su crecimiento.
Por lo anterior, se comprueba que las SOCAPS de México si tienen una preferencia en sus fuentes de financiamiento y que estas obedecen a la teoría del orden jerárquico. Asimismo, al emplear solo sus fuentes internas, estas SOCAPS están limitadas en su crecimiento y pueden estar en la situación de no poder satisfacer las necesidades financieras de sus clientes/socios. La ventaja que tienen estas SOCAPS, es que están protegidas de los riesgos como el apalancamiento excesivo y que protegen los ahorros de sus socios, lo cual, es bueno y concuerda con lo propuesto en los acuerdos de Basilea III (2017).
Por otro lado, los resultados también mostraron que, de las once jerarquías halladas, cuatro de ellas usan como segunda fuente de financiamiento para sus activos, los préstamos bancarios y de otros organismos, lo cual, las pone en riesgo de caer en un exceso de apalancamiento. Lo anterior, es peligroso, ya que están expuestas a caer en la quiebra en caso de no controlar sus niveles de apalancamiento o de entrar en escenarios de tasas de interés interbancarias muy altas, y esto perjudicaría a sus clientes/socios. Con base en lo anterior, se concluye que el modelo de jerarquización propuesto en esta investigación permite determinar si las SOCAPS obedecen a la teoría del orden jerárquico. Lo que lleva a poder estudiar con mayor detalle las fuentes de financiamiento de las SOCAPS, y, poder conocer los riesgos y limitaciones a los que estas se enfrentan.
Basándose en lo anterior, se puede afirmar que se alcanzó el objetivo de la investigación. Algunas de las limitaciones de la investigación, son que el estudio se enfocó en un solo tipo de cooperativas de México, dejando de lado otras; y, que es un estudio general, faltaría realizar una particular (estudio de caso). Esta propuesta, ayuda a abrir una nueva forma de estudiar a las cooperativas, ya que se toman conceptos que se aplican al estudio de las instituciones con fines de lucro y que todavía se siguen investigando, en las sociedades cooperativas. Lo anterior con el objeto de diagnosticar a las cooperativas y contribuir a su fortalecimiento. Como futuras líneas de investigación, se sugiere aplicar el modelo propuesto a otros tipos de sociedades cooperativas y mostrar las características de estas, como su nivel de apalancamiento. Con ello se podrá conocer más de las cooperativas. También, realizar un estudio de caso, aplicando la metodología mostrada para conocer a detalle la estructura de capital de las SOCAPS, y así poder analizar sus limitaciones en sus fuentes de financiamiento y sus efectos en sus capacidades competitivas.
6. Referencias bibliográficas
Andrews, A. M. (2015) Investigación sobre Capital Cooperativo. Madison, WI: Alianza Cooperativa Internacional.
Añorve Fonseca, N. N., Agatón Lorenzo, D., y Cruz Vicente, M. Á. (2018) Opción financiera, la presencia de las sociedades cooperativas de ahorro y préstamo en el estado de Guerrero, 2015-2017. Dinámica económica y procesos de innovación en el desarrollo regional A.C, NA. ISBN UNAM: 978-607-30-0000-0.
Arias, M., A. L., Flavio, L., Pelayo, M., y Cobián, S. (2009) Factores institucionales que influyen en la decisión de estructura de capital de las empresas en México. Expresión Económica, Revista de Análisis, Nº 22, pp. 49-64.
Atkin, M., y Glen, J. (1992) Comparing corporate capital structures around the globe. The International Executive, Vol. 34, Nº 5, pp. 369-397. DOI. https://doi.org/10.1002/tie.5060340502.
Bardswick, K., Suee, T., Ting, Ch., Roelants, B., Lowery, F., Hampel, B., Schatz, W., Kuijpers, A., Groeneveld, H., Bancel, J., Hunt, P., Ombado, G., Shadbolt, N., Duncan, A. (2017) The Capital Conundrum for Co-operatives. Brussels-Belgium: International Co-operative Alliance.
Basilea III (2017) Basilea III: Marco regulador global para reforzar los bancos y sistemas bancarios. 2017. Basilea, Suiza: Banco de pagos internacionales. Comité de Supervisión Bancaria de Basilea. ISBN: 92-9131-571-0 o 92-9197-571-0.
Bel Durán, P., y Fernández Guadaño, J. (2002) La financiación propia y ajena de las sociedades cooperativas. CIRIEC-España, Revista de Economía Pública, Social y Cooperativa, Nº 42, pp. 101-130.
Berumen González, J., García Soto, P., y Domenge Muñoz, R. (2012) Determinantes de la estructura de capital en la pequeña y mediana empresa familiar en México. Contaduría y administración, Vol. 57, Nº 3, pp. 67-96.
Booth, L., Aivazian, V., Demirguc‐Kunt, A., y Maksimovic, V. (2002) Capital structures in developing countries. The journal of finance, Vol. 56, Nº 1, pp. 87-130. DOI. https://doi.org/10.1111/0022-1082.00320.
Cabaleiro Casal, M. J., e Iglesias Malvido, C. (2016) La utilidad del excedente para el análisis de la información financiera en las sociedades cooperativas. REVESCO. Revista de Estudios Cooperativos, Tercer Cuatrimestre, Nº 122, pp. 34-58. DOI: http://dx.doi.org/10.5209/REVE.52985.
Chamú Gasca, P., y Torres Ortiz, J. R. (2018) Algunas consideraciones sobre las sociedades cooperativas de ahorro y préstamos en la economía mexicana: evolución y perspectivas. Realidad Económica, Nº 57, pp. 75-84.
Comisión Nacional Bancaria y de Valores (CNBV) Información de la situación financiera: Sociedades Cooperativas de Ahorro y Préstamo, Estados financieros condensados. México. Fecha de consulta: febrero de 2020. Extraído de https://portafolioinfo.cnbv.gob.mx/Paginas/PIExcel/sc_infosituacion.aspx.
Conde Bonfil, C. (2016) Entendiendo las diferentes perspectivas de las empresas sociales en México. Ciências Sociais Unisinos, Vol. 52, Nº 52, pp. 321-342.
Dow, G. K. (2003) Governing the firm: Workers' control in theory and practice. Cambridge: University Press.
Fama, E. F., y French, K. R. (2002) Testing trade-off and pecking order predictions about dividends and debt. The review of financial studies, Vol. 15, Nº 1 pp. 1-33.
Figueroa, L., y Magaña, D. (2018) Las sociedades cooperativas de ahorro y préstamo en México la teoría de la empresa alternativa, social y pluralista (stakeholder). Alegatos, Nº 99, pp. 269-286.
Foster, M., y Young, M. (2013) Capital Structure Determinants for Emerging Markets by Geographic Region. Journal of Applied Financial Research, Vol. 1, pp. 55-87. SSRN: https://ssrn.com/abstract=2685321.
García-Gutierréz Fernández, C. (2000) Análisis de la solvencia y del riesgo económico-financiero de la sociedad cooperativa. El riesgo sobre la rentabilidad de los socios. REVESCO. Revista de Estudios Cooperativos, Nº 72, pp. 51-86.
Gaytán, J., Bonales, J., y Vargas, J. A. (2016) Factores estratégicos en la estructura de capital de las empresas de los sectores de servicios y la comunicación en México. Memoria del X Congreso de la Red Internacional de Investigadores en competitividad. México, pp. 2103-2118.
Gómez Aparicio, P. (2003) El capital social en las sociedades cooperativas. Las Normas sobre los aspectos contables de las sociedades cooperativas a la luz de los principios cooperativos. CIRIEC-España, Revista de Economía Pública, Social y Cooperativa, Nº 45, pp.0.
Gómez Aparicio, P.; Miranda García, M. (2006) Sobre el régimen económico y financiero particular de las sociedades cooperativas. REVESCO. Revista de Estudios Cooperativos, Tercer Cuatrimestre, Nº 90, pp. 28-56.
González Velázquez, M. L., y Lamorou Torres, P. A. (2016) Procedimiento para evaluar la gestión económico-financiera de las Cooperativas Agropecuarias en el territorio holguinero. Revista de Cooperativismo y Desarrollo, Vol. 4, Nº 4, pp. 65-76.
Handoo, A., y Sharma, K. (2014) A study on determinants of capital structure in India. IIMB Management review, Vol. 26, Nº 3, pp. 170-182.
Herrera-Echeverri, H. (2018) Estructura óptima de capital para empresas en mercados maduros de economías emergentes: una aplicación. Universidad & Empresa, Vol. 20, Nº 34, pp. 157-191. DOI: https://doi.org/10.12804/revistas.urosario.edu.co/empresa/a.5463.
Instituto Nacional de Estadística y Geografía (INEGI) Índice Nacional de Precios al Consumidor (INPC). México. Fecha de consulta: febrero de 2020. Extraído de https://www.inegi.org.mx/temas/inpc/.
Izquierdo, M. E. (2015) Cooperativas de ahorro y crédito en México. Boletín de la Asociación Internacional de Derecho Cooperativo, Nº49, pp. 49-63.
Izquierdo, M. E. (2016) Cooperativas de producción en México y reformas fiscales. Boletín de la Asociación Internacional de Derecho Cooperativo, Nº 50, pp. 103-126. DOI: http://dx.doi.org/10.18543/baidc-50-2016pp103-126.
Jensen, M. C., y Meckling, W. H. (1976) Theory of the firm: Managerial behavior, agency costs and ownership structure. Journal of Financial Economics, Vol. 3, Nº 4, pp. 305-360.
Lajara-Camilleri, N., y Mateos-Ronco, A. (2012) Estructura financiera y logro empresarial en cooperativas agrarias: una aproximación empírica. Economía Agraria y Recursos Naturales, Vol. 12, Nº 2, pp. 77-101.
Lara Gómez, G. (2018) La equidad horizontal en la tributación de las cooperativas en México. Boletín de la Asociación Internacional de Derecho Cooperativo, Nº53, pp. 251-273.
Lara Gómez, G. (2012) Cambio Organizacional en una Federación de Ahorro y Crédito Popular. México: Plaza y Valdés.
Lara Gómez, G., y Rico Hernández, A. (2011) La contribución de las cooperativas de ahorro y crédito al desarrollo local en Querétaro, México. REVESCO. Revista De Estudios Cooperativos, Tercer Cuatrimestre, Nº 106, pp. 121-149. DOI: https://doi.org/10.5209/rev_REVE.2011.v106.37376.
Lara Gómez, Pérez Sosa, F. A. y Hurtado Maldonado, J. (2017) Finanzas Populares en México. Primera edición. México: Fontamara.
Levin, R. I. y Rubin, D. S. (2004) Estadística para administración y economía. México: Pearson Educación.
Ley general de sociedades cooperativas (2019) Diario Oficial de la Federación, H. Congreso de la Unión. Recuperado de http://www.diputados.gob.mx/LeyesBiblio/pdf/143_190118.pdf.
Ley para regular las actividades de las sociedades cooperativas de ahorro y préstamo (2019) Diario Oficial de la Federación, H. Congreso de la Unión. Recuperado de http://www.diputados.gob.mx/LeyesBiblio/pdf/LRASCAP_280414.pdf.
Masa Lorenzo, C. I., Iturrioz del Campo, J., y Martín López, S. (2016) Aspectos determinantes del fracaso empresarial: efecto de la proyección social de las sociedades cooperativas frente a otras formas jurídicas. CIRIEC-España, Revista de Economía Pública, Social y Cooperativa, Nº 88, pp. 92-125.
Mateos Ronco, A. (2010) La información financiera en las sociedades cooperativas. Efectos en la evaluación de la solvencia. Revista de Contabilidade do Mestrado em Ciências Contábeis da UERJ, (online), Rio de Janeiro, Vol. 14, Nº 3, pp. 2-13.
Medina, A., y Flores, U. (2015) Estudio jurídico y fiscal de las sociedades cooperativas como empresas de carácter social en la región mixteca Oaxaca, México y su situación actual. Boletín de la Asociación Internacional de Derecho Cooperativo, Nº 49, pp. 251-228.
Miller, M. H. (1977) Debt and taxes. The Journal of Finance, Vol. 32, Nº 2, pp. 261-275.
Modigliani, F., y Miller, M. (1958) The cost of capital, corporation finance and the theory of invesment. The american Economic Review, Vol. 48, Nº 3, pp. 261-297.
Modigliani, F., y Miller, M. H. (1963) Corporate income taxes and the cost of capital: a correction. The American economic review, Vol. 53, Nº 3, pp. 433-443.
Mongrut, S., Fuenzalida, D., Pezo, G., y Teply, Z. (2010) Explorando teorías de estructura de capital en Latinoamérica. Cuadernos de administración, Vol. 23, Nº 41, pp. 163-184.
Myers, S. C. (1984) The capital structure puzzle. The journal of finance, Vol. 39, Nº 3, pp. 575-592. DOI: 10.3386/w1393.
Myers, S. C., y Majluf, N. S. (1984) Corporate financing and investment decisions when firms have information that investors do not have. Journal of financial economics, Vol. 13, Nº 2, pp. 187-221. DOI: https://doi.org/10.1016/0304-405X(84)90023-0.
Ollivier, J. Ó. y Thompson, P. I. (2017) Guía para elaborar trabajos de investigación. Chihuahua, México: Universidad Autónoma de Chihuahua.
Pérez, R., Brufman, L., y Saguí, N. (2019) Why do Latin American firms hold so much more cash than they used to? Revista Contabilidade & Finanças, enero-abril 2019, volumen 30, Nº 79, pp. 73-90. DOI: https://doi.org/10.1590/1808-057x201805660.
Pozuelo Campillo, J., Carmona Ibáñez, P., y Martínez Vargas, J. (2012) Las sociedades cooperativas y las empresas capitalistas en la Comunidad Valenciana: análisis comparado de su estructura económica y financiera. CIRIEC-España, Revista de Economía Pública, Social y Cooperativa, Nº 74, pp. 117-147.
Rajan, R. G., y Zingales, L. (1995) What do we know about capital structure? Some evidence from international data. The journal of Finance, Vol. 50, Nº 5, pp. 1421-1460. DOI: https://doi.org/10.1111/j.1540-6261.1995.tb05184.x.
Ramírez, R., Castillo, F. (2016) Determinantes de la estructura de capital de las empresas industriales peruanas, a la luz de la Teoría de Pecking Order, en el período 2007-2014. Revista Ex Cathedra en negocios, Vol. 1, Nº 1, pp. 52-63.
Ramli, N. A., Latan, H., y Solovida, G. T. (2019) Determinants of capital structure and firm financial performance—A PLS-SEM approach: Evidence from Malaysia and Indonesia. The Quarterly Review of Economics and Finance, Vol. 71, pp. 148-160. DOI: https://doi.org/10.1016/j.qref.2018.07.001.
Rodríguez, A., y Dorantes, P. M. (2016) La reciente reforma financiera en México: Transformaciones y perspectivas. ECONOMÍAunam, Vol.13, Nº 37, pp. 89-106.
Shyam-Sunder, L., y Myers, S. C. (1999) Testing static tradeoff against pecking order models of capital structure. Journal of financial economics, Vol. 51, Nº 2, pp. 219-244. DOI: https://doi.org/10.1016/S0304-405X(98)00051-8.
Stiglitz, J. E. (1969) A re-examination of the Modigliani-Miller theorem. The American Economic Review, Vol. 59, Nº 5, pp. 784-793.
Torres Grimaldo, J. A., y Cano Morales, A. M. (2019) Importancia del Gobierno Corporativo en las sociedades financieras populares en México. Cuadernos de contabilidad, Vol. 20, Nº 49. DOI: https://doi.org/10.11144/Javeriana.cc20-49.igcs.
Torres Ortiz, J. R., y Villaseñor Báez, L. G. (2017) Dos tendencias características de las Sociedades Cooperativas de Ahorro y Préstamo en México. Un análisis estático contable 2015. Realidad Económica, Nº 74.
Valcacer, S., de Moura, H., Lopez, D., y Amorim, V. (2017) Capital structure management differences in Latin American and US firms after 2008 crisis. Journal of Economics, Finance and Administrative Science, Vol. 22, Nº 42, pp. 51-74. DOI: 10.1108/JEFAS-01-2017-0008.
Vargas, A., y Castellanos, C. (2014) Estructura de capital óptima en presencia de costos de dificultades financieras. Investigación & Desarrollo, Vol. 1, Nº 14, pp. 44-65.
Zambrano Vargas, S. M., y Acuña Corredor, G. A. (2011) Estructura de capital. Evolución teórica. Criterio Libre, Vol. 9, Nº 15, pp. 81-102.
Zubiaurre, M. Á., Andicoechea, L., y Saitua, A. (2016) Sociedades cooperativas de trabajo asociado versus sociedades de capital. Análisis comparado de fortaleza financiera y rentabilidad en el País Vasco. CIRIEC-España, Revista de Economía Pública, Social y Cooperativa, Nº 86, pp. 154-194.
[1] Universidad Autónoma de Querétaro, México.
Dirección de correo electrónico: lcruz227@alumnos.uaq.mx.
[2] Tecnológico de Monterrey, México.
Dirección de correo electrónico: f.perez@tec.mx.