ISSN: 1885-8031
https://dx.doi.org/10.5209/REVE.77446
Análisis de eficiencia no paramétrica de las cooperativas agroalimentarias españolas
Natalia Aldaz Ibáñez[1]
,
José S. Millán Gómez[2]
,
Margarita Moltó Aribau[3]
,
Blanca Escardíbul Ferrá[4]
y Pilar Cos Sánchez[5]![]()
Recibido: 9 de octubre de 2020 / Aceptado: 14 de julio de 2021 / Publicado: 25 de octubre de 2021
Resumen. Se analiza la eficiencia, desde una perspectiva agregada, en el uso de los factores de producción de 501 cooperativas agroalimentarias españolas en los años 2014-2017. Las cooperativas del estudio abarcan 22 actividades principales y se agrupan en 4 tamaños. Se trata de evaluar la aplicación adecuada de los recursos en la obtención de bienes o servicios para lo cual se obtienen, para cada cooperativa, tres indicadores que relacionan los gastos en recursos con los ingresos de explotación. Estos indicadores reflejan el uso de los factores de producción, y su inversa corresponde a una medida de eficiencia. Se realiza un análisis de tipo comparativo y multifactorial que se basa en la técnica de envolvimiento de datos (DEA) que proporciona valores de eficiencia relativos respecto a la mejor o las mejores prácticas. Se comparan los resultados de eficiencia obtenidos considerando rendimientos constantes a escala (RCE) y rendimientos variables a escala (RVE). Constatando el peso, todavía importante, que tienen las cooperativas pequeñas en el sector agroalimentario español, se obtienen valores de eficiencia medios, por tamaño de las cooperativas, y también por actividad productiva principal y por Comunidad Autónoma. Finalmente, y por la importancia del sector cooperativo agroalimentario en Cataluña, se comparan los resultados obtenidos por las cooperativas agroalimentarias catalanas con los obtenidos por las cooperativas agroalimentarias del resto de España. En los valores de eficiencia obtenidos con DEA no se aprecian sesgos en las cooperativas eficientes, que son tanto grandes, como medianas y pequeñas Se ha producido, en general, un incremento en la eficiencia media de los grupos de actividad, entre los años 2014 y 2017, tanto con RCE como con RVE. Los valores de eficiencia para las cooperativas catalanas y las cooperativas del resto de España son similares, aunque se observa una menor eficiencia para las primeras en comercio de frutas y hortalizas y en producción de pienso.
Palabras clave: Productividad; Envolvimiento de datos; Rendimientos a escala; Cooperativas; Sectores agroalimentarios.
Claves Econlit: C14; D24; J54.
[en] Non-parametric efficiency analysis in the Spanish agri-food co-operatives
Abstract. In aggregate perspective, this paper analyses the productive efficiency of 501 Spanish agri-food co-operatives over 2014-2017 period, covering 22 main activities and 4 different co-operative sizes. The focus is on the efficient use of resources to obtain goods and services for which three ratios are obtained, for each co-operative, between factor and product. This is a measure of factor use and the inverse is an efficiency measure. Furthermore, a non-parametric efficiency is obtained using Data Envelopment Analysis (DEA). Efficiencies estimated using DEA are relative, that is, relative to the best performing. A comparison of results is made assuming that the operations follow both constant returns to scale (CRS) and variable return to scale (VRS). The results are given aggregate by cooperative main activity, by cooperative size and by region. Finally, and due to the importance of the sector in Catalonia, a comparison between Catalan agri-food co-operatives efficiencies and the rest of Spanish agri-food co-operatives efficiencies is presented. In the efficiency values calculated by the DEA, no biases are observed in efficient cooperatives, which are both large, medium and small size. In general, it has been observed an increase in the average efficiency of the activity groups, between 2014 and 2017, both with RCE and with RVE. The efficiency scores for Catalonian co-operatives and for the rest of the Spanish co-operatives are very similar, although efficiencies of fruits and vegetables and animal food co-operatives are smaller in Catalonian than in Spanish ones.
Keywords: Productivity; Envelopment analysis; Return to scale; Co-operatives; Food industry.
Sumario. 1. Introducción. Objetivos y estructura del trabajo. 2. Metodología. 3. Datos. 4. Resultados. 5. Conclusiones. 6. Referencias bibliográficas.
Cómo citar. Aldaz Ibáñez, N.; Millán Gómez, J.S.; Moltó Aribau, M.; Escardíbul Ferrá, B.; Cos Sánchez, P. (2021) Análisis de eficiencia no paramétrica de las cooperativas agroalimentarias españolas. REVESCO. Revista de Estudios Cooperativos, vol. 139, e77446. https://dx.doi.org/10.5209/reve.77446.
1. Introducción. Objetivos y estructura del trabajo
El sector agroalimentario, como otros sectores productivos, se enfrenta a importantes retos. Abordar cambios en las tecnologías de producción, incrementar la calidad de los productos, ganar cuota en los mercados internacionales o mejorar la eficiencia o productividad, son solo algunos de ellos. Además, las empresas tienen que satisfacer los requerimientos, cada vez más exigentes, de los consumidores, gestionar la creciente concentración de las cadenas de distribución o integrarse en mercados globalizados. En este contexto, las cooperativas agroalimentarias han sido y son un elemento imprescindible, tanto desde una perspectiva económica como social.
Un mayor poder de negociación con clientes y proveedores, disponer de recursos para ampliar mercados y diferenciar productos o, más recientemente, digitalizar algunos de procesos productivos y de gestión de los socios, hacen de las cooperativas agroalimentarias importantes generadores de actividad económica. En 2018, el 28 por cien de las ventas netas de la industria alimentaria española procedían de las ventas de las 3.600 cooperativas agroalimentarias (OSCAE, 2019) que operaban en España y que agrupaban a más de un millón de personas socias productoras y a 111.000 trabajadores.
Esta relevancia económica no esconde que uno de los desafíos a los que se enfrenta el cooperativismo agroalimentario, al igual que el sector agroalimentario en su conjunto, sigue siendo mejorar su competitividad. Considerando el reducido tamaño de muchas de las cooperativas agroalimentarias, una importante vía para incrementar la competitividad, sobre la que existe gran consenso, es aumentar el tamaño de estas organizaciones. En Arcas et al. (2014), se analiza la importancia del tamaño como factor de competitividad y se presentan fórmulas de crecimiento de las cooperativas agroalimentarias. Siendo el tamaño un destacado factor de competitividad, existen otros factores como son la inversión en I+D+i, la digitalización o la modernización de procesos productivos que mejoren la eficiencia de estos. Sin duda, el análisis de la competitividad tiene múltiples facetas y por lo tanto múltiples enfoques. Juliá et al. (2010) proponen líneas de actuación que las cooperativas agroalimentarias españolas podrían adoptar para incrementar su competitividad.
El objetivo general de este trabajo es obtener valores de eficiencia en el uso de los factores de producción de las cooperativas agroalimentarias españolas, desde una perspectiva agregada y singularmente de los diferentes sectores que se caracterizan por la actividad principal de las cooperativas. Se trata, entonces, de evaluar la aplicación adecuada de los recursos en la obtención de bienes o servicios. Las medidas de eficiencia que se proponen se realizan desde un punto de vista estrictamente económico, ya que la información necesaria se obtiene de un documento contable como es la cuenta de resultados.
Este enfoque no permite la consideración explícita, aunque sí implícitamente, de cuestiones específicas de gestión de cada cooperativa, como son la mejora de los procesos productivos, la innovación o a la internacionalización, pero proporciona una información muy rica sobre eficiencia en el uso de los recursos de cada cooperativa, y siendo posible también agregar los resultados por actividad productiva principal y por tamaño además de por la Comunidad Autónoma a la que pertenece cada una de las cooperativas.
En línea con lo anterior, se concretan los objetivos, que tienen como marco común la obtención y el análisis de los valores de eficiencia de las cooperativas agroalimentarias españolas y agregarlos por actividad principal, por Comunidad Autónoma y por tamaño. Estos objetivos específicos son:
i) Calcular la intensidad en el uso de los factores y analizar la eficiencia productiva desde una perspectiva unifactorial.
ii) Calcular medidas de eficiencia no paramétrica y analizar la eficiencia desde una perspectiva multifactorial. Se consideran rendimientos constantes de escala y rendimientos variables de escala, lo que permite estudiar efectos de escala.
iii) Comparar los valores de las eficiencias obtenidas en 2014 y 2017, incorporando así el análisis dinámico.
iv) Comparar los resultados de eficiencia para las cooperativas agroalimentarias de Cataluña con los obtenidos por las cooperativas del resto de España.
Data Envelopment Analysis (DEA) es una técnica basada en programación lineal para estimar la eficiencia de empresas o de lo que en la literatura se denomina unidades de decisión y que en este trabajo son las cooperativas agroalimentarias españolas. El análisis es del tipo comparativo, es decir, de entre todas las cooperativas analizadas se determina aquellas que tienen los niveles de eficiencia más altos y se comparan el resto con estas mejores prácticas. Por lo tanto, los valores de eficiencia obtenidos son valores relativos y lo son respecto a la mejor o las mejores prácticas de entre las cooperativas consideradas en el análisis.
El trabajo se estructura en los siguientes bloques, en la sección 2 de metodología se presenta de forma sucinta el modelo básico de DEA. La sección 3 introduce la base de datos de las cooperativas agroalimentarias españolas y mediante un resumen estadístico define las variables consideradas en el análisis. En la sección 4, se detallan los resultados más relevantes tanto de la eficiencia en el uso de los distintos factores de producción como de los valores de eficiencia obtenida mediante la metodología DEA, comparando resultados considerando rendimientos constantes de escala y rendimientos variables de escala. Se incide, especialmente, en los valores medios por actividad productiva y dimensión. También, en esta sección, y por su importancia, se presentan los valores de eficiencia de las cooperativas catalanas comparándolos con la eficiencia obtenida en las cooperativas del resto de España. Finalmente, en la sección 5 se presentan las conclusiones del análisis.
2. Metodología
Para obtener los indicadores de eficiencia, se ha utilizado la técnica no paramétrica Data Envelopment Analysis (DEA) o técnica de envolvimiento de datos. Mediante esta técnica se evita definir una forma explícita de la función de producción ya que se basa en un número mínimo de asunciones respecto a la tecnología subyacente de la función de producción, sin especificación de forma funcional, representando una aproximación conservadora de la frontera (Ray, 2020). Farrell (1957) inicia la perspectiva económica de medición de la eficiencia productiva en su trabajo seminal de caracterización de eficiencias técnica y asignativa. La formulación de Farrell se traslada a un modelo de programación lineal que mide la eficiencia técnica de empresas respecto a la tecnología que define el resto de las observaciones eficientes.
Charnes, Cooper, y Rhodes (CCR) (1978) sienta las bases modernas de la metodología DEA en la medida de eficiencia desde la perspectiva de la investigación operativa. El modelo CCR plantea la medida de la eficiencia de lo que denominan unidades de decisión (que no son empresas necesariamente) pudiendo analizar situaciones con múltiples inputs y outputs, y sin requerir de la información de precios. Unidades de decisión que pueden hacer referencia a observaciones como hospitales, universidades o sectores o regiones. Todas ellas tienen producciones identificables, pero en muchos casos no se dispone de información sobre los precios de los productos. A partir de los trabajos citados, se genera una vasta producción científica tanto desde el punto de vista de las aplicaciones a empresas, distintos tipos de entidades, sectores o países como de los avances teóricos de la metodología.
Algunos trabajos de revisión donde se recogen diferentes ámbitos de aplicación de DEA son Liu et al. (2013) y Emrouznejad y Yang (2018). Abate et al. (2014), Ahn et al. (2012), Brandano et al. (2019) y Martínez Victoria et al. (2018), entre otros, utilizan técnicas DEA en el análisis de la eficiencia de cooperativas agrarias. Grashuis y Hus (2019) recogen trabajos que utilizan DEA para medir productividad y eficiencia en una revisión de la literatura empírica de cooperativas agrarias.
Desde la vertiente metodológica muchas han sido las aportaciones en los últimos cuarenta años. Entre dichas aportaciones destacan Andersen and Petersen (1993) con su propuesta del enfoque que denominaron super eficiencia, en la cual y sucesivamente se excluyen observaciones en la construcción de la frontera eficiente y que permite mejorar el poder de discriminación entre las observaciones eficientes. Otro enfoque se encuentra en Chung, Fare, y Grosskopf (1997) en el que se determina la eficiencia mediante la función de distancia direccional. Esta medida permite la contracción de los factores de producción y la expansión del output en una determinada dirección. Otros modelos de cálculo de eficiencia no radial SBM (slack based measure) fueron desarrollados por Tone (2001) y Pastor, Ruíz y Sirvent (1999), adoptado en Millán y Aldaz (2004), donde se analizan los componentes de la medida de productividad de las agriculturas europeas a partir de datos de panel. Una revisión amplia, actualizada y con referencia a diversas extensiones es Ray (2020).
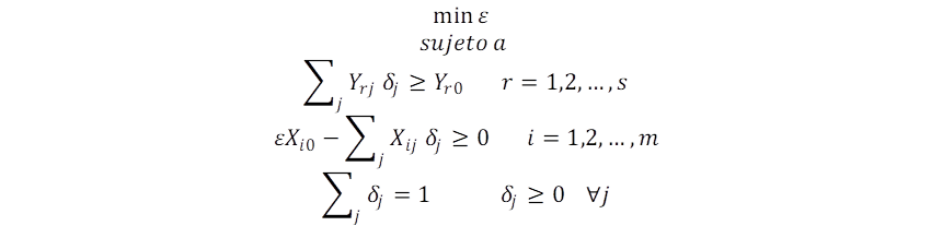
El modelo de DEA que se propone en esta aplicación es el conocido como modelo BCC, Banker, Charnes y Cooper (1984), en el que partiendo del modelo CCR, con rendimientos constantes de escala (RCE) se incorporan rendimientos variables de escala (RVE), haciendo posible distinguir entre ineficiencia técnica e ineficiencia de escala. A continuación, se presenta el modelo básico orientado a input.
Sean j las observaciones a evaluar j=1,…, n, Xi, los inputs i =1,..., m y Yr los outputs, r=1,..., s. Sea Ɛ (eficiencia), la contracción de todos los inputs para alcanzar la frontera eficiente.

Con la resolución del programa lineal, para cada
observación, se obtiene la máxima reducción equiproporcional en todos los
inputs, asegurando que el producto de las mejores prácticas no sea inferior a
los outputs observados y que los factores empleados por las mejores prácticas
no superen los inputs observados. Es decir, el valor de la eficiencia Ɛ
tiene una interpretación geométrica directa como un factor de contracción de
los inputs. La restricción
permite asumir rendimientos variables de escala.
Para la resolución de los programas lineales y la obtención de los valores de las eficiencias, se ha utilizado el software R, R Core Team (2013)[6] y el paquete Benchmark and Frontier Analysis Using DEA and SFA, Peter Bogetoft y Lars Otto (2018)[7].
3. Datos
3.1. Caracterización de las cooperativas
La base de datos SABI (Sistema de Análisis de Balances Ibéricos), proporciona la información necesaria para estimar los valores de la eficiencia de las cooperativas agroalimentarias españolas y singularmente de las catalanas. Con esta misma base de datos, Martínez Victoria et al. (2018) analizan 172 cooperativas agroalimentarias y 172 empresas privadas agroalimentarias entre los años 2010 y 2012 y Arcas et al. (2019) estudian la situación económica y financiera de 447 cooperativas agroalimentarias, considerando factores relevantes como tamaño o sector de actividad, en el período 2015-2017.
Se seleccionan cooperativas agroalimentarias activas de todo el territorio español y cuya actividad principal sea agraria. Dichas actividades se presentan en 49 grupos NACE Rev. 2 (código NACE 0111 a código NACE 7490) aunque finalmente los valores medios se centren en aquellas actividades con mayor número de cooperativas analizadas. Se han depurado los datos brutos procedentes de SABI ya que, en algunas ocasiones, el código NACE de la cooperativa no se correspondía a la descripción de su actividad productiva.
Para completar la selección de las cooperativas agrarias se ha adoptado un criterio de tamaño mínimo, seleccionando aquellas cooperativas cuya facturación fuera superior a 200.000 euros anuales y un criterio de disponibilidad de datos, seleccionando las cooperativas con datos disponibles los años 2014, 2015, 2016 y 2017.
Con los criterios mencionados, finalmente, se analizan 501 cooperativas agroalimentarias españolas. Estas cooperativas facturaron 10.139 millones de euros en 2017 frente a 31.358 millones de euros de facturación del total de las cooperativas agroalimentarias españolas, OSCAE (2019), lo que representa prácticamente un tercio (32,5%) del total de la facturación.
El presente trabajo se centra en el análisis de la eficiencia de los distintos sectores productivos, determinados por la actividad principal de la cooperativa, pero la información de la que se dispone permite también un análisis territorial, por CCAA y por dimensión de las cooperativas. Se presenta la Tabla 1 donde se detalla el número de cooperativas agroalimentarias de cada CCAA que forman parte del análisis. Seis CCAA tienen más de cincuenta cooperativas analizadas y en conjunto, estas seis CCAA, suman el 80% del total de las cooperativas.
Tabla. 1. Cooperativas por CCAA
|
Número cooperativas |
% |
CCAA |
Número cooperativas |
% |
|
|
Cataluña |
91 |
18,2 |
Murcia |
13 |
2.6 |
|
Extremadura |
81 |
16,2 |
Galicia |
9 |
1,8 |
|
Castilla-León |
62 |
12,4 |
Asturias |
7 |
1,4 |
|
Andalucía |
58 |
11,6 |
Madrid |
6 |
1,2 |
|
Aragón |
55 |
11,0 |
Canarias |
5 |
1,0 |
|
Castilla-Mancha |
54 |
10,8 |
Navarra |
5 |
1,0 |
|
Comunidad Valenciana |
34 |
6,8 |
Cantabria |
3 |
0,6 |
|
La Rioja |
16 |
3,2 |
País Vasco |
2 |
0,4 |
Fuente: Elaboración propia. Datos SABI
La Tabla 2 presenta el número de cooperativas analizadas de las orientaciones de las que se disponía de datos de más de tres cooperativas. Por número de cooperativas, destaca la elaboración de vinos, que en el conjunto de cooperativas españolas representan más del 20%, seguidas, de lejos por fabricación de aceites y grasas, fabricación de productos para la alimentación animal y comercio al por mayor de frutas y hortalizas con una participación similar, en torno al 10% de las empresas. Destaca la relevancia, en cuanto a número de cooperativas, que tienen en Cataluña las cooperativas de comercialización de frutas y hortalizas.
Tabla. 2. Cooperativas por actividad productiva principal
|
Cód. NACE |
Actividades principales |
Número de cooperativas |
% |
Cataluña |
% |
|
1041 |
Fabricación de aceites y grasas |
52 |
10,4 |
13 |
14,3 |
|
1091 |
Fabricación de productos para la alimentación animal |
49 |
9,8 |
10 |
11,0 |
|
4631 |
Comercio al por mayor de frutas y hortalizas |
49 |
9,8 |
20 |
22,0 |
|
0150 |
Producción agrícola combinada con ganadera |
34 |
6,8 |
3 |
3,3 |
|
111 |
Cereales |
15 |
3,0 |
- |
- |
|
0161 |
Actividades de apoyo a la agricultura |
24 |
4,8 |
7 |
7,7 |
|
1102 |
Elaboración de vinos |
106 |
21,2 |
15 |
16,5 |
|
4621 |
Comercio al por mayor de cereales y otros |
17 |
3,4 |
4 |
4,4 |
|
113 |
Cultivo de hortalizas, raíces y tubérculos |
12 |
2,4 |
- |
- |
|
0141 |
Explotación de ganado bovino producción de leche |
11 |
2,2 |
- |
- |
|
0145 |
Explotación de ganado ovino y caprino |
10 |
2,0 |
- |
- |
|
0149 |
Otras explotaciones de ganado |
9 |
1,8 |
- |
- |
|
1039 |
Otro procesado y conservación de frutas y hortalizas |
9 |
1,8 |
- |
- |
|
0146 |
Explotación de ganado porcino |
8 |
1,6 |
- |
- |
|
1051 |
Preparación de leche y fabricación de sus derivados |
8 |
1,6 |
- |
- |
|
0123 |
Cultivo de cítricos |
7 |
1,4 |
- |
- |
|
0119 |
Otros cultivos no perennes |
6 |
1,2 |
- |
- |
|
0125 |
Cultivo de otros árboles y arbustos frutales |
6 |
1,2 |
- |
- |
|
0147 |
Avicultura |
5 |
1,0 |
- |
- |
|
112 |
Arroz |
4 |
0,8 |
- |
- |
|
0124 |
Cultivo de frutos con hueso y pepitas |
4 |
0,8 |
- |
- |
|
4633 |
Comercio al por mayor de productos lácteos |
4 |
0,8 |
- |
- |
|
0142 |
Resto |
52 |
10,4 |
19 |
20,9 |
Fuente: Elaboración propia. Datos SABI
Análogamente, se presenta la distribución de las 501 cooperativas por tamaño, mediante los ingresos de explotación anuales, en la Tabla 3. Se distinguen entre microempresa (menos de dos millones de euros), pequeña (entre 2 y diez millones de euros), mediana (entre diez y cincuenta millones de euros) y más de 50 millones de euros de facturación. Como se puede observar, en España, son las cooperativas pequeñas (micro y pequeña empresa) las que representan más dos tercios del número total de empresas. En la comparación con Cataluña, destaca el mayor porcentaje de las cooperativas medianas y de menos de dos millones de euros sobre el total.
Tabla. 3. Cooperativas por ingresos de explotación. Año 2017
|
|
España |
Cataluña |
Resto CCAA |
|||
|
Rango de ingresos |
Número cooperativas |
% |
Número cooperativas |
% |
Número cooperativas |
% |
|
> 50 millones de euros |
38 |
7,6 |
9 |
9,89 |
29 |
7,07 |
|
10-50 millones de euros |
106 |
21,1 |
15 |
16,48 |
91 |
22,20 |
|
2-10 millones de euros |
178 |
35,6 |
41 |
45,05 |
137 |
33,41 |
|
<2 millones de euros |
179 |
35,7 |
26 |
28,57 |
153 |
37,32 |
Fuente: Elaboración propia. Datos SABI
En la Tabla 4 se detalla, por orientación productiva, el tamaño de las cooperativas, atendiendo a su facturación. Como se ha destacado anteriormente, las cooperativas de más de 50 millones de euros son minoritarias. Como se observa en la Tabla 4 un porcentaje importante de estas cooperativas centran su actividad en el comercio al por mayor de cereales, en la fabricación de productos para la alimentación de animales de granja y en el comercio al por mayor de frutas y hortalizas. En trece de los sectores considerados, no existe ninguna empresa que supere los 50 millones de euros de ingresos de explotación. Destacan también, que en cooperativas relacionadas con la producción animal más del más del 50% de esas cooperativas facturan menos de dos millones de euros. Finalmente, también queda patente, que cuando la actividad es básicamente comercial el porcentaje de cooperativas pequeñas es más bajo.
Tabla. 4. Cooperativas españolas por actividad productiva y tamaño. Año 2017
|
Ingresos de explotación |
||||
|
Actividades principales |
Más de 50 millones de euros |
Entre 10 y 50 millones de euros |
Entre 2 y 10 millones de euros |
Menos de 2 millones de euros |
|
% |
||||
|
Cereales |
13 |
0 |
13 |
73 |
|
Arroz |
0 |
25 |
50 |
25 |
|
Cultivo de hortalizas, raíces y tubérculos |
0 |
0 |
50 |
50 |
|
Otros cultivos no perennes |
0 |
17 |
50 |
33 |
|
Cultivo de cítricos |
0 |
0 |
43 |
57 |
|
Cultivo de frutos con hueso y pepitas |
0 |
0 |
25 |
75 |
|
Cultivo de otros árboles y arbustos frutales |
0 |
0 |
0 |
100 |
|
Explotación de ganado bovino, producción de leche |
0 |
0 |
18 |
82 |
|
Explotación de ganado ovino y caprino |
0 |
10 |
0 |
90 |
|
Explotación de ganado porcino |
0 |
13 |
25 |
63 |
|
Avicultura |
0 |
20 |
20 |
60 |
|
Otras explotaciones de ganado |
0 |
0 |
33 |
67 |
|
Producción agrícola combinada con producción ganadera |
9 |
0 |
26 |
65 |
|
Actividades de apoyo a la agricultura |
8 |
8 |
38 |
46 |
|
Otro procesado y conservación de frutas y hortalizas |
11 |
22 |
33 |
33 |
|
Fabricación de aceites y grasas |
4 |
23 |
42 |
31 |
|
Preparación de leche y fabricación de sus derivados |
0 |
50 |
25 |
25 |
|
Fabricación productos alimentación animales de granja |
18 |
39 |
31 |
12 |
|
Elaboración de vinos |
1 |
23 |
55 |
22 |
|
Comercio al por mayor de cereales |
29 |
35 |
24 |
12 |
|
Comercio al por mayor de frutas y hortalizas |
14 |
47 |
35 |
4 |
|
Comercio al por mayor de productos lácteos |
25 |
25 |
50 |
0 |
Fuente: Elaboración propia. Datos SABI
3.2. Identificación de variables
Para caracterizar la actividad del cooperativismo agrario y poder obtener medidas de eficiencia relativa, se ha considerado como medida de output los ingresos de explotación que engloban el importe neto de la cifra de negocios y las prestaciones de servicios. Los inputs son los gastos de materiales, que se corresponden a los aprovisionamientos de mercaderías, materias primas y otras materias consumibles y los gastos de personal (salarios y cargas sociales). El método del inventario permanente (MIP) es el enfoque que, de forma más correcta, permite la estimación de los servicios de capital, aunque no es posible desarrollarlo por la falta de información necesaria. Guzmán y Arcas (2008) exponen dos modelos con relación a la caracterización productiva y al capital. El primero considera los ingresos de explotación y los gastos en materiales, trabajo y depreciación. El segundo, incluye como output el valor añadido y como inputs el trabajo y los activos fijos.
Aunque en ocasiones, los estudios de productividad sectoriales se realizan considerando funciones de valor añadido, y no de producto total, es preferible no omitir, a priori, la participación de los consumos intermedios en el análisis de la producción sectorial. En este trabajo, como ya se ha indicado, se adopta el modelo en el que se incorpora el gasto en materiales, siguiendo a Martínez et al. (1999) y Galdeano E. (2006). Adelaja (1992) demuestra la importancia de las materias primas en el aumento de la productividad en la industria alimentaria. De forma más general, Christensen (1975) destaca los sesgos de omisión de la participación de los consumos intermedios en la medida de productividad en el caso de utilizarse funciones de valor añadido, incluso existiendo éstas. Si bien este aspecto ha sido destacado en diversos trabajos sectoriales en el ámbito nacional, como en Goerlich y Orts (1996), no ha sido tenido en cuenta hasta ahora en los análisis regionales [Gumbau-Albert y Maudos (1996), Pedraja et al. (1999)]. Segarra y Arcarons (1999) reconocen que, posiblemente, la omisión de consumos intermedios es importante, pero la ausencia de deflactores adecuados limita su consideración en la práctica.
En la Tabla 5, se observa el resumen estadístico de los datos necesarios para el análisis de la eficiencia de las 501 cooperativas agrarias españolas en el año 2017.
Tabla. 5. Resumen estadístico. España. Año 2017.
|
|
Ingresos |
Materiales |
Gastos de personal |
Amortización |
|
Mínimo |
201,8 |
12,8 |
1,094 |
1,007 |
|
1er cuartil |
1.014,4 |
579,0 |
107,172 |
31,575 |
|
Mediana |
4.301,6 |
3.481,1 |
266,188 |
105,820 |
|
Media |
20.556,9 |
17.457,1 |
1.069,144 |
351,695 |
|
3er cuartil |
13.507,5 |
11.499,4 |
850,184 |
300,606 |
|
Máximo |
1.083.620,3 |
1.038.544,3 |
31.012,8 |
10.101,197 |
Miles de euros. Fuente: Elaboración propia.
Análogamente, se presenta en la Tabla 6, el resumen estadístico de las variables consideradas en el análisis de las 91 cooperativas agrarias catalanas en el año 2017.
Tabla. 6. Resumen estadístico. Cataluña. Año 2017.
|
|
Ingresos |
Materiales |
Gastos de personal |
Amortización |
|
Mínimo |
260 |
57,45 |
25,33 |
3,162 |
|
1er cuartil |
1792 |
1.354,75 |
153,21 |
34,443 |
|
Mediana |
4261 |
3.178,63 |
358,12 |
105,229 |
|
Media |
18.396 |
15.476,96 |
1.145,64 |
297,580 |
|
3er cuartil |
12.987 |
10.198,39 |
1.063,16 |
348,331 |
|
Máximo |
267.393 |
258.217,31 |
10.577,85 |
2.144,194 |
Miles de euros. Fuente: Elaboración propia.
4. Resultados
4.1. Eficiencia de los factores de producción
Para caracterizar la actividad productiva de las cooperativas agrarias, se obtienen tres indicadores que relacionan gastos con los ingresos de explotación de la cooperativa. Estos indicadores reflejan el uso de los factores de producción, y su inversa corresponde a una medida de eficiencia, por lo tanto, será más eficiente en el uso de un determinado factor aquella observación que presente un valor más bajo en la ratio factor producto.
Los indicadores que se han obtenido, para cada cooperativa, son el gasto en materiales respecto a facturación, el gasto de personal respecto a facturación y el gasto de amortización respecto a facturación. Estos mismos indicadores se obtienen en Arcas et al. (2014), para las cooperativas agroalimentarias españolas (en los años 1998-2000, 2003-2005 y 2008-2010), siendo los datos que se proporcionan medios para distintos tamaños de las cooperativas.
En la Figura 1 se observa, para el año 2017, la ratio materiales respecto a la facturación por las distintas orientaciones productivas, así como el porcentaje que representan las cooperativas de un determinado sector sobre el total de cooperativas. Evidentemente, aquellas actividades que supongan comercialización o transformación y no cultivo presentarán ratios de materiales respecto a facturación elevadas, debido a los elevados gastos de materiales. Estas diferencias son reflejo de tecnologías de producción muy diferentes. Además, la producción de las empresas de servicios de distribución no coincide con las ventas de las mismas sino con el margen comercial, a efectos de la Contabilidad Nacional. Sin embargo, se puede considerar la cifra de ingresos total como el indicador más relevante de la actividad total de la cooperativa, asociando el tamaño de las cooperativas a este indicador.

Figura. 1. Ratio media de materiales respecto ingresos. Por actividad. Año 2017
Así, se puede distinguir entre dos grandes grupos de actividades un grupo de cooperativas de cultivos y explotación ganadera cuyas ratios son relativamente bajas (0,47 en cooperativas de cereales a 0,68 de actividades de apoyo a la agricultura), y un segundo grupo de cooperativas cuyas actividades son de comercialización o transformación (ratios entre 0,73 y 0,88 de fabricación de piensos).
En la Figura 2, se detallan, para datos de 2017, las ratios de gastos de personal respecto a facturación. Estas ratios oscilan entre 0,04 y 0,27. Las cooperativas de cultivo de hortalizas tienen la mayores intensidad en el uso del trabajo. Por otro lado, no se observa una agrupación tan evidente entre cooperativas de cultivo, comercializadoras y trasformadoras y explotaciones ganaderas, como se observa en la ratio de materiales.
Así, por ejemplo el grupo de cooperativas de comercio de frutas y hortalizas tiene una ratio medio elevado (0,12) frente a otro grupo de cooperativas comercializadoras como es el comercio de cereales que presentan valores más moderados (0,04). Es posible que las primeras tenga parte de su actividad un carácter más tranformador como es el procesado de frutas y hortalizar para su conservación y comercialización.

Figura. 2. Ratio media gasto de personal respecto ingresos. Por actividad. Año 2017
La Figura 3 presenta la ratio del gasto en amortización respecto a los ingresos de las cooperativas en 2017. En este caso la distribución de los valores es más heterogénea. Las cooperativas de fabricación de pienso y comercio al por mayor de cereales son las que presentan ratios menores (entre 0,01 y 0,02) que se correspondería a un menor uso del capital (inmovilizado) que aquellas cooperativas de producción ganadera o de cultivos. Las cooperativas de trasformación como las productoras de vino y aceite presentan ratios bajas entre 0,03 y 0,04, lo que sugiere un uso de instalaciones y equipos antiguos ya amortizados.

Figura. 3. Ratio media gasto de amortización respecto ingresos. Por actividad. Año 2017
4.2. Eficiencia DEA
Se han obtenido los valores de eficiencia mediante la metodología de DEA con rendimientos constantes de escala y rendimientos variables de escala. En el modelo se incluyen los ingresos de explotación, los gastos de personal, gastos en materiales y gastos de amortización. El modelo de DEA que se ha construido es orientado a input, por lo que el valor de la eficiencia se interpreta como la reducción necesaria proporcional de todos los factores de producción para llegar a la ‘frontera eficiente’.
En la Tabla 7 se presenta el resumen de resultados para los años 2014 y 2017 de los valores eficiencia de las 501 cooperativas agrarias españolas analizadas, asumiendo rendimientos constantes de escala.
Tabla. 7. Resumen valores de eficiencia (Ɛ). Rendimientos constantes a escala
|
|
2017 |
2014 |
|||
|
|
Número cooperativas |
% |
|
Número cooperativas |
% |
|
0,1≤ Ɛ ≤0,2 |
|
|
0,1≤ Ɛ≤0,2 |
7 |
1,4 |
|
0,2≤ Ɛ ≤0,3 |
2 |
0,04 |
0,2≤ Ɛ≤0,3 |
122 |
24,4 |
|
0,3≤ Ɛ <0,4 |
15 |
3,0 |
0,3≤ Ɛ <0,4 |
132 |
26,3 |
|
0,4≤ Ɛ <0,5 |
100 |
20 |
0,4≤ Ɛ <0,5 |
74 |
14,8 |
|
0,5≤ Ɛ <0,6 |
158 |
31,5 |
0,5≤ Ɛ <0,6 |
48 |
9,6 |
|
0,6≤ Ɛ <0,7 |
145 |
28,9 |
0,6≤ Ɛ <0,7 |
33 |
6,6 |
|
0,7≤ Ɛ <0,8 |
51 |
10,2 |
0,7≤ Ɛ <0,8 |
41 |
8,2 |
|
0,8≤ Ɛ <0,9 |
9 |
1,8 |
0,8≤ Ɛ <0,9 |
16 |
3,2 |
|
0,9≤ Ɛ <1 |
7 |
1,4 |
0,9≤ Ɛ <1 |
19 |
3,8 |
|
Ɛ =1 |
14 |
2,8 |
Ɛ =1 |
9 |
1,8 |
|
Min. 1er cuartil Mediana Media 3er cuartil Max. |
Min. 1er cuartil Mediana Media 3er cuartil Max. |
||||
|
0,298 0,505 0,586 0,596 0,668 1,000 |
0,137 0,297 0,391 0,460 0,581 1,000 |
||||
Fuente: Elaboración propia.
Destaca el aumento de los valores de eficiencia medios entre 2014 y 2017. Como se observa, el valor medio de eficiencia ha amentado en el período analizado. Así, la eficiencia media pasa de 0,460 en 2014 a 0,596 en el año 2017. También se observa un aumento en el número de observaciones que conforman la frontera eficiente.
En la Figura 4, se han representado los valores de eficiencia de cada cooperativa, ordenados de tal forma que 1 es la cooperativa con mayores ingresos de explotación en 2017 y 501 es la cooperativa con menores ingresos de explotación. Para una mejor interpretación de la figura indicar que hasta la cooperativa 38 todas tienen ingresos superiores a 50 millones de euros, de la 39 a la 144 las cooperativas ingresan entre 10 y 50 millones de euros. De la cooperativa 145 a la 322 sus ingresos oscilan entre 2 y 10 millones de euros y finalmente de la cooperativa 323 a la 501 facturan menos de 2 millones de euros.
No se detectan sesgos importantes asociados a la dimensión de la cooperativa. No son eficientes, en este año, ni las cooperativas más grandes (medido por los ingresos de explotación anuales), ni tampoco lo son aquellas más pequeñas. Se puede destacar, que aparecen más observaciones eficientes en las cooperativas de menor tamaño.

Figura. 4. Valores de eficiencia. Rendimientos constantes a escala. Año 2017
En la Figura 5 se observan, análogamente a la anterior, los valores de eficiencia de las cooperativas agroalimentarias en el año 2014. En este corte, se observa, claramente, valores más bajos de eficiencia. Por otro lado, no aparece ningún sesgo respecto a la dimensión de las cooperativas, apareciendo valores eficientes a en todo el rango de ingresos de explotación.

Figura. 5. Valores de eficiencia. Rendimientos constantes a escala. Año 2014
Centrando el análisis en el año 2017, se identifican las cooperativas eficientes, caracterizándolas por su sector de actividad, su tamaño y la comunidad autónoma a la que pertenecen. El resumen de esa caracterización se observa en la Tabla 8. Siete cooperativas de menos de dos millones de euros de facturación conforman la frontera eficiente, destacando que tres de ellas son cooperativas de explotación de ganado porcino. De entre las cooperativas pequeñas (tramo 2-10 millones de euros de facturación) y eficientes no aparece ninguna de cultivo y sí cooperativas con actividad transformadora de productos agrarios, como son las cooperativas de fabricación de pienso o vino.
Tabla. 8. Caracterización de las observaciones eficientes. 2017. RCE
|
CCAA |
Descripción de la actividad de la cooperativa |
Tamaño Millones de euros |
|
Castilla y León |
Explotación de ganado porcino |
< 2
50 % de las cooperativas eficientes |
|
Murcia |
Explotación de ganado porcino |
|
|
Castilla-La Mancha |
Producción agrícola combinada con la producción ganadera (principalmente porcino) |
|
|
Andalucía |
Producción agrícola combinada con la producción ganadera (principalmente aceitunas) |
|
|
Castilla y León |
Producción agrícola combinada con la producción ganadera |
|
|
Comunidad Valenciana |
Cítricos |
|
|
Extremadura |
Actividades de preparación posterior a la cosecha |
|
|
Madrid |
Asesoría agraria |
2-10
28,5 % de las cooperativas eficientes |
|
Extremadura |
Fabricación productos para alimentación de animales de granja |
|
|
Castilla-La Mancha |
Vino |
|
|
Castilla y León |
Comercio al por mayor de productos lácteos, huevos (principalmente leche de oveja) |
|
|
Extremadura |
Comercio al por mayor de frutas y hortalizas |
10-50 14,3 % de las cooperativas eficientes |
|
Murcia |
Comercio al por mayor de frutas y hortalizas |
|
|
Aragón |
Cereales |
> 50 7,1 % de las cooperativas eficientes |
Fuente: Elaboración propia.
Únicamente dos cooperativas medianas (entre 10 y 50 millones de euros de facturación) son eficientes y ambas realizan la misma actividad, comercio al por mayor de frutas y hortalizas. Finalmente, la única cooperativa eficiente de más de 50 millones de facturación está dentro del grupo cereales, aunque en esta cooperativa es la comercialización su actividad principal.
En la Tabla 9 se presenta el resumen de resultados, para los años 2014 y 2017, de los valores eficiencia de las 501 cooperativas agrarias españolas analizadas, asumiendo rendimientos variables a escala. Obviamente, son esperables resultados diferentes asumiendo RCE o RVE y su consistencia dependerá de la ‘verdadera’ función de producción que subyace. Si esta función presenta RVE únicamente la asunción de RVE produciría resultados consistentes. Si la función de producción subyacente se ajusta a los RCE, las dos asunciones (RCE y RVE) nos llevarán a resultados consistentes. Con el modelo que permite RVE se obtienen valores de eficiencia mayores que los que se obtienen con el modelo de RVE, siendo la eficiencia media 0,666 en 2017 y 0,534 en 2014. Este hecho deriva de la propia estructura de la frontera eficiente, que en el caso de RVE, se ajusta a las observaciones de mayor y de menor tamaño.
Tabla. 9. Resumen valores de eficiencia (Ɛ). Rendimientos variables a escala
|
2017 |
2014 |
||||
|
Rangos de Ɛ |
Número cooperativas |
% |
Rangos de Ɛ |
Número cooperativas |
% |
|
0,1≤ Ɛ≤0,2 |
- |
- |
0,1≤ Ɛ≤0,2 |
3 |
0,6 |
|
0,2≤ Ɛ≤0,3 |
- |
- |
0,2≤ Ɛ≤0,3 |
69 |
13,8 |
|
0,3≤ Ɛ <0,4 |
9 |
1,8 |
0,3≤ Ɛ <0,4 |
114 |
22,8 |
|
0,4≤ Ɛ <0,5 |
49 |
9,8 |
0,4≤ Ɛ <0,5 |
78 |
15,6 |
|
0,5≤ Ɛ <0,6 |
127 |
25,3 |
0,5≤ Ɛ <0,6 |
69 |
13,8 |
|
0,6≤ Ɛ <0,7 |
132 |
26,3 |
0,6≤ Ɛ <0,7 |
39 |
7,8 |
|
0,7≤ Ɛ <0,8 |
97 |
19,4 |
0,7≤ Ɛ <0,8 |
55 |
11,0 |
|
0,8≤ Ɛ <0,9 |
37 |
7,4 |
0,8≤ Ɛ <0,9 |
21 |
4,2 |
|
0,9≤ Ɛ <1 |
17 |
3,4 |
0,9≤ Ɛ <1 |
26 |
5,2 |
|
Ɛ =1 |
33 |
6,6 |
Ɛ =1 |
27 |
5,4 |
|
Min. 1er cuartil Mediana Media 3er cuartil Max. |
Min. 1er cuartil Mediana Media 3er cuartil Max. |
||||
|
0,310 0,562 0,643 0,666 0,744 1,000 |
0,177 0,342 0,476 0,534 0,714 1,000 |
||||
Fuente: Elaboración propia.
Los resultados de eficiencia en 2017, construyendo la frontera eficiente asumiendo rendimientos variables a escala, se observan en la Figura 6, que se ha construido análogamente a la Figura 4. Como se ha indicado anteriormente, se observa una mayor cantidad de cooperativas eficientes en los extremos (cooperativas de mayor y menos tamaño) debido a la frontera eficiente que se construye al asumir RVE. Este hecho es consistente con la existencia de sesgos en los tamaños extremos de la muestra, especialmente, en este análisis, en las cooperativas de menores ingresos de explotación.

Figura. 6. Valores de eficiencia. Rendimientos variables a escala. Año 2017
En la Figura 7, se observan los resultados de eficiencia con RVE para el año 2014. En general, son valores más bajos que los obtenidos para 2017 y también existe sesgo en los tamaños extremos, pero en 2014 a existe una mayor concentración de cooperativas eficientes entre las de más ingresos.

Figura. 7. Valores de eficiencia. Rendimientos variables a escala. Año 2014
Al incorporar al análisis de eficiencia los rendimientos variables de escala, además de las 14 cooperativas eficientes con RCE, 19 cooperativas más conforman la frontera eficiente. En la Tabla 10 se caracterizan esas cooperativas eficientes que con las 14 eficientes con RCE (Tabla 8) completan las 33 eficientes.
Tabla. 10. Caracterización de las cooperativas eficientes. 2017. RVE
|
Comunidad autónoma |
Descripción de la actividad de la cooperativa |
Tamaño Millones euros |
|
Andalucía |
Cereales |
< 2
51,5% de las cooperativas eficientes
|
|
Aragón |
Cereales |
|
|
Aragón |
Cereales |
|
|
Extremadura |
Cultivo de hortalizas, raíces y tubérculos |
|
|
Murcia |
Cultivo de cítricos |
|
|
Extremadura |
Explotación de ganado ovino y caprino |
|
|
Castilla y León |
Otras explotaciones de ganado |
|
|
Aragón |
Producción agrícola combinada con la producción ganadera |
|
|
Castilla y León |
Fabricación de productos para la alimentación de animales de granja |
|
|
Castilla-La Mancha |
Elaboración de vinos |
|
|
Andalucía |
Cultivo de cítricos (naranjas y mandarinas) |
2-10
18,1 % de las cooperativas eficientes |
|
Castilla y León |
Otras explotaciones de ganado (compra venta de ganado vacuno) |
|
|
Castilla y León |
Comercio al por mayor de frutas y hortalizas |
10-50
12,1 % de las cooperativas eficientes |
|
Extremadura |
Comercio al por mayor de frutas y hortalizas |
|
|
Galicia |
Elaboración de productos cárnicos y de volatería (fábrica de piensos, matadero avícola) |
> 50
18,1% de las cooperativas eficientes |
|
Andalucía |
Fabricación de aceites y grasas (producción de aceite de oliva) |
|
|
Castilla y León |
Fabricación de azúcar (producción y comercialización de azúcar, aceites alimentarios, biodiesel) |
|
|
Comunidad Valenciana |
Comercio al por mayor de frutas y hortalizas |
|
|
Cataluña |
Comercio al por mayor de frutas y hortalizas |
Fuente: Elaboración propia.
Del análisis de las Tablas 8 y 9, de las cooperativas grandes eficientes (más de 50 millones de euros de facturación) destacan la actividad de comercio al por mayor de frutas y hortalizas, así como grandes cooperativas de transformación de muy distintos productos (piensos, aceite de oliva, azúcar). Como ya se ha comentado, las cooperativas no extremas en cuanto a su tamaño (2-50 millones de euros), llegan en menor número a ser eficientes, destacando también el comercio al por mayor de frutas y hortalizas, y alguna cooperativa de comercio de vacuno, de leche de oveja de vinos o de cítricos. Finalmente, entre las cooperativas cuyos ingresos de explotación están por debajo de los dos millones de euros destacan las cooperativas cuya actividad principal es la explotación de porcino o la actividad agraria y ganadera combinada.
Centrando los resultados de eficiencia en las actividades principales de las 501 cooperativas estudiadas, se presentan, en la Tabla 11, los valores de eficiencia considerando RCE y RVE para los años 2014 y 2017. Por lo que se puede observar tanto la trayectoria de la eficiencia media de las cooperativas de cada sector, como la diferencia en la eficiencia con RCE frente a la eficiencia con RVE.
Tabla. 11. Eficiencia media por actividades. Años 2014 y 2017.
|
Actividades Principales de las cooperativas |
Eficiencia RCE |
Eficiencia RVE |
||
|
2014 |
2017 |
2014 |
2017 |
|
|
Cereales |
0,450 |
0,624 |
0,570 |
0,723 |
|
Arroz |
0,288 |
0,514 |
0,373 |
0,591 |
|
Cultivo de hortalizas, raíces y tubérculos |
0,341 |
0,523 |
0,433 |
0,603 |
|
Otros cultivos no perennes |
0,472 |
0,545 |
0,548 |
0,597 |
|
Cultivo de cítricos |
0,424 |
0,667 |
0,546 |
0,770 |
|
Cultivo de frutos con hueso y pepitas |
0,466 |
0,613 |
0,541 |
0,681 |
|
Cultivo de otros árboles y arbustos frutales y frutos secos |
0,300 |
0,616 |
0,401 |
0,624 |
|
Explotación de ganado bovino para la producción de leche |
0,273 |
0,517 |
0,459 |
0,626 |
|
Explotación de ganado ovino y caprino |
0,409 |
0,517 |
0,560 |
0,629 |
|
Explotación de ganado porcino |
0,624 |
0,754 |
0,697 |
0,791 |
|
Avicultura |
0,287 |
0,530 |
0,403 |
0,629 |
|
Otras explotaciones de ganado |
0,471 |
0,616 |
0,569 |
0,700 |
|
Producción agrícola combinada con la producción ganadera |
0,483 |
0,668 |
0,591 |
0,750 |
|
Actividades de apoyo a la agricultura |
0,429 |
0,590 |
0,515 |
0,625 |
|
Otro procesado y conservación de frutas y hortalizas |
0,349 |
0,509 |
0,488 |
0,604 |
|
Fabricación de aceites y grasas |
0,436 |
0,601 |
0,453 |
0,619 |
|
Preparación de leche y fabricación de sus derivados |
0,529 |
0,590 |
0,614 |
0,667 |
|
Fabricación productos para la alimentación de animales de granja |
0,689 |
0,684 |
0,730 |
0,734 |
|
Elaboración de vinos |
0,346 |
0,532 |
0,382 |
0,592 |
|
Comercio al por mayor de cereales, tabaco en rama |
0,620 |
0,656 |
0,693 |
0,714 |
|
Comercio al por mayor de frutas y hortalizas |
0,481 |
0,580 |
0,583 |
0,718 |
|
Comercio al por mayor de productos lácteos, huevos, aceites |
0,677 |
0,613 |
0,752 |
0,689 |
Fuente: Elaboración propia.
Únicamente el grupo de cooperativas de comercio al por mayor de productos lácteos, disminuye la eficiencia media (RCE) entre 2014 y 2017 en torno a un 10%. Este grupo lo forman únicamente 4 cooperativas por lo que una situación coyuntural de alguna de ellas podría explicar este valor. De los grupos con mayor número de cooperativas, destaca el incremento en la eficiencia de las cooperativas productoras de vino (106 cooperativas) el 46% y las productoras de aceite (52 cooperativas) el 32%. Las cooperativas de fabricación de pienso prácticamente no varían su valor de eficiencia entre los años 2014 y 2017, aunque hay que remarcar que son uno de los grupos con mayores valores en eficiencia y por lo tanto con menor margen de mejora.
Entre las cooperativas de comercio al por mayor de frutas y hortalizas, como se ha visto en las Tablas 8 y 9 aparecen 4 eficientes de entre las cooperativas de mayor tamaño, sin embargo, la eficiencia media del grupo está sobre la media de todas las cooperativas. Este hecho podría sugerir, que este tipo de cooperativas tienen que llegar a tener una dimensión mínima para alcanzar la eficiencia.
En la Figura 8 se presentan, los valores de eficiencia medios con RCE y RVE de los grupos de cooperativas por actividad productiva principal, de los que se dispone información de más cooperativas. Cuanto más cerca de la bisectriz esté el valor, los efectos de escala son menos importantes. El valor medio de eficiencia de las cooperativas productoras de aceite está en torno a la media no observándose un incremento importante al RVE, por lo que podría sugerir que la función subyacente se ajustaría a RCE. Si se analizan, para estas cooperativas, independientemente los rendimientos crecientes a escala y los rendimientos decrecientes a escala, también se observa que en todas las cooperativas aceiteras y para todos los tamaños los efectos de escala son muy pequeños (excepto una). Se observan, también en las cooperativas productoras de vino prácticamente los mismos efectos de escala y solamente en cooperativas muy pequeñas se identifican rendimientos crecientes a escala. Las cooperativas de productoras de pienso tampoco presentan importantes efectos de escala (excepto un caso), aunque difieren de las cooperativas vinícolas y aceiteras en que no existe un tamaño mayoritario y que los valores de eficiencia son considerablemente mayores.

Figura. 8. Comparación Eficiencia RCE y RVE. 2017
Si centramos el análisis en las cooperativas de comercio de frutas y hortalizas donde son mayoritarias las empresas medianas y grandes, se observa un aumento importante de la eficiencia media al asumir RVE. Los efectos de escala son importantes y al analizar los datos de cada cooperativa respecto a rendimientos crecientes y decrecientes, se observa que las cooperativas más grandes ya estarían operando en tramos de rendimientos decrecientes.
En la Tabla 12 se presentan las medias de las eficiencias por grupos de cooperativas en función de sus ingresos de explotación en los años 2014 y 2017.
Tabla. 12. Medias de eficiencia. Por tamaño
|
|
2017 |
2014 |
||
|
Tramo ingresos explotación |
RCE |
RVE |
RCE |
RVE |
|
> 50 millones euros |
0,659 |
0,835 |
0,631 |
0,857 |
|
10-50 millones euros |
0,611 |
0,710 |
0,524 |
0,576 |
|
2-10 millones euros |
0,582 |
0,611 |
0,447 |
0,453 |
|
< 2 millones euros |
0,588 |
0,660 |
0,400 |
0,521 |
Fuente: Elaboración propia.
Son las cooperativas de gran tamaño (más de 50 millones de euros de facturación), el grupo de con la media de las eficiencias más alta. Como se observa en la tabla 11, las cooperativas que facturan menos de 2 millones de euros al año y las que facturan entre 2 y 10 millones de euros al año, tienen valores de eficiencia similares entre ellas e inferiores a los valores de las cooperativas más grandes. Se observa en todos los grupos un aumento de los niveles de eficiencia entre 2014 y 2017.
Finalmente, en la tabla 13 se presentan las medias de los valores de eficiencia de las cooperativas atendiendo su CCAA en el año 2017. Se incluyen aquellas CCAA de las que se ha dispuesto de datos de, por lo menos, 15 cooperativas.
Tabla. 13. Eficiencia media por CCAA. 2017
|
Nº de cooperativas |
RCE |
RVE |
|
|
Andalucía |
58 |
0,639 |
0,706 |
|
Aragón |
55 |
0,604 |
0,683 |
|
Castilla y León |
62 |
0,600 |
0,696 |
|
Castilla-La Mancha |
54 |
0,609 |
0,651 |
|
Cataluña |
91 |
0,567 |
0,630 |
|
Comunidad Valenciana |
34 |
0,570 |
0,688 |
|
Extremadura |
81 |
0,618 |
0,675 |
|
La Rioja |
16 |
0,492 |
0,511 |
|
Murcia |
13 |
0,663 |
0,735 |
Fuente: Elaboración propia.
4.3. Eficiencia de las cooperativas catalanas y del resto de España
Para determinar si existen diferencias estructurales y de eficiencia entre las cooperativas agroalimentarias catalanas y las cooperativas del resto de España, se presentan los resultados de intensidad en el uso de los factores y de eficiencia desagregados en los principales grupos de actividad. Análogamente a Cos et al (2019) donde se obtienen, con otra agregación sectorial, indicadores de eficiencia en el período 2006-2016, en su análisis de competitividad del cooperativismo agroalimentario en Cataluña.
En la Figura 9 se observa la intensidad en el uso de los materiales en las cooperativas agrarias catalanas comparado con el uso de materiales del resto de las cooperativas españolas en año 2017. Aunque con valores que oscilan entre 0,7 y 0,9 en el gasto de materiales respecto a ingresos, se observan diferencias entre las cooperativas catalanas y las del resto de España. Cooperativas de mayor tamaño como son las de comercio de frutas y hortalizas y fabricación de pienso, tienen intensidades de materiales muy similares. Sin embargo, los valores para cooperativas de aceite, vino y comercio de cereales presentan diferencias mayores. Destaca que, tanto en cooperativas de elaboración de vinos, como en cooperativas de elaboración de aceites, las cooperativas catalanas presentan una menor intensidad en los materiales respecto a la facturación.

Figura. 9. Intensidad gastos de materiales. 2017 Cataluña y resto de España
La intensidad en los gastos de personal respecto a los ingresos de explotación se detalla en la Figura 10. En todos los casos estas ratios oscilan entre 0,04 (fabricación de aceite cooperativas resto de España) y el 0,13 (comercio de frutas y hortalizas en cooperativas resto de España). En este caso, para las cooperativas aceiteras y de vinos, son las cooperativas catalanas las que tienen un gasto mayor que las cooperativas del resto de España, lo contrario que se observa para materiales.

Figura. 10. Intensidad gastos de personal. 2017 Cataluña y resto de España
Finalmente, en la Figura 11 se presentan las intensidades respecto al gasto en amortización de las cooperativas catalanas y las del resto de España. En esta ratio, la variabilidad es más pequeña, oscilando los valores entre 0,01 y 0,04 y con escasas diferencias entre las cooperativas catalanas y las del resto de España.

Figura. 11. Intensidad gastos de amortización. 2017 Cataluña y resto de España
Para completar el análisis comparado de eficiencia entre el cooperativismo catalán y el del resto de España, en la Figura 12 se presentan las medias de los valores de eficiencia calculadas por grupos de actividad en los años 2014 y 2017, valores de eficiencia obtenidos asumiendo RCE. El análisis se centra en los cinco sectores de actividad con mayor número de cooperativas. En el año 2017, grupos de cooperativas de transformación como son las productoras de vino y aceite presentan eficiencias similares (en vino cooperativas de Cataluña 0,56 y cooperativas del resto de España 0,53 y en aceite cooperativas de Cataluña 0,58 y cooperativas del resto de España 0,61). Se observan mayores diferencias en eficiencia en las cooperativas de comercialización de frutas y hortalizas (Cataluña 0,54, resto de España 0,61) y fabricación de piensos (Cataluña 0,60, resto de España 0,69).
La evolución en las eficiencias de las cooperativas entre el año 2014 y 2017 es de aumento de la eficiencia en cooperativas de comercio de frutas y hortalizas, en cooperativas de vinos y también cooperativas de aceite. Mientras que cooperativas de comercio de cereales y cooperativas de pienso se observa cierto estancamiento excepto en las primeras en Cataluña que acercan su valor de eficiencia al que presentaban el resto de las cooperativas del sector en el resto de España.

Figura. 12. Eficiencia media Cataluña resto de España. Por actividades. RCE.
Finalmente, en la Figura 13 se presentan las medias de los valores de eficiencia medios por grupos de actividad en los años 2014 y 2017, valores de eficiencia obtenidos asumiendo RVE. Destaca el valor y el aumento de eficiencia del grupo de cooperativas catalanas de comercio de cereales explicable, en cierta forma, porque este grupo lo componen pocas cooperativas.

Figura. 13. Eficiencia media Cataluña resto de España. Por actividades. RVE. 2017
5. Conclusiones
La producción agroalimentaria es un proceso especialmente complejo cuando se desarrolla en estructuras organizativas singulares como son las cooperativas. Cada actividad sea en el ámbito de la comercialización, de la producción o de la transformación de productos agrarios se desarrolla mediante una estructura productiva que se puede caracterizar por el uso de los diferentes factores de producción. Un mejor uso de los factores de producción en relación con los productos obtenidos conducirá a la mejora en los indicadores de eficiencia.
Se ha obtenido de SABI la información necesaria para elaborar índices de eficiencia unifactoriales y multifactoriales para cada una de las 501 cooperativas agroalimentarias españolas (91 de ellas catalanas) objeto del análisis, en el período 2014-2017. Las cooperativas analizadas abarcan 22 actividades principales y se agrupan en 4 tamaños.
Se ha constatado, el peso, todavía importante, que tienen las cooperativas pequeñas en el sector agroalimentario español. En una parte significativa de las 22 actividades productivas, son claramente mayoritarias las cooperativas pequeñas (ingresos de explotación entre 2 y 10 millones de euros) y las micro-cooperativas (menos de dos millones de euros). Los sectores eminentemente comercializadores (especialmente de frutas y hortalizas), son los que tienen los mayores porcentajes de cooperativas grandes, con más de 50 millones de ingresos de explotación. Sólo en un grupo de cooperativas transformadoras, las productoras de pienso, sumando el número de cooperativas grandes y medianas se supera el 50% del total de cooperativas.
Del análisis en el uso de los factores destaca, por su importancia, la ratio gastos en materiales respecto a los ingresos de explotación. Este indicador oscila entre 0,23 y 0,9. Los valores mayores se producen en cooperativas comercializadoras y, en muchos casos, también de mayor tamaño. De esto, y en una primera lectura, podría deducirse que estas cooperativas son menos eficientes respecto a este factor. Pero como se indica en Arcas et al. (2014), una menor eficiencia de la cooperativa derivada del gasto en materiales, puede ser un elemento favorable para los socios ya que puede suponer un mayor ingreso para los propios socios. Por otro lado, son las cooperativas de cultivos, también de menor dimensión, las que presentan los valores más pequeños en esta ratio.
Con la aplicación de la técnica de DEA, y debido al elevado número de cooperativas considerado en el análisis, se consigue una importante discriminación en los valores de eficiencia obtenidos. En el modelo de RCE no se aprecian sesgos en las observaciones eficientes, que son tanto de gran tamaño, como medianas y pequeñas. Se observa que las cooperativas eficientes entre las grandes y medianas son básicamente comercialización y de transformación, mientras que, entre las cooperativas eficientes pequeñas y micro, son las cooperativas cuya actividad es la explotación ganadera (especialmente, porcino) las que destacan. En el modelo RVE, a las cooperativas anteriores se añaden 19 cooperativas eficientes más, destacando entre las grandes, además de las comercializadoras de frutas y hortalizas, una cooperativa productora de aceite y otra de pienso.
Se ha producido, en general, un incremento en la eficiencia media de los grupos de actividad, entre los años 2014 y 2017, tanto con el modelo RCE como con RVE. Si se comparan los valores de eficiencia con RCE y RVE se observa que hay un grupo de actividad, formado por las cooperativas de comercio de frutas y hortalizas, en el que existe una mayor diferencia entre estos dos valores. En este grupo, son mayoritarias las empresas medianas y grandes y al analizar los datos de cada cooperativa respecto a rendimientos crecientes y decrecientes, se observa que las cooperativas más grandes ya estarían operando en tramos de rendimientos decrecientes, lo que podría inducir a pensar que, en esas cooperativas, ya se está o se ha superado el tamaño óptimo. Por otro lado, los grupos de cooperativas de producción de aceite y vino donde el tamaño es mayoritariamente pequeño o medio, presentan valores de eficiencia con RCE y RVE relativamente similares. Si se analizan, para estas cooperativas, los rendimientos crecientes a escala y los rendimientos decrecientes a escala, se observa que prácticamente en todas cooperativas productoras de aceite y vino, y para todos los tamaños, los efectos de escala son muy pequeños y solamente en cooperativas muy pequeñas se identifican rendimientos crecientes a escala.
Son mayores los valores de eficiencia de las cooperativas grandes y medianas, mientras que las cooperativas pequeñas y micro presentan valores muy similares en el período analizado. Con estos resultados obtenidos, se podría pensar que incrementar el tamaño de cooperativas pequeñas o medianas podía suponer mejoras en la eficiencia, mientas que no es tan evidente, para las cooperativas micro (de menos de 2 millones de euros de ingresos de explotación), que un incremento de tamaño a la categoría superior implicara una mejora en la eficiencia.
Respecto a la comparación del sector de las cooperativas agroalimentarias catalanas con el resto de las cooperativas españolas, se han observado algunas diferencias, en el uso de los factores de producción. Así, se puede indicar que las cooperativas catalanas de producción de vino y de producción de aceite, tienen menor gasto en materiales que las cooperativas del resto de España y por lo tanto los socios (que también son proveedores) de las cooperativas catalanas podrían estar siendo menos remunerados. Por otro lado, las cooperativas de frutas y hortalizas catalanas tienen, respecto a sus ingresos, mayor gasto en materiales y menor gasto en mano de obra que las cooperativas del resto de España. Estos efectos combinados, se pueden reflejar en los valores de eficiencia obtenidos mediante la técnica DEA. En general los valores para las cooperativas catalanas y las cooperativas del resto de España son similares, aunque se observa una menor eficiencia para las primeras en comercio de frutas y hortalizas y en producción de pienso.
Los resultados de eficiencia del cooperativismo agroalimentario en España, obtenidos en este trabajo, describen la situación antes de que se produjera un acontecimiento tan disruptivo como es la pandemia de COVID-19. A pesar de la situación de recesión económica general, los indicadores avanzados reflejan que el sector agroalimentario está manteniendo posiciones y muy probablemente también lo estará haciendo el cooperativismo agroalimentario. Es por lo tanto necesario, siguiendo con la línea de este trabajo, el análisis de la eficiencia de la actividad productiva de las cooperativas agroalimentarias españolas, en un entorno post COVID-19. La línea de trabajo abierta se completaría extendiendo el análisis de eficiencia de las cooperativas agroalimentarias, al conjunto de las empresas agroalimentarias. También, el enfoque metodológico, no paramétrico, que se ha seguido en este trabajo tiene continuidad con la introducción de otros indicadores de productividad total de los factores. Uno de estos indicadores es el índice de Malmquist, que permite, en un análisis intertemporal, distinguir entre efectos de cambio técnico y efectos de cambio en la eficiencia.
6. Referencias bibliográficas
Abate G. T., Francesconi G. N., y Getnet K. (2014) Impact of agricultural cooperatives on smallholders technical efficiency: Empirical evidence from Ethiopia. Annals of Public and Cooperative Economics, 85, pp. 257–286.
Adelaja, A. O. (1992) Material Productivity in Food Manufacturing. American Journal of Agricultural Economics, 74(1), pp. 177-85.
Ahn S. C., Brada J. C., y Mendez J. A. (2012) Effort, technology and the efficiency of agricultural cooperatives. Journal of Development Studies, 48, pp. 1601–1616.
Andersen, P., y Petersen, N. C. (1993) A procedure for ranking efficient units in data envelopment analysis. Management Science, 39(10), pp. 1261–1264. doi:10.1287/mnsc.39.10.1261.
Arcas, N., García G., y Melia, E. (2014) El tamaño de las cooperativas agroalimentarias como factor de competitividad. En: Arcas N. y Hernández, M. (coord. y dir.) Tamaño y competitividad. Experiencias de crecimiento en las cooperativas agroalimentarias españolas. Ed. Cajamar Caja Rural.
Arcas, N., García, D. y Sánchez, J.L. (2019) Diagnóstico económico-financiero de las cooperativas agroalimentarias en España (2015-2017). Ed. Cajamar Caja Rural.
Banker, R.D., Charnes, A. y Cooper, W.W. (1984) Some models for estimating technical and scale inefficiencies in data envelopment analysis. Management Science, Vol. 30 No. 9, pp. 1078-1092.
Brandano M.G., Detotto, C., y Vannini, M. (2019) Comparative efficiency of agricultural cooperatives and conventional firms in a sample of quasi-twin companies. Annals of Public and Cooperative Economics, 90(1), pp. 53-76, https://doi.org/10.1111/apce.12220.
Charnes, A., Cooper, W. W., y Rhodes, E. (1978) Measuring the efficiency of decision making units. European Journal of Operational Research, 2(6), pp. 429–444. doi:10.1016/0377-2217(78)90138-8.
Christensen, L.R. (1975) Concepts and measurement of agricultural productivity. American Journal of Agricultural Economics, 75(5), pp. 910-915.
Chung, Y. H., Färe, R., y Grosskopf, S. (1997) Productivity and undesirable outputs: A directional distance function approach. Journal of Environmental Management, 51(3), pp. 229–240. doi:10.1006/jema.1997.0146.
Cos, P., Aldaz, N., Escardíbul, B., Millán, J.S. y Moltó, M. (2019) Indicadors de competitivitat al cooperativisme agràri a Catalunya. Editorial UOC. Barcelona.
Emrouznejad A. y G. Yang (2018) A survey and analysis of the first 40 years of scholarly literature in DEA: 1978–2016. Socio-Economic Planning Sciences, 61(1), pp. 1-5. http://dx.doi.org/10.1016/j.seps.2017.01.008.
Farrell, M.J. (1957) The Measurement of Productive Efficiency. Journal of the Royal Statistical Society, 120, pp. 253-290. https://doi.org/10.2307/2343100.
Galdeano E. (2006) Productivity and efficiency analysis of horticultural co-operatives. Spanish Journal of Agricultural Research, 4(3), pp. 191-201.
Goerlich, F.J. y Orts, V. (1996) Economías de escala, externalidades y atesoramiento de trabajo en la industria española, 1964-1989. Revista de Economía Aplicada, 11(vol. 4), pp. 151-166.
Grashuis, J., y Su, Y. (2019) A review of the empirical literature on farmer cooperatives: Performance, ownership and governance, finance and member attitude. Annals of Public and Cooperative Economics 90(1), pp. 77–102, https://doi.org/10.1111/apce.12205.
Gumbau-Albert, M. y Maudos, J. (1996) Eficiencia productiva sectorial en las regiones españolas: Una aproximación frontera. Revista Española de Economía, 13(2), pp. 239-60.
Juliá, J. F., Meliá, E., García, G. y Gallego, P. L. (2010) Los factores de competitividad de las cooperativas líderes del sector agroalimentario europeo. Acciones a emprender por las cooperativas agrarias españolas. Fundación Cajamar, Almería.
Liu J.S., Lu, L.Y.Y., Lu, W.-M. y Lin, B. J.Y. (2013) A survey of DEA applications, Omega 41(5), pp. 893-902.
Martínez E., Díaz R., Navarro M., y Ravelo T. (1999) A study of the efficiency of Spanish port authorities using data envelopment analysis. International Journal of Transport Economics 2, pp. 237-253.
Martínez-Victoria, M.C., Maté Sánchez-Val, M., y Arcas-Lario, N. (2018) Spatial determinants of productivity growth on agri-food Spanish firms: A comparison between co-operatives and investor-owned firms. Agricultural Economics, 49(2), pp. 213-223.
Autor (2004).
Millán, J.A. y Aldaz, N. (2004) Efficiency and Technical Change in Intertemporal Intersectoral DEA. Journal of Productivity Analysis, 21(1), pp. 7-23. https://doi.org/10.1111/agec.12410.
OSCAE. (2019) El cooperativismo agroalimentario español Informe socioeconómico 2018. MAPA
Pastor JT, Ruiz JL y Sirvent I. (1999) An enhanced DEA Russell graph efficiency measure. European Journal of Operational Research 115, pp. 596-607
Pedraja, F., Ramajo, J. y Salinas, J. (1999) Eficiencia productiva del sector industrial español: un análisis espacial y sectorial. Papeles de Economía Española, 82, pp. 51-68.
Ray, S.C. (2020) Data Envelopment Analysis: A Nonparametric Method of Production Analysis. En S. C. Ray, R. Chambers y S. Kumbhakar (eds) Handbook of Production Economics, Springer (en prensa) https://doi.org/10.1007/978-981-10-3450-3_24-1.
Tone K. (2001) A slacks-based measure of efficiency in data envelopment analysis. European Journal of Operational Research, 130, pp. 498-509.
[1] Universidad de Lleida, España.
Dirección de correo electrónico: natalia.aldaz@udl.cat.
[2] Universidad de Lleida, España.
Dirección de correo electrónico: jose.millan@udl.cat.
[3] Universidad de Lleida, España.
Dirección de correo electrónico: marga.molto@udl.cat.
[4] Universidad de Lleida, España.
Dirección de correo electrónico: blanca.escardibul@udl.cat.
[5] Universidad de Lleida, España.
Dirección de correo electrónico: pilar.cos@udl.cat.
[6] R Core Team (2013) R: A language and environment for statistical computing. R Foundation for Statistical Computing, Vienna, Austria. URL http://www.R-project.org/.
[7] Peter Bogetoft and Lars Otto (2018) Benchmark and Frontier Analysis Using DEA and SFA. R package. Version 0.27.