REVESCO. Revista de Estudios Cooperativos

ISSN: 1885-8031

 

https://dx.doi.org/10.5209/REVE.78926

 

Exposición al incumplimiento (EAD): factores para el sector cooperativo financiero canadiense[1]

Yenni Redjah[2], Jean Roy[3] e Inmaculada Buendía-Martínez[4]

Recibido: 27 de abril de 2021 / Aceptado: 27 de octubre de 2021 / Publicado: 9 de diciembre de 2021

Resumen. Los impagos de particulares fueron una de las causas de la última crisis financiera dando lugar a una necesidad de comprender todo lo relacionado con el riesgo de crédito de los prestatarios personales. La pérdida esperada del crédito generalmente se descompone en probabilidad de incumplimiento, severidad y exposición de incumplimiento (EAD), siendo este último factor el menos investigado. Este trabajo pretende identificar los determinantes de EAD en el sector cooperativo financiero canadiense que ha mostrado una gran capacidad de resistencia durante la crisis. Utilizando una muestra de más de 11000 casos de incumplimiento ocurridos entre 2003 y 2008 en líneas de crédito a personas físicas, los resultados muestran los factores significativos que explican más del 50% de la varianza de EAD: la edad del prestatario, el límite de exposición, el monto retirado, la tasa de interés aplicada en la línea de crédito y el comportamiento de utilización. Además, la relación de EAD con los factores macroeconómicos nos confirma su prociclicidad. En resumen, la investigación aborda el análisis de la EAD sobre créditos a personas físicas poco analizado en la literatura. La mejor comprensión de EAD permite una mejor modelización del riesgo, así como una mejor gestión de crédito y, potencialmente, mejorar la estabilidad financiera.

Palabras clave: Exposición de impagos; EAD; Riesgo de crédito; Provisión para pérdidas de créditos; Cooperativas de servicios financieras; Canadá.

Claves Encolit: C5; G21.

[en] Exposure at default: drivers for Canadian cooperative sector

Abstract. Defaults by individuals were at the source in the last financial crisis, thus the need to fully understand credit risk from personal borrowers. Expected loss from credit is usually decomposed in probability of default, loss given default and exposure at default (EAD), the latter factor being yet the least investigated. This research seeks to contribute by identifying the determinants of EAD in the Canadian financial cooperative sector that had exhibited great resiliency during the crisis. The sample consisted of more than 11000 cases of default occurring between 2003 and 2008 on revolving lines of credit granted to individuals. The results show that several factors are significant, namely the borrower’s age, the exposure limit, the amount drawn, the interest rate applied on the line of credit and the utilization behavior. Moreover, the relationship of EAD to macroeconomic factors points to it. Overall, more than 50% of the variance of EAD can be explained. In sum, the research sheds light on a credit factor, EAD on credits to individuals, which has remained rather obscure up to now. The improved understanding of EAD can lead to better risk modeling, better credit management and, potentially, improve financial stability.

Keywords: Exposure at default; EAD; Credit risk; Provision for loan losses; Financial services cooperatives; Canada.

Summary. 1. Introduction. 2. Literature review. 3. Methodology. 4. Model. 5. Results and discussion. 6. Conclusions. 7. References.

How to cite. Redjah, Y.; Roy, Y.; Buendía-Martínez, I. (2021) Exposure at default: drivers for Canadian cooperative sector. REVESCO. Revista de Estudios Cooperativos, vol. 139, e78926. https://dx.doi.org/10.5209/reve.78926.

1. Introduction                                                                                                                

During the past decades practitioners as well as academics were concerned on the importance of managing credit risk to ensure the stability and solvency of the financial system inspiring many researches on the subject. The first global financial crisis in the new century has increased the concern of the impact of the inaccuracies in the credit exposure management on the banking systems and pushes the research on the modeling of the loss provision. The second Basel Accord as a standardized approach for the calculation of the credit risk establishing the loss provision in relation with the probability of default (PD), the loss given default (LGD) and the exposure at default (EAD). The first two parameters have retained the most of the researchers’ attention during the last decades (Bonini & Caivano, 2013; Camara, Popova & Simkins, 2012; Carlehed & Petrov, 2012; Gurny & Gurny, 2013; Gurtler & Hibbeln, 2013; Tong, Mues & Thomas, 2013) leaving the EAD less investigated.

In order to fill in the gap, this paper seeks to contribute to the literature identifying the determinants of EAD on the revolving credit lines granted to individuals contrasting with past empirical studies on EAD for corporate loans. The EAD will be tested on macroeconomic and idiosyncratic variables using a stepwise approach. Several variables turned out to be significant in explaining the EAD such as the utilization ratio before default, the authorized and the utilized amounts, the age, the interest rate charged on the credit line, the 3-month risk free rate and the TSE300 index.

But this work adds two new elements to the previous research on the subject (Gililaro & Mattarocci, 2012; Lu & Wang, 2012; Troiani, 2013; Yang & Tkachenko, 2012). Firstly, the focus is made on the revolving credit lines granted to individuals including record from 11278 defaults of households’ accounts between 2003 and 2008 that contrasting with empirical studies on EAD for corporate loans. Secondly, the data set includes 11278 defaults between 2003 and 2008 and it comes from the biggest Canadian financial cooperative having almost $200 billion in assets. Cooperative banks play a key role in the most of developed countries increasing the diversity of the banking sector, both in terms of business models as well as in terms of ownership structure, thus contributing in a significant manner to improving the financial system (Ayadi et al., 2010, 2011; Hesse & Cihak, 2007).

The paper is divided as follow. After the introduction, the second section summarizes the literature dedicated to the EAD factor as well as the particularities of financial services cooperatives (FSC) and their impact on credit risk. The third section presents the data base and the descriptive statistics. The fourth section presents the methodology and the fifth includes the model. The results and discussion are in the sixth part. A conclusion will close the paper.

2. Literature review

2.1. EAD as a parameter of credit risk

The literature dedicated to the EAD can be divided into two segments. Firstly, there is the documentation provided by the Bank for International Settlements (BIS), through the Basel committee, which gives the qualitative and mathematical framework regarding the EAD estimation. Secondly, several theoretical papers, published mainly before 2006, were used by the committee as consultative papers to build the regulatory framework. Also, we can find a few empirical studies on EAD, published for the most after 2006, which can be used to compare the results obtained here. A brief summary of this literature is presented in the two following sub-sections.

2.1.1. The Basel II Accord and the EAD

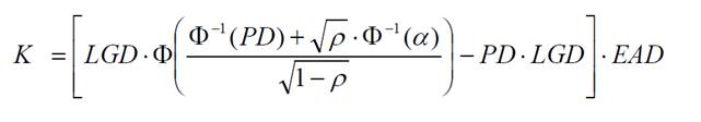
Under Basle II, we can see that the EAD is a key factor for the estimation of both the loss provision that appears in the balance sheet and the regulatory capital that the financial institutions has to maintain. Together, these two financial charges provide a confidence level of 99.9% of the bank solvency. Thus, they cover the quasi-totality of the loss distribution. Two formulas have then been developed to estimate respectively the expected loss for which a provision is estimated (equation 1) and the regulatory capital (equation 2).

                                                                 (1)

                                                                 (2)

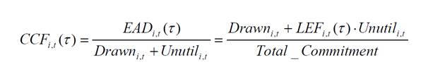
These two equations show the importance of having an accurate estimation of the EAD. In fact, this parameter has a linear and positive impact on these two amounts that have to be calculated. An underestimation of the EAD can lead to the weakening of the bank’s solvency. The EAD can be estimated in two ways, using one of the following two factors: the Loan Equivalent Factor (LEF) and the Credit Conversion Factor (CCF). The first one represents the portion of the unutilized line that is expected to be drawn down before default (Stephanou & Mendoza, 2005: 11). This factor is widely used in academic papers, and it is defined as:

                                                                 (3)

Thus, the LEF for the credit line, at time  and for the random horizon of default is equal to the difference between the drawn amount at time of observation  and the time of default +, divided by the unutilized portion of the facility.

The second factor is the CCF and it is defined by Jimenez, Lopez & Saurina (2006) as the fraction of the total commitment at time  that will have been drawn when the borrower reaches default time .

                                                                 (4)

The CCF can be seen as a utilization ratio of the credit line. The numerator sums the portion of the commitment that has already been used by the borrower at the observation date , and the portion that will be used until he reaches the time of default. The denominator represents the total commitment, or the exposure limit. The regulators recommend using the CCF instead of the LEF to estimate the EAD which is why we choose the first as our proxy. This factor will then be our dependent variable.

Given that the EAD is usually expressed in monetary terms, we only have to apply the following relations to obtain its estimation:

 

                                                  (5)

                                               (6)

The key factor here is to have an accurate estimation of the LEF or the CCF. The fact that these two parameters incorporate a stochastic pattern, implies some uncertainty in the magnitude of the EAD estimation. In fact, at time , we cannot know with certainty what will be the usage ratio of the credit line at the time of default. The expected loss and the regulatory capital are then sensitive to the LEF or CCF estimation. A better understanding of the credit conversion factors determinants can thus contribute to the improvement of the financial stability of banks.

2.1.2. Empirical studies of the EAD

As said earlier, the EAD is the expected amount that has not been recovered by the creditor at the time of default. According to Jimenez, Lopez & Saurina (2006, 2007) it implies a major source of credit risk due to the proportion that loans represent in banks assets. Gruber & Parchert (2006) recommend that the EAD must not be less than the book value of receivable account. They also argue that in an advanced internal model approach, the EAD must be estimated by taking the historic average of the EAD weighted by the PD plus a safety margin. However, unlike the PD which requires considering the entire portfolio of loans, the EAD estimation needs a data base including only the defaulted loans. 

Even if EAD is a new concept created by the regulators in the in the second lustrum of this century, we still can find some earlier studies that are closely related to this theme. Asarnow & Marker (1995) have studied corporate credit lines utilization between 1987 and 1993 by firms with an S&P rating. They found that the LEF increases with a decreasing credit quality. For their part, Araten & Jacobs (2001) find a decreasing LEF as the credit quality deteriorates. Also, they found no significant relations between the LEF and the type of credit line, the commitment size, the industry, the borrower localization and the characteristics of the creditor. Their study was based on 1021 observations split among 408 credit lines between 1995 and 2000. Finally, these authors submit the hypothesis that the EAD increases when the credit quality decreases for the reason that the borrowers start using their revolving credit lines more intensively in response to the tightening of the credit market. This uncertainty could be driven principally by the borrowers with a good credit scoring. In fact, they are less constrained on their credit line utilization. 

In a more recent study, Jimenez, Lopez & Saurina (2006) chose to look more closely at the CCF. They used a large database that includes about one million observations consisting of Spanish corporate loans of at least 6000 euro between 1984 and 2005. Firstly, they find a clear difference between non-defaulted and defaulted loans regarding to the utilization ratio. In fact, for a given date of default, the non-defaulted borrowers have maintained a ratio of 50% during the five previous years. The second group, composed by the defaulted loans, showed a ratio of 60% five year before the moment of the default and this percentage rose monotically to reach the 90% mark at the year of default. Secondly, they found that the CCF is negatively and significantly correlated with the credit risk of the company. The authors stated that it could be a proof of a stronger monitoring because the riskier loans are those which have the smallest CCF.  Also, it appears that the CCF is smaller for the banks with a small ratio of loss on loans and for the loans characterized by a long maturity, a high exposure limit and with the presence of collateral.

Jacobs (2008) implemented a simultaneous regressions model with three different dependent variables (LEF, CCF and EAD) for which the same set of independent variables was applied. The CCF turned out to be the more efficient model with regard to the R² that he produced. The data set includes 7200 defaults from the Moody’s LGD database and covers two decades from 1985 to 2006. The key findings were that the EAD risk decreases with the probability of default. This risk also decreases with the credit quality and with higher levels of leverage and liquidity. On the other side, the EAD risk increases with the company size and for unsecured loans. Finally, subordinated debt induces more hazardous EAD than senior debt.

Sufi (2006) examined the loans granted to US firms between 1996 and 2003 and showed that the access to the credit lines and their corresponding utilization ratio were affected by the profitability of the company, the type of industry, the experience of the company in term of number of years of existence and finally by the firm size. He also supports the hypothesis developed by Araten and Jacobs (2001) which states that the revolving credit lines are an alternative to liquidity crisis that the borrowers can meet. The same results are obtained by Zhao, Swyer & Zhang (2014) that suggest that credit lines usage is a function of both borrowers´ characteristics and banks´ monitoring and control of these lines. Jimenez, Lopez & Saurina (2007) confirm the results of Sufi (2006) and Araten & Jacobs (2001) that state that “a wide variety of loan-level, firm-level, lender-level, and macroeconomic factors determine corporate credit line usage” (p. 5096). Thus, they add potentially an additional credit risk.

Finally, the last aspect that we want to point out is the procyclicality of the EAD. Besides the previous elements that we developed on the text of Asarnow & Marker (1995), we can add a more surprising result of their research. In fact, they found that for a sudden deterioration of the economic condition or the credit quality, the utilization of the normally unutilized portion of the loan increases faster for borrowers with a good credit rating. They explain this by the fact that less secure companies are facing more monitoring by the bank. Thus, the authors argue that the procyclicality in the EAD is driven principally by the obligors classified among the credit grades. Stephanou & Mendoza (2005) adopted the same point of view and said that the obligors that have a good credit rating make default following a sudden deterioration of their financial situation which could be possibly due to an unexpected economic downturn. In the other hand, more risky borrowers make default after a gradual worsening of their solvency.

In a broader perspective, Allen & Saunders (2003) explain that the banking industry is procyclical. Banks reduce the volume of loans during economic slowdown at a moment where companies need it the most to overcome for example liquidity problems. In fact, we can easily imagine that PD increases during this period, implying additional amounts of loss provision and regulatory capital for banks. Thus, they would reduce their lending activities to maintain what remains of their financial flexibility. According to the authors, EAD has then to be watched especially during economic downturns. The utilization rate of the credit line is higher during these periods where the borrowers are forced to use their existing lines due to the difficulty of obtaining new loans. In consequence, we can anticipate more defaults on these existing lines.

Empirical studies such as Jacobs (2008), Kim (2008), Jimenez & Mancia (2007), and Jimenez, Lopez & Saurina (2007, 2008, 2009) find all several evidence that the EAD follows a cyclical pattern. They have found that the number of default increases during economic downturn or crisis. The values of the CCF and LEF also reach their peak at these same moments. The variables that explain the most these phenomena are the Gross Domestic Product (GDP), the three-month risk-free rate, the growth rate of real estate prices and finally the S&P 500 index.

These are the main studies relative to the EAD that we could find. All the variables that turned out to be significant in this literature will be tested in this present research. Idiosyncratic variables will be tested here along with macroeconomic variables to confirm the cyclical effects on the EAD. However, we must be cautious in the way that we extrapolate our results to these past studies since the populations studied are not of the same type. In fact, we concentrate here on loans granted to individuals while the past literature focuses on corporate loans.

2.2. Credit risk and financial services cooperatives

More than a century has passed since the creation of the first Financial Services Cooperative (FSC) in North America which largely contributed to the accessibility to savings and credit for consumers, farmers, craftsmen, and small and medium enterprises (SME) in the countries where they prospered. Historically, FCSs have been a form of social banking used by individuals and micro-enterprises, more or less marginalized, that must mobilize resources to reorganize their activities using only market organizations. Although the contribution of FSC in maintaining access to financial services is recognized (European Association of Co-operative Banks, 2005; Jones, 2007; Mayo & Mullineaux, 2001; Pfeilstetter & Gómez-Carrasco, 2020), FCS possesses a clear ability to stimulate local development in both urban and rural areas not only with their financial resources but also with their philosophy and organisational expertise (Brat, Buendía-Martínez, Normardin & Ouchene, 2018; Buendía-Martínez, McCarthy, Briscoe & Ward, 2001). From a financial point of view, FSC retain local money within the community by encouraging the pooling of local savings for local lending unlike argues that conventional banks reduce the purchasing power in a community since any money invested leaves the community of origin and is employed elsewhere. Furthermore, once money leaves the community it will only return at interest rates determined by the world market (Douthwaite, 1996). Carchano Alcaraz, Carrasco Monteagudo & Soler Tormo (2021) assert that by assisting in local development, FCSs can actually reduce local migration and emigration, thereby sustaining populations and the demographic health of local communities. From an organisational perspective, one of the most valuable contributions FCSs make to local development in their communities is demonstrating the principle of co-operation. Generally speaking, involvement in local development assists FCSs in extending their vision of social justice both to the individual members and to the larger community in which they work and reside, as directed by their operating principles. FCSs are a means by which a community’s financial resources in particular can be mobilised for the mutual benefit of the community as a whole (Buendía-Martínez & Côté, 2014; Buendía-Martínez, McCarthy, Briscoe & Ward, 2001).

These FSC features are based on their specific principles and values as cooperative organizations. Defined by the International Cooperative Alliance (ICA), cooperative principles and values represent the basis of cooperative operation and development, being classified as basic (self–help, self–responsibility, democracy, equality, equity, and solidarity) and ethical (honesty, transparency, responsibility, and social vocation) (ICA, 1995). These foundational values differentiate cooperatives in terms of mission, governance, income generation, and profit distribution and they drive the generation of economic and social value in the development of their business activity (Guzman, Santos & Barroso, 2020; Lévesque, 2002; Monzon, 2013; Said & Moulin, 2014). The economic theories of cooperatives creation present them as groups of people who want to both resist and adapt to the transformations of their own production or consumption activities by creating a collective enterprise whose development they direct according to their own interests. This logic of action explains a fundamental characteristic of cooperative organizations according to which the members who form them are both owners and users of the business they create and of which they assume governance. The rules of governance are based on the values of equity, democracy, and solidarity which characterize cooperative organizations and they materialize in: a) equality of persons, the members each have one vote at the general meeting, regardless of their participation in the capital; b) the share of capital that defines the right of ownership of the company is contributed by the members who are the users of the goods and services of the company. It retains its nominal value not being able to transfer or sell and being reimbursed by the cooperative when the member retires; and c) surpluses are shared among members on the basis of their participation in the activity of the company. Part of the surplus is generally reinvested in the business and remains collective property (Malo & Tremblay, 2004; Poulin & Tremblay, 2005).

These characteristics have not always been well understood by financial regulators thus posing problems in the recognition of FSCs as financial institutions under the same conditions as the rest of the financial intermediaries. Their consideration as a nonbanking financial institution has caused multiple limitations in its banking operations, including the impossibility of adopting international standards in matters of capital requirements and financial and operational risk analysis. In the majority of developed countries, FSCs have been transformed in universal banking institutions with the same banking statuses as their competitors. In this context of equality, the analysis of the literature carried out by McKillop et al. (2020) shows that FSCs are less risky than commercial banks derived from two factors: the different risk-taking incentives because of its aim to achieve the maximum economic and social development for their members, and the stable deposit base that would lead to more conservative credit policies (Jimenez, Lopez & Saurina, 2008, 2009; Salas Fumas & Saurina, 2002). In an opposite position, Liu & Wilson (2013) show that the increased competition for the Japanese FSCs results in a greater exposure to risk.

In this context, this work is framed to validate whether the factors that affect the EAD in resolving credit lines granted to individuals are the same as for corporate credit lines and if the type of financial institution has an influence on the levels of credit risk. This aspect is particularly important in those countries where FSCs compete on equal terms with commercial banks since the EAD in the FSCs modeling is a key element of credit and loan-pricing calculations. To achieve this, the database used comes from one of the largest cooperative financial groups in the world: Desjardins Group from Canada.

FSCs have a central place in the Canadian financial landscape. The first FSC in North America was created in 1901 in Levis (Quebec, Canada) by Alphonse Desjardins. Its objective was to offer workers, small producers, and farmers access to credit and savings services, keeping them away from the influence of loan sharks and providing them with an instrument of economic development. More than a century after its creation, Canadian FSCs have a predominant place in the economy with more than 11 million members representing around a third of the population, one of the highest penetration rates in the world. With an offer of products and services on equal terms with the rest of their competitors, the FSCs have faced the different crises with some strength without sudden variations in their profitability and efficiency levels. Under provincial regulation and supervision, Desjardins Group is the largest financial group in the province of Quebec and the sixth in Canada. Its dominant position, its sustained growth and its excellent financial results have led to it being considered an international benchmark not only for its profitability but also for the constant effort to maintain its cooperative nature based on the participation of its members and the satisfaction of their needs (Poulin & Tremblay, 2005).

3. Methodology

3.1. The database

Before analyzing the data, two practical considerations. First, defaults are identified for individuals who received a tracking code, borrowers for whom the interest rate was reduced and those who are 90 days late on their payments. Also, defaults include restructured loans, non-performing loans, and loans for which the guarantee was taken over by the institution. Second, Gruber and Parchert (2006) recommend that the EAD must not be less than the book value of receivable account. They also argue that in an advanced internal model approach, the EAD must be estimated by taking the historic average of the EAD weighted by the probability of default plus a safety margin. However, unlike the PD which requires considering the entire portfolio of loans, the EAD estimation needs a data base including only the defaulted loans. In this line, Moral (2006) establishes the conditions that a data set must have to assess empirically the EAD: composed only by the defaulted loans and cover a sufficiently long period, between five and seven years. The database used in this research meets these requirements: includes 11278 cases of default between 2003 and 2008 on revolving credit lines granted to individuals in the province of Quebec (Canada). This reference period is interesting in that we can capture the effects of the recession of 2008.

Concerning the variables, table 1 summarizes the set of variables have been considered. For each observation we have access to the following information:

            Loan characteristics: They include variables such as the exposure limit, the type of product, the type of collateral, the type of interest rate and the interest rate charged.

            Borrower characteristics and its credit line utilization behavior: We will try to capture this with four variables such as the borrower’s age, the utilization amount, the credit rating, and the default year. The authorized and utilized amounts are available at the default moment and for the twelve months preceding this event. The dependent variable, the CCF, is then the utilization ratio at the time of default.

Also, the EAD’s response to cyclical effects will be captured by the macroeconomic variables, which can be grouped into the four following categories. We tried to combine indicators from the real economy and from stock markets.

            Interest rates: we have chosen the three months Canadian Treasury Bill and the bank rate. These two interest rates, from the bond market and the banking industry, give us proxies to the cost of borrowing and financing.

            Real estate and mortgage markets characteristics: we used the five-year Canadian mortgage rate which reflects the mortgages costs. The dynamism of these two markets will also be tested using two indices which are the REIT index from the Toronto Stock Exchange and the Canadian New Housing Starts available in the Statistics Canada’s Socioeconomic Time Series Data (CANSIM).

            Consumer index: spending on durable goods is the variable that was chosen to verify if the purchasing power has an impact on the EAD. The index of consumer prices would have been a good alternative, but it turned out to have a very strong positive correlation with the first one.

            Overall performance of the economy: the GDP and the TSE 300 index were used to assess the reaction of the EAD to the economic cycles.

Table.1. Variable’s description summary

Variables

Description

Exp_Limit

Exposure limit 12 months before the time of default (13 obs)

Drawn

Utilized amount 12 months before the time of default (13 obs)

Av_Drawn

Monthly average utilized amount 12 months before the time of default (13 obs)

D_IntRate_i*

Dummy variable for the type of interest rate “I” charged on the resolving credit line

Int_Rate

Interest rate charged on the revolving credit line

D_Yr_j

Dummy variable to control for annual effects j = {2003,…,2008}

D_CrRat_k

Dummy variable to control for credit rating effects k = {1,…,9}

CrRating

Credit rating attributed to the borrowers ranging 1 to 9

D_Prod_n*

Dummy variable to control for the type of credit line “n”

D_Coll_g*

Dummy variable to control for the type of collateral “g”

Age

Age of the borrower

T-B 3m

Three-month Canadian Treasury Bill. Source: Bank of Canada

Mortg rYr

Five-year mortgage rate. Source: Canada Mortgage and Housing Corporation (CMHC).

Delta T-B 3m

Growth rate of the three-month Canadian Treasury Bill. Source: Bank of Canada.

Delta Mortg 5Yr

Growth rate of the five-year mortgage rate. Source: CMHC.

Delta Bk_Rate

Growth rate of the Canadian bank rate. Source: Bank of Canada

Delta GDP

Growth rate of the Canadian GDP. Source: CANSIM v498086 (StatCan)

Delta EDG

Growth rate of the Canadian expenditure on durable goods. Source: CANSIM v498088 (StatCan)

Delta CHS

Growth rate of the Canadian housing starts. Source: CANSIM v729949 (StatCan)

Delta TSE

Growth rate of the S&P/TSX TSE300 index. Source: Bloomberg.

Delta REIT

Growth rate of the S&P/TSX Capped Real Estate Index. Source: Bloomberg.

Source: Prepared by authors

3.2. The descriptive statistics

We now take a closer look at our selected variables with several descriptive statistics. We start with the annualized observation of the CCF presented in Table 2. The number of defaults increased from 479 in 2003 to 4055 in 2008. This growth is primarily due to issues regarding the database implementation in the early years. However, we will see that the 2007 crisis has certainly a role to play too.

The exposure limit and utilized amounts have grown monotonically during these six years, which amplify the EAD risk. However, the average CCF has decreased in the last years even if it corresponds with the crisis’s peak. We probably have here an evidence of a stronger monitoring by the institution during the recession. Also, the interest rate has followed a pattern like the CCF with a minimum reached in 2008, which confirms the monitoring hypothesis since financial institutions usually reduce interest rate to prevent defaults. Meanwhile, the age has increased linearly except for the peak in 2005.

Table 2 also shows that the average credit rating decreases clearly in 2007 and 2008 confirming thus the analysis of Allen and Saunders (2003) and Stephanou & Mendoza (2005) that credit grade obligors make default due to events not under their control like an economic downturn for example. Figure 1 illustrates, for each year, the proportion of defaults attributable to each credit score. First, we can see for example that the borrowers noted 7 are the ones with the more defaults. Second, the shape of the curve is generally the same year after year. Finally, we can notice that during the crisis in 2007 and 2008, the proportion of good creditors (rated 1 to 3) are higher than the previous years.

Globally, the CCF for the entire population is equal to 0.7887 with relatively fine parameters of skewness and kurtosis. However, it should not be mistaken, the CCF distribution is far from being normal. In fact, figures 2 and 3 illustrate the fact that the distribution is bimodal with peaks reached at the 0% and 100% marks. Moreover, the Jarque-Bera test has been run on the CCF distribution and rejects the normality hypothesis. The shape of the distribution that was obtained is exactly the same as the one of Jimenez, Lopez & Saurina (2006) and Jacobs (2008). Thus, similarly to these two studies, we will still assume the normality of the distribution.

We conclude by analyzing the utilization ratio twelve months before the moment of default. In the table 3, we can see that the resulting CCF is in line with the literature review because it is constantly increasing as the borrowers reach the default moment. The fact that the CCF is smaller at the time of default is probably a second evidence of a stronger monitoring by the financial institution who tries to recover as much as it can to minimize the size of default. Logically, we obtain a utilized amount that grows linearly while the exposure limit remains stable. We also can notice some clear tendencies in the second to the fourth moments of the distribution. In fact, as we approach the time 0 the distribution become more skewed, peaked and less scattered.


Table. 2. Annualized descriptive statistics: idiosyncratic variables.

 

2003

2004

2005

2006

2007

2008

Total

Observations

479

899

1394

2089

2362

4055

11278

Proportions

0,0425

0,0797

0,1236

0,1852

0,2094

0,3595

-

CCF

0,8035

0,8496

0,7938

0,8050

0,7866

0,7647

0,7887

StdDev

0,3489

0,3104

0,3644

0,3495

0,3520

0,3543

0,3515

Skewness

-1,5769

-2,0319

-1,4986

-1,5636

-1,4323

-1,2853

-1,4529

Kurtosis

3,8371

5,5830

3,5052

3,7980

3,4351

3,0721

3,4903

Exposure Limit ($)

5 945,15

6 444,53

6 777,98

10 176,74

13 512,38

14 714,06

11 609,40

StdDev ($)

8 710,56

11 508,61

14 236,32

29 359,39

31 475,24

36 625,92

29 987,94

Drawn Amount ($)

4 733,30

5 147,52

5 132,89

7 564,09

9 335,13

10 267,03

8 293,48

StdDev ($)

8 329,50

8 603,45

12 338,06

25 613,64

23 159,89

28 695,96

23 704,05

Interest Rate

0,0948

0,0874

0,0913

0,1012

0,1057 

0,0937

0,0969

StdDev

0,0285

0,0293

0,0283

0,0307

0,0327 

0,0326

0,0319

Credit Rating

5,42

5,59

5,46

5,38

5,05

5,25

5,29

Mode

6

7

7

6

6

7

7

Age

36,84

37,00

41,10

37,11

38,46

39,31

38,66

Source: Prepared by authors

Table. 3. Descriptive statistics: Evolution of the CCF 12 months before default.

Months to Default

Obs.

CCF

Std Dev

Skew

Kurt

Exp. Lim.

Std Dev

Drawn

Std Dev

0

11278

0,7887

0,3515

-1,4529

3,4903

11 609 

29 988 

8 293 

23 704 

-1

11232

0,8829

0,2361

-2,1959

6,9024

11 726 

30 431 

9 178 

24 456 

-2

11177

0,8743

0,2435

-2,1025

6,4484

11 773 

30 596 

9 081 

24 191 

-3

11119

0,8681

0,2491

-2,0370

6,1357

11 947 

31 226 

9 046 

24 360 

-4

10884

0,8527

0,2628

-1,9429

5,7570

12 140 

31 811 

8 895 

24 313 

-5

10622

0,8397

0,2738

-1,8264

5,2737

12 133 

31 834 

8 706 

24 113 

-6

10338

0,8268

0,2857

-1,7502

4,9873

12 164 

32 223 

8 465 

24 081 

-7

10046

0,8122

0,2975

-1,6109

4,4311

12 130 

32 227 

8 241 

23 782 

-8

9790

0,8011

0,3076

-1,5447

4,1680

12 123 

32 381 

8 082 

23 615 

-9

9495

0,7931

0,3147

-1,4876

3,9548

12 120 

32 458 

7 920 

23 434 

-10

9205

0,7816

0,3241

-1,4117

3,6844

12 109 

32 617 

7 687 

22 998 

-11

8901

0,7764

0,3275

-1,3867

3,5999

12 085 

32 676 

7 523 

22 737 

-12

8611

0,7693

0,3315

-1,3434

3,4726

12 063 

32 969 

7 361 

21 998 

Source: Prepared by authors


Figure. 1. Proportion of credit scores by year

              Figure. 2. Distribution of the CCF

Figure. 3. Distribution of the CCF by credit rating

3.3. The exploratory descriptive statistics

The following series of descriptive statistics characterize the EAD, proxied by the CCF, of the revolving credit lines through various variables such as the types of product, of collateral, of interest rate but also by the credit rating and some macroeconomic variables. Table 4 summarizes the CCF distribution by type of product and by type of interest rate. In the first, there are eight sorts of revolving credit lines lead by the 102 product which represents almost a third of the population. We can see that products from 100 to 102 are easily linkable as they have approximately the same distribution parameters in terms of mean, standard deviation, skewness and kurtosis. They also display the same age, credit rating, interest rate, exposure limit and utilized amount. Secondly, given that the products 105 to 110 are rather poor in terms of number of observations, it might be difficult to determine a clear trend among the borrowers that enter into these contracts. In fact, it seems that these products are somewhat atypical with regard to the CCF, to the exposure limit or the interest rate. Finally, the credit line 0 is an undefined product of the financial institution. It enters then into neither category. However, it is quite like products 100 to 102 except for characteristics such as the exposure limit, the age or the interest rate. Secondly, the financial institution that granted us the database permits five different types of interest rate. However, in this panel, we count only three of them. Borrowers who paid interest rates 1 and 3 present clearly the same profile even if the first is fixed and the latest is a floating rate. The clear distinction comes from the interest rate number 4, which is clearly assigned to well rated borrowers. In fact, we can see that the average credit score is low, combined to a relatively old population and high exposure limit. The interest rate charged is also quite low compared to the two other categories.

Table. 4. Annualized descriptive statistics: idiosyncratic variables.

CCF by type of product

 

0

100

101

102

104

105

106

110

Observations

2667

1554

2103

3705

1081

60

106

2

Proportions

0,2365

0,1378

0,1865

0,3285

0,0959

0,0053

0,0094

0,0002

CCF

0,7851

0,7609

0,7922

0,7942

0,8451

0,5353

0,5936

1

StdDev

0,3623

0,3430

0,3458

0,3514

0,3247

0,3523

0,4048

0

Skewness

-1,4020

-1,2932

-1,4795

-1,5066

-1,9751

0,2325

-0,3161

-

Kurtosis

3,2686

3,2080

3,6232

3,6198

5,2613

1,5025

1,4303

-

Exposure Limit ($)

19636

9941

8010

6746

6784

70653

101244

13500

Drawn Amount ($)

12718

7645

6287

5140

5635

29532

68003

13500

Interest Rate

8,8190

10,4899

10,7492

11,0564

6,8650

5,8333

5,1052

6,2500

Credit Rating

5,3978

5,1287

5,0456

5.0969

6,5153

6,1167

3,6604

5,5000

Age

35,8

41,5

41,0

40,5

24,8

27,5

48,0

43,0

0: Undefined credit line

100: Personal credit line, type 1

101: Personal credit line, type 2

102: Credit line with daily or weekly capital reimbursement plan

104: Credit line: avantagous students loans

105: Credit line: student strategy

106: Protected credit line

110: Standby letter

CCF by type of interest rate

 

Fixed rate

Floating - On the personal interest rate basis

Floating - On the personal interest rate basis (old values)

Observations

266

10543

469

Proportions

0,0236

0,9348

0,0416

CCF

0,7941

0,7999

0,5343

StdDev

0,3218

0,3464

0,3844

Skewness

-1,5156

-1,5436

-0,1565

Kurtosis

3,9098

3,7636

1,4691

Exposure Limit ($)

5810,75

8243,35

92822,43

Drawn Amount ($)

4320,87

6322,24

54859,73

Interest Rate

11,6009

10,0770

5,5857

Credit Rating

5,0038

5,3938

3,1386

Age

41,6038

37,6937

46,3220

Source: Prepared by authors

Table 5 summarizes the CCF distribution by type of collateral. As we can see, there are principally three classes of guarantees (0, 33 and 99) that have enough observations to draw a faithful picture of the trends that exist. Firstly, the category 0, which requires no collateral, is the one that encompasses most of the observations with 82% of the population. It is then coherent that we find the same characteristics as in the last column of the table 2. Category 33, which is a loan backed by real estates, is typically granted to relatively old and secure borrowers for whom a high exposure limit was accepted. In the opposite way, the last category is more attributed to less secure and young borrowers. Their higher risk is materialized by a higher CCF which justifies the presence of collateral.

The relationships between the CCF and the macroeconomic variables is presented in the table 6. For these, we have 72 monthly observations from 2003 to 2008. The first column is the average growth rate of the eight indicators, while the second is their standard deviation. The third column shows the correlation coefficient of each variable with the CCF. It appears that all of them have a negative relationship meaning that the CCF, and then the EAD, is less risky in good economic conditions. However, not all of these indicators have a significant relationship with the CCF. In fact, the p-value, which tests the null hypothesis that the correlation coefficient equals zero, rejects it for five of the eight variables which are the GDP, the expenses on durable goods, the TSE 300 index, the bank rate and finally the 5-year Canadian mortgage rate. We can expect that these variables will turn out to be significant in the regression models. Table 7 shows the CCF about the credit rating. The types of interest rate, product or collateral are all possible ways to build regression models to refine the understanding of the EAD. However, for practical reasons it has been decided that the different models will be divided across the nine possible credit scores. In fact, the credit rating remains the parameter that has the biggest impact on the loan loss provision and on the regulatory capital.

We see that the traditional relationships that we can expect are holding between the CCF and the credit rating. Most of the defaulted loans (48%) were rated between 6 and 8 which are the less secure borrowers. We see also that the CCF grows monotonically from the left to the right, except for the credit score 9 because these borrowers are those who were not ranked by the financial institution. Thus, this rating does not represent the less secure borrowers. The CCF for those who were rated 1 is pretty small compared to the other groups. Thus, we can be surprised that these borrowers could make default on their credit line even with a CCF as low. This will confirm the hypothesis that good obligors make default after an unexpected event. The different moments of the CCF distributions are also getting worse as the credit quality deteriorates.

Also, we can validate that the exposure limit could be a method for the financial institution to manage the credit risk. In fact, the total commitment size decreases with the credit quality. The age follows the same trend and the figure 4 illustrates this fact. The distributions are moving from the right to the left as the rating diminishes. Besides, the interest rate exhibits a somewhat inverse U-Shape with a peak at the fifth credit score confirming the monitoring practices of the institution.  High rated obligors are benefiting from low interest rate that increase linearly until the fifth credit score, and then tend to decrease to manage the exposure of the less secure borrowers that are monitored more closely by the financial institution.

Finally, figure 5 completes this analysis by illustrating the annual CCF with regard to the credit score. We can anticipate some cyclicality in the EAD through the CCF even if we have here only 6 observations. In fact, the more we enter into the crisis (we approach from 2008), the more the different curves become difficult to distinguish. This fact implies a positive correlation among the different categories of obligors during bad economic conditions, which could result in a bigger exposure at default. However, borrowers rated 9 are exceptions since they are not classified by the financial institution, and thus they are a heterogeneous class. 

These various series of descriptive statistics provide us with early findings that are very interesting. At the macroeconomic level, we have seen that the EAD, via the CCF, reacts clearly to the economic cycles. Proofs of higher monitoring of the less secure borrowers have also been presented by reducing for example the exposure limit and interest rate of the more fragile borrowers. More generally, we found that the CCF presents clear differences among the types of credit line, of interest rate, of collateral and credit rating. This latest will be the variable that we have chosen to build our regression models.


Table 5. CCF by type of collateral.

 

Observations

Proportions

CCF

StdDev

Skewness

Kurtosis

Credit Rating

Age

Exposure Limit ($)

Drawn Amount ($)

Interest Rate

0

9242

0,820

0,7945

0,3482

-1,5055

3,6455

5,25

38,7

6820

5095

10,4851

10

15

0,001

0,8596

0,3374

-2,1513

5,6393

5,93

36,7

19956

12916

9,1793

20

4

0,000

0,9306

0,1203

-1,1547

2,3333

4,25

55,8

41500

39000

5,9125

24

20

0,002

0,8322

0,3457

-1,7148

4,1529

4,85

36,4

11300

10268

10,2105

30

16

0,001

0,8397

0,2606

-1,6949

4,5478

5,88

45,5

67135

51890

6,5313

31

1

0,000

1,000

-

-

-

8,00

45,0

85000

85000

4,5

32

22

0,002

0,6681

0,4170

-0,6709

1,7056

4,00

50,6

127482

93670

5,2477

33

477

0,042

0,6413

0,3786

-0,6083

1,8083

3,62

46,3

85750

56988

5,7365

34

16

0,001

0,4922

0,3711

0,1157

1,5365

3,88

52,8

93087

47073

5,1875

35

8

0,001

0,3831

0,4783

0,5109

1,2682

3,50

43,0

56469

14351

5,9688

36

19

0,002

0,3396

0,4205

0,7574

1,8154

3,00

48,1

126726

47561

5,7184

37

49

0,004

0,5357

0,4108

-0,1539

1,2879

3,71

48,6

52143

26614

5,7071

38

11

0,001

0,7145

0,3421

-0,7833

2,2123

2,91

44,7

125940

86207

5,9773

39

4

0,000

0,9860

0,0000

0,0000

0,0000

3,00

47,0

50000

49299

6,75

42

14

0,001

0,3720

0,3556

0,5637

2,0869

3,07

48,5

74535

46986

5,7964

43

1

0,000

0,6634

-

-

-

6,00

53,0

20000

13268

9,25

45

2

0,000

0,3839

0,2459

0,0000

1,0000

4,00

52,5

96395

21871

5,625

46

6

0,001

0,8387

0,0952

0,0000

1,0000

2,00

67,0

11997

10108

6,125

47

5

0,000

0,3146

0,4096

0,7071

1,8005

3,00

47,0

115400

18030

6,4

90

2

0,000

1,0000

0,0000

-

-

5,50

28,5

300

3000

6,375

91

1

0,000

1,0000

-

-

-

7,0

21,0

300

3000

11,25

99

1337

0,119

0,8318

0,3286

-1,7878

4,6508

6,37

30,1

9705

7952

7,9164

0: No collateral.

10: Mortg. Sec. affecting a specific property.

20: Mortg. Sec. on securities.

24: Other mortgage securities.

30: Speculative Residential Real Estate Mortg. on land.

31: Spec. Resid. Real Estate Mortg. on mobile residence with foundations.

32: Spec. Resid. Real Estate Mortg. on secondary residence.

33: Spec. Resid. Real Estate Mortg. on detached residence.

34: Spec. Resid. Real Estate Mortg. on paired detached residence.

35: Spec. Resid. Real Estate Mortg. on aligned detached residence.

36: Spec. Resid. Real Estate Mortg. on condominiums.

37: Spec. Resid. Real Estate Mortg. on multilodging (prop. to occupants).

38: Spec. Resid. Real Estate Mortg. on multilodging (non-prop. to occupants).

39: Univ. Residential Real Estate Mortg. on land.

42: Univ. Residential Real Estate Mortg. on detached residence.

43: Univ. Residential Real Estate Mortg. on paired detached residence.

45: Univ. Residential Real Estate Mortg. on condominiums.

46: Univ. Residential Real Estate Mortg. on multilodging (prop. to occupants).

47: Univ. Residential Real Estate Mortg. on multilodging (non-prop. to occupants).

90: Collateral from governmental organisations.

91: Collateral from private organisations.

99: Other.

Source: Prepared by authors


Table. 6. Correlation of the CCF with macroeconomic variables.

 

Av. Growth Rate

Std Dev

Correl. vs CCF

P-Value

3 months T-Bill

-0,0087

0,1045

-0,1957

0,0995

Bank Rate

-0,0053

0,0645

-0,3097

0,0081

5-year Mortgage Rate

0,0001

0,0265

-0,3753

0,0012

Gross Domestic Product

0,0039

0,0045

-0,4613

0,0000

Expenses on Durable Goods

0,0020

0,0065

-0,4939

0,0000

New Housing Starts

0,0183

0,1870

-0,1019

0,3945

S&P/TSE 300 Index

-0,0012

0,0485

-0,4165

0,0003

S&P/TSX REIT Index

0,0053

0,0418

-0,2464

0,0369

Source: Prepared by authors

Table. 7. CCF by credit rating.

 

1

2

3

4

5

6

7

8

9

Observations

387

847

1422

1506

1362

1933

2032

1524

264

Proportions

0,0343

0,0751

0,1261

0,1335

0,1208

0,1714

0,1802

0,1351

0,0234

CCF

0,5579

0,7122

0,7679

0,8001

0,7993

0,8018

0,8142

0,8376

0,7907

StdDev

0,3977

0,3834

0,3664

0,3446

0,3474

0,3479

0,3378

0,3062

0,3533

Skewness

-0,2221

-0,9579

-1,3174

-1,5611

-1,5416

-1,5568

-1,6552

-1,8812

-1,4514

Kurtosis

1,4198

3,0577

3,0577

3,8254

3,7366

3,7967

4,1238

5,1395

3,5047

Age

50,2

46,7

42,5

39,9

37,6

35,8

34,6

33,8

32,1

Exposure Limit ($)

32414

24554

16227

12161

8393

10123

7324

6641

4700

Drawn Amount ($)

16019

15136

11255

8988

6311

7748

5799

5711

3402

Interest Rate

7,9555

8,8141

9,5839

10,1124

10,3359

10,1992

10,2339

9,9325

9,2356

Source: Prepared by authors

Figure. 4. Distribution of the age by credit rating.

Figure. 5. Evolution of the CCF through years and by credit rating.

4. Model

The methodology that has been implemented in this paper is in line with previous studies such Jacobs (2010) and Jimenez, Lopez & Saurina (2006). In fact, idiosyncratic and macroeconomic variables will be assembled linearly to explain the CCF which is the proxy for the EAD. Another similarity with these previous papers will be that we make the hypothesis that the CCF is normally distributed, which could appear as a strong hypothesis. Thus, we have opted for an approach based on the Stepwise application. This latest is an appropriate choice for two main reasons. Firstly, this approach admits overidentified models like those that we propose that include several independent variables. Secondly, the Stepwise approach is proper when no theoretical basis exists in the literature that determines specific models to implement and when there is no hypothesis on the probable correlations that exist among the variables.

Stepwise uses an iterative method that adds or removes variables to build a final model that minimizes the estimation error or maximizes the coefficient of determination by choosing the optimal set of independent variables. Two methods could be used. The first one, known as forward, starts from an empty model (constant only) and adds variables one at the time. The second, which will be implemented here is known as Backward and starts with the complete model and remove variables one at the time to obtain the optimal model. The null hypothesis is that a variable has a coefficient that equal zero. If we can’t reject, the variable is dropped.

At each iteration (corresponding to a potential model), the program calculates the residual sum of squares. Hocking (1976: 8) gives the statistical criteria that is applied by the program.

 

                                                                 (7)

 

For each model, the stepwise application computes the F-statistic which is obtained by comparing the residual sum of squares of the initial model p and the model after removing a variable p - i. If the statistical significance is not improved, the variable is maintained only if it is sufficiently significant (F out corresponds to a significance level of 10%). At the end, only the variables that are significant at the 5% level will be included in the final model.

The stepwise method implies that the variables interact with each other creating several iterations that grows exponentially with the number of variables. Also, depending on the order of the variables in the initial model the stepwise application can lead to different optimal solutions. It is the reason why the backward method reinserts the variables that have been removed in the next iterations to control if their explanatory power has not change. Thus, the stepwise application leads to a solution that is locally optimal.  In this paper, tests have been run to ensure that the solutions that are presented are stable and unique.

The observed CCF, our dependent variable, is built by dividing the amount that has been drawn at the time of default by the exposure limit. The independent variables that are included in the regression models are those listed in that section 3.1. The general equation that is implemented takes the following form:

 

 

Where CCFi is the percentage exposure at time of default τ for the ith observation. The right side of the equation sums the idiosyncratic and macroeconomic effects. There are respectively j and k number of variables. As Jimenez, Lopez & Saurina (2006), we applied a logarithmic transformation of the dependent variable to resolve a problem of heteroskedasticity. The idiosyncratic variables include quantitative variables such the age, the exposure limit, the drawn amount, the interest rate charged, the credit score and a series of dummy variables such the types of interest rate, of product, of collateral, of credit rating and the year where the default happened. Macroeconomic variables include ten variables which are the growth rate of variables described in the previous chapter. Also, gross levels of the T-Bill and mortgage rate are included since consumers could be more influenced by the level of the interest than their growth rate for entering some positions. It is especially true when high level of mortgage rate could cause liquidity problems to householder.

5. Results and discussion

5.1. Results of general model

Our first model includes all the available observations. After having estimated the general form of the model as illustrated by the equation 8, we have noticed that the resulting model does not respect the condition of homoscedasticity. So, we applied two modifications to resolve the problem. First, we applied a logarithmic transformation of the dependent variable. But, given that the log of zero is undefined, we would have been forced to lose a non-negligible number of observations (1302). This fact had led us to the second adjustment, which is the replacement of drawn amount at the time of default (which constitutes the numerator of the dependent variable) by the average drawn amounts during the month where the default happened. This substitution has permitted to lose only 138 observations. The log transformation of the CCF has also been used by Jimenez et al. (2006). Equation 8 becomes then:

            (9)

However, to be sure that the models remain equivalent we ran a student test on the two vectors of the drawn amount and the average drawn amount. It came out that we can not reject the null hypothesis that the two variables have equal means. The T-Stat was -1.2337 and it is not surprising given that the means were respectively 8293.48$ and 8681.69$ with standard deviation of 23705.10$ and 23552.85$[5]. Note that the denominator remains the same which is the exposure limit.

Table 8 presents the results of the general model. First, we see that there are 14 variables that enters the final model, combining for a R² of 51.4%. The F-Statistic shows that the model is reliable. The age has globally a negative relationship with the CCF meaning that younger borrowers carry more risk. The utilization ratio one month before the time of default is, as shown by figures 15 and 16, certainly the variable that explains the most the CCF regarding its significance level. So even if default is primarily due to a progressive degradation of the CCF (Table 3), the true value of the EAD can be known only one month before default with some confidence. The two variables UR-2 and UR-4 have a much lower importance due to the small value of their coefficient.

In line with the findings of Jimenez, Lopez & Saurina (2007, 2008, 2009) we found that the exposure limit and drawn amounts are good predictors of the EAD. In fact, the more the financial institution authorizes a substantial limit, the smaller would be the EAD in percentage. However, this result must not be that surprising as we have seen that the highest exposure limits were granted to the good quality creditors.  The drawn amount respects the logic here since it is the numerator of the CCF, it is then normal that the more the drawn amount is important, the more the CCF will increase.

Table. 8. General model.

Source: Prepared by authors

The interest rate charged on credit lines has also shown a significant and positive impact on the CCF. Thus, when the interest rate increases, the EAD increases since payments on the credit line become bigger. In the other hand, dummy variables are not vital here. For the type of products for example, if we combine the number of observations of the three variables that turned out to be significant, we obtain only 15% of the population, which does not contribute notably to the global explanation of the EAD. Same goes for the collateral 32 for which we have only 22 data points. The age also explains the EAD with the traditional relationship that we expect from this variable, which is negative meaning that younger borrowers carry more risk.

Finally, we can see that the CCF is driven by two macroeconomic variables, the 3-month T-Bill and the S&P/TSE 300 index. As we have seen earlier, interest rates are positively related to the CCF, meaning that a growing interest rate increases the credit risk. In fact, financial charges becoming more important, liquidity issues could emerge, which might result on a default. The TSE 300 index shows that the CCF is correlated negatively with the economic cycle. Thus, the EAD risk is more important during economic downturns.

These findings confirm the results of the previous studies on the EAD even if they focused on corporate loans in commercial banks. In fact, the factors affecting the EAD are the same for corporate credit lines and revolving credit lines granted to individuals although we found for the first time that the interest rate charged on credit line has a role to play on the EAD fluctuation. This implies that the financial institution typology has no effect on the influence of the factors that affect the EAD in a context in which the FSCs compete in the financial market on equal terms with the rest of the financial institutions.

5.2. Segmented model analysis

Based on the general model, nine others were created but with the difference that they use equation 8 instead of 9. Table 9 summarizes the key information of each model. Contrarily to the zero mark, the number one in the table means that the variable is significant. If it is equal to minus one, it means that the relationship is significant and negatively correlated with the dependent variable. For dummy variables relative to the type of product, of collateral or interest rate, the dashed mark signifies that the variable is not included into the regression model due to a lack of observations.

Firstly, it is not surprising that the 9 sub-models, segmented by the credit rating, lead to numerous differences in the regression outputs. The heterogeneity among the risk classes leads to disparity in the CCF distribution and on the borrower’s characteristics. The age seems to produce a parabolic relation with the CCF. Even if globally the age is negatively related to the CCF, we can see that the situation is more subtle than it looks. First, the coefficient is significant but positive for the first model corresponding to the credit score 1. This could seem to be counterintuitive, but a rational explication could be that after a certain age, the borrower becomes riskier. For example, relatively old people retiring carry more counterparty risk than people well established in their professional careers. In fact, retirement could lead to a tightening of the financial flexibility. Notice that we have seen in Table 7 that borrowers rated 1 are those who average the highest age. Thus, there exists an inflection point that permits to switch to a negative sign regarding the age variable. This inflection point is located somewhere between the 2nd and 4th credit score since the relationship is no more significant for these models (except the third one). From the 5th model, the traditional relation applies, except for the last model which corresponds to the unclassified borrowers.

Three variables enter in all ten models, which are the exposure limit, the drawn amount at the time of default and especially the utilization ratio one month before default. This latest variable retains most of the coefficient of determination. Thus, financial institutions could know with a relative confidence the exposure at default only one month before this moment. The exposure limit and the drawn amount were also all significant and show the same relationship. Thus, borrowers take more precautions to use credit lines with high exposure limit. On the other side, it is normal that the drawn amount is positively correlated with the CCF since the more a credit line is used, the greater EAD would be.  

Interest rate has not shown any particular relationship among the sub-models. However, as we have seen, on an aggregate basis, the interest rate charged on credit lines influences the CCF level. If it is set to high, it could become a burden for the borrowers, increasing thus their credit risk. Dummy variables do not show special relations either.  In fact, the type of credit line, the type in interest rate and the year of default do not provide any clear evidence.  However, the type of collateral demonstrates that the absence of guarantees increases the EAD risk about the low-quality borrowers (4 and above).

The macroeconomic variables show disparate results. In fact, several variables had alternately shown some explanatory power. However, this situation does not allow us to determine clear differences among the sub-models relative to their response to economic cycles. Thus, the key information here remains the fact that in general, CCF is negatively correlated with the economic cycle proxied by the TSE300 index and that it is positively correlated with market interest rate.

Finally, through the coefficient of determination we can see that the CCF for extreme credit scores (1, 2, 8 and 9) could be explained more easily than the CCF for middle classes borrowers. In fact, the R² displays a U-Shape ranging from 63.7% to 32%, with lowest values concentrated between models 3 and 7. Thus, more explanatory variables are needed to improve these models, even it they use already the highest number of variables. The standard deviation of the estimator is stable across the different models. Also, we can say that the models presented here are reliable as the F-tests are very high. This statistic, included in the outputs of the stepwise implementation, expresses the null hypothesis that the model is relevant versus the constant only. Among the variables that permit to reach these levels of significance, the most important were the utilization ratio, the exposure limit, the drawn amount, the age, some collateral categories and some macroeconomic variables.

Table. 9. Summary of the 10 models.

Source: Prepared by authors


Table. 10. Summary of the 10 models (cont.)

Source: Prepared by authors

5.3. Residual analysis

We end this chapter by presenting the residual analysis relative to each model. Firstly, we can say that all of them respect the Gauss-Markov theorem, and then we can say that they are the best linear unbiased estimator (BLUE). However, these models are not consistent because the error terms do not follow a normal distribution. Now, we are going to present the results summarized in Table 10 that allow us to assert that. But first, one must notice that this analysis has been accomplished in four steps, which are:

        Checking the independence of the variables by conducting the Durbin-Watson test on the error term vector (1st column).

        Checking the normality of the residual distribution by conducting the Jarque-Bera test, (2nd column).

        Checking the homoskedasticity condition (constant variance) of the error term by conducting the Breusch-Pagan test (3rd column).

        Verifying that the error term has an expected value of zero by calculating its mean (4th column).

We complete the Gauss-Markov theorem by assuming that the database is randomly constituted and by attesting that the models are linear.

Table. 10. Residual analysis.

 

Durbin-Watson Test

Jarque-Bare Test

Breusch-Pagan Test

Avg(Res)

General model

1,8250

1

0

1,13E-13

Model 1

2,0776

1

0

-4,77E-16

Model 2

1,6927

1

0

-7,29E-16

Model 3

1,6979

1

0

-5,98E-16

Model 4

1,8853

1

0

-5,80E-15

Model 5

1,8651

1

0

8,11E-16

Model 6

1,8227

1

0

-1,01E-15

Model 7

1,7525

1

0

8,11E-15

Model 8

1,9076

1

0

2,90E-15

Model 9

2,0667

1

0

7,86E-16

Source: Prepared by authors

We can notice that the first item is checked. Indeed, in all the models we are close to the target value of the Durbin-Watson test which is 2. This statistic is acceptable in a range of plus or minus 0.5. It reveals serious shortcomings when it is plus or minus 1 and beyond. Thus, the database is well constituted and does not reveal interdependence problems between variables.

The second aspect is not satisfied, which does not allow us to obtain consistent models. In fact, the Jarque-Bera tests reject the normality assumption of the error term. This later should display a straight line to be able to certify that error terms follow a normal distribution. Instead, we can see that the dotted line comes typically from a bimodal distribution. Thus, the failure of this test comes directly from the strong assumption made in this research that the CCF is normally distributed, knowing that it is bimodal.

The third point is checked for the ten proposed models. The logarithmic transformation of the dependent variable has resolved this problem for the general model. It appears clearly that there is no trend upward or downward in the relationship between residuals and the CCF obtained through the estimated coefficients of variables included in the final model. Obtaining points distributed horizontally, can allow us to maintain that there is presence of homoskedasticity. The Breusch-Pagan test, executed using Matlab, returns the zero-value meaning that there is no heteroskedasticity.

Finally, the requirement that the error term must have an expected value of zero, could be accepted, since the mean value of this vector is very close to zero as we can see in the last column. Thus, the proposed models are reliable and comply with the Gauss-Markov theorem. Their main weakness lies in the assumption of normality of the CCF, which was made similarly to previous empirical research.

6. Conclusions

The EAD is a relatively new concept that has emerged in the credit risk literature since the second lustrum of this century under the Basel II Capital Accord by entering into the formulas of the expected loss and regulatory capital. There are only a few empirical studies that test empirically the EAD and all of them focus on corporate loans in commercial banks. This paper tries then to complement the existing literature by studying credit lines granted to individuals in a FSC to validate if the factors that affect the EAD are the same as for corporate loans and if the type of financial institution has an impact on the EAD modeling. To date, there is no research that analyzes the EAD in FSCs as a consequence of the lack of specific databases. In this sense, it is necessary to point out the importance of this work because it uses a database provided by the largest Canadian cooperative group which lists not less than 11278 default cases on revolving credit lines between 2003 and 2008.

The descriptive statistics show that the EAD is sensitive to the macroeconomic conditions but also to the types of credit line, of collateral, of interest rate and vis-à-vis the credit rating. Subsequently, an econometric approach based on the Stepwise application has allowed us to determine that the age, the exposure limit, the drawn amount, the interest rate, the collateral, the 3 month Canadian T-Bill, the S&P/TSE300 index and especially the utilization ratio a month before the default time had all an explanatory power on the EAD. These results are in line with those listed in the literature review, meaning that there are little differences between the EAD of corporate and individual loans: the interest rate charged has a role to play on the EAD fluctuation for revolving lines of credit granted to individuals. In addition, despite the fact that some studies affirm that the FSCs have more conservative credit policies than commercial banks, this study shows that the typology of the financial institution is not influenced by the factors that affect the EAD as long as they perform in equal conditions to the rest of the competitors in the financial market.

However, we can note some limits in this research. First, the estimators do not respect the sixth OLS condition, which means that they are not consistent, but they are still BLUE. We have seen that this problem comes directly from the assumption made on the normality of the CCF. An alternative could have been to use the GMM methodology which does not make any assumptions on the residual’s distribution. Also, the regression coefficients could have been tested using the out-of-sample technique, which would have proved the accuracy of the estimators.

Future research can try to formalize the dependence that is hardly suspected between the EAD and the two other parameters of the expected loss (PD and LGD). Also, given that there are few empirical studies on the EAD, future research could improve the literature by developing new methodologies, adding different kinds of credit line, etc. Finally, this paper, we hope, will contribute to enrich the literature on the EAD, thanks to significant results that were obtained. Improving the understanding of measures like the EAD will help financial institutions to improve their solvency, which contributes to a better financial system.  

7. References

Allen, L. & Saunders, A. (2003) A survey of cyclical effects in credit risk measurement models. Bank for International Settlements (BIS), BIS Working Papers 126.

Asarnow, E. & Marker, J. (1995) Historical Performance of the US Corporate Loan Market 1988-1993. Journal of Commercial Lending, Vol. 10, Nº 2, pp. 13-32.

Ayadi, R. et al. (2010) Investigating Diversity in the Banking Sector in Europe: Key Developments, Performance and Role of Cooperative Banks. Brussels: Centre for European Policy Studies.

Ayadi, R. et al. (2011) Business Models in European Banking. A pre-and post-Crisis Screening. Brussels: Centre for European Policy Studies.

Bonini, S. & Caivano, G. (2013) The survival analysis approach in Basel II credit risk management: modeling danger rates in the loss given default parameter. Journal of Credit Risk, Vol. 9, Nº 1, pp. 101-118. DOI:10.21314/JCR.2013.155.

Brat, E., Buendía-Martínez, I., Normardin, F. & Ouchene, N. (2018) Innovation. Reinforcing the Local Presence of Cooperatives and Mutuals. Montreal: HEC Montréal.

Buendía-Martínez, I. & Côté, A. (2014) Desarrollo territorial y cooperativas: un análisis desde las políticas públicas. Cuadernos de Desarrollo Rural, Vol. 11, Nº 74, pp. 35-54.

Buendía-Martínez, I., McCarthy, O., Briscoe, R. & Ward, M. (2001) The Input of Co-operative Banking in Local Development Structures: An Empirical Study of the European LEADER Programme in Ireland. Revue Économie et Solidarités, Nº 32, pp. 133-146.

Camara, A., Popova, I. & Simkins, B. (2012) A comparative study of the probability of default for global financial firms. Journal of Banking & Finance, Vol. 36, Nº 3, pp. 717-732. DOI: https://doi.org/10.1016/j.jbankfin.2011.02.019.

Carchano Alcaraz, M.; Carrasco Monteagudo, I.; Soler Tormo, F. (2021) El papel de las cooperativas de crédito en el sostenimiento de la España vaciada a través del capital social. REVESCO. Revista de Estudios Cooperativos, vol. 138, e73866. https://doi.org/10.5209/reve.73866.

Carlehed, M. & Petrov, A. (2012) A methodology for point-in-time-through-the-cycle probability of default decomposition in risk classification systems. Journal of Risk Model Validation, Vol. 6, Nº 3, pp. 3-25.

Douthwaite, R. (1996) Short Circuit. Dublin: The Lilliput Press.

European Association of Co-operative Banks. (2005) Corporate Social Responsibility: The Performance of Cooperative Banks. Brussels: European Association of Co-operative Banks.

Gibilaro, L. & Mattarocci, G. (2013) The Determinants of Exposure at Default: Evidence from the Italian Market. In Vrontis, D., Weber, Y., Kaufmann, R. & Rauhmeier, S (Eds.). 5th Annual Euromed Conference of the Euromed Academy of Business: Building new Business Models for Success Through Competitiveness and Responsibility. Montreux: Euromed Academy of Business, pp. 1770-1771.

Gruber, W. & Parchert, R. (2006) Overview of EAD Estimation Concepts. In Engelmann, B. & Rauhmeier, R. (Eds.). The Basel II Risk Parameters: Estimation, Validation and Stress Testing. Berlin: Springer Berlin Heidelberg, pp. 177-196.

Gurny, P. & Gurny, M. (2013) Comparison of Credit Scoring Models on Probability of Default Estimation for US Banks. Prague Economic Papers, Vol. 22, Nº 2, pp. 163-181. DOI: 10.18267/j.pep.446.

Gurtler, M. & Hibbeln, M. (2013) Improvements in loss given default forecasts for bank loans. Journal of Banking & Finance, Vol. 37, Nº 7, pp. 2354-2366. DOI: https://doi.org/10.1016/j.jbankfin.2013.01.031.

Guzman, C., Santos, F.J. & Barroso, M.O. (2020) Cooperative essence and entrepreneurial quality: A comparative contextual analysis. Annals of Public and Cooperative Economics, Vol. 91, Nº 1, pp. 95-118. DOI: https://doi.org/10.1111/apce.12257.

Hocking R.R. (1976) The analysis and selection of variables in linear regression. Biometrics, Vol. 32, Nº 1, pp. 1-49. DOI: https://doi.org/10.2307/2529336.

International Cooperative Alliance. (1995) The International Co-Operative Alliance Statement on the Co-Operative Identity. XXXI Congress International Cooperative Alliance: Manchester, UK.

Jacobs, M. (2010) An Empirical Study of Exposure at Default. Journal of Advanced Studies in Finance, Vol. 1, Nº 1, pp. 31-59.

Jimenez, G. & Mancia, J. (2009) Modelling the distribution of credit losses with observable and latent factors. Journal of Empirical Finance, Vol. 16, Nº 2, pp. 235-253. DOI: https://doi.org/10.1016/j.jempfin.2008.10.003.

Jimenez, G., Lopez, J.A. & Saurina, J. (2006) What do one million credit line observations tell us about Exposure at Default? A study of credit line usage by Spanish firms. 6th Annual Bank Research Conference, September 24.

Jimenez, G., Lopez, J.A. & Saurina, J. (2008) Empirical analysis of corporate credit lines. Federal Reserve Bank of San Francisco, Working Paper Series 2007-14.

Jimenez, G., Lopez, J.A. & Saurina, J. (2008) Empirical analysis of corporate credit lines. Banco de España, Documento de Trabajo Nº 0821.

Jimenez, G., Lopez, J.A. & Saurina, J. (2009) Empirical analysis of corporate credit lines. The Review of Financial Studies, Vol. 22, Nº 12, pp. 5069-5098. DOI: https://doi.org/10.1093/rfs/hhp061.

Jones, P.A. (2007) From tackling poverty to achieving financial inclusion-The changing role of British credit unions in low-income communities. Journal of Socio-Economic, Vol. 37, Nº 6, pp. 2141-2154.

Kim, M.-J. (2008) Stress EAD: Experience of 2003 Korea Credit Card Distress. Journal of Economic Research, Vol. 13, Nº 1, pp. 73-102.

Lévesque, B. (2002) Entrepreneurship collectif et économie sociale: Entreprendre autrement. Alliance de recherche universités-communautés en économie sociale (ARUC-ÉS), Cahier de Recherche I-02-2002.

Liu, H. & Wilson, J.O.S. (2013) Competition and risk in Japanese banking. European Journal of Finance, Vol. 19, Nº 1, pp. 1-18. DOI: 10.1080/1351847X.2011.633614.

Lu, S-L. & Wang, M-C. (2012) How to measure the credit risk of housing loans: Evidence from a Taiwanese bank. Emerging Markets Finance and Trade, Vol. 48 Nº suppl. 2, pp. 122-138. DOI: https://doi.org/10.2753/REE1540-496X48S207.

Malo, M.-C. & Tremblay, B. (2004) Coopératives financières et solidarités. Finance & Bien Commun, Nº 20, pp. 66-73.

Mayo, E. & Mullineux, A. (2001) Bootstraps or Braces? The regulation of community development finance institutions. London: New Economics Foundation.

McKillop, D., French, D., Quinn, B., Sobiech, A.L. & Wilson, J.O.S. (2020) Cooperative financial institutions: A review of the literature. International Review of Financial Analysis, Vol. 71, 101520. DOI: https://doi.org/10.1016/j.irfa.2020.101520.

Monzón, J.L. (2013) Empresas sociales y economía social: Perímetro y propuestas metodológicas para la medición de su impacto socioeconómico en la UE. Revista de Economía Mundial, Nº 35, pp. 151-164.

Moral, G. (2006) EAD estimates for facilities with explicit limits. In Engelmann, B. & Rauhmeier, R. (Eds.). The Basel II Risk Parameters: Estimation, Validation and Stress Testing. Berlin: Springer Berlin Heidelberg, pp. 197-242.

Pfeilstetter, R.; Gómez-Carrasco, I. (2020) Local meanings of social enterprise. A historical-particularist view on hybridity of organizations. REVESCO. Revista de Estudios Cooperativos, vol. 134, e69162. https://doi.org/10.5209/reve.69162.

Poulin, P. & Tremblay, B. (2005) Desjardins en mouvement. Comment une grande coopérative de services financiers se restructure pour mieux servir ses membres. Lévis/Montréal: Éditions Dorimène/Presses HEC Montréal.

Sadi, N.-E.; Moulin, F. (2014) Gouvernance coopérative: un éclairage théorique. Revue internationale de l´économie sociale, Nº 333, pp. 43-58. DOI:10.7202/1026043ar.

Salas Fumas, V.  & Saurina, J. (2002) Credit Bank in two Institutional Regimes: Spanish Commercial and Savings Banks. Journal of Financial Services Research, Vol. 22, Nº 3, pp. 203-224. DOI: 10.1023/A:1019781109676.

Stephanou, C. & Mendoza, J.C. (2005) Credit Risk Measurement Under Basel II: An Overview and Implementation Issues for Developing Countries. World Bank, Working Paper 3556.

Tong, E.N.C., Mues, C. & Thomas, L. (2013) A zero-adjusted gamma model for mortgage loan loss given default. International Journal of Forecasting, Vol. 29, Nº 4, pp. 548-562. DOI: https://doi.org/10.1016/j.ijforecast.2013.03.003.

Troiani, R.R. (2013) Applying the zero-adjusted inverse Gaussian model to predict probability of default and exposure at default for a credit card portfolio. Journal of Credit Risk, Vol. 9, Nº 2, pp. 63-81. DOI: 10.21314/JCR.2013.161.

Yang, B.H. & Tkachenko, M. (2012) Modeling exposure at default and loss given default: empirical approaches and technical implementation. Journal of Credit Risk, Vol. 8, Nº 2, pp. 81-102. DOI: https://doi.org/10.21314/JCR.2012.139.

Zhao, J.Y., Dwyer, D.W. & Zhang, J. (2014) Usage and exposures at default of corporate credit lines: an empirical study. Journal of Credit Risk, Vol. 10, Nº 1, pp. 65-86. DOI: https://doi.org/10.21314/jcr.2014.174.

 



[1]      The authors thank the Desjardins Group for their collaboration and the Alphonse and Dorimène Desjardins International Institute for Cooperatives of HEC Montréal for their support. This work has been developed within the framework of the call for research funding aimed at groups of the University of Castilla-La Mancha´s Own Plan.

[2]      HEC Montréal, Canadá.

Dirección de correo electrónico: yenniredjah@gmail.com.

[3]      HEC Montréal, Canadá.

Dirección de correo electrónico: jean.roy@hec.ca.

[4]      Universidad de Castilla-La Mancha, España, y Alphonse and Dorimène Desjardins International Institute for Cooperatives, HEC Montréal, Canadá.

Dirección de correo electrónico: inmaculada.buendia@uclm.es.

[5]    High standard deviations are the consequence of a large dispersion in the exposure limits values ranging from 200$ to 1,000,000$.